《信号与系统》--期末总结V1.0
《信号与系统》–期末总结V1.0
学习链接
入门:【拯救期末】期末必备!8小时速成信号与系统!【拯救期末】期末必备!8小时速成信号与系统!_哔哩哔哩_bilibili
精通:2022浙江大学信号与系统(含配套课件和代码) - 胡浩基老师2022浙江大学信号与系统(含配套课件和代码) - 胡浩基老师_哔哩哔哩_bilibili
知识点考点


基本概念
信号的分类
因果信号:t<0时,无信号,即f(t)=0;
逆因果信号:t>0时,无信号,即f(t)=0;
时限信号:在一个范围内有值;
右边信号:在某个边界右边才有信号;
左边信号:在某个边界左边才有信号;
双边信号:负无穷到正无穷都有信号
系统分析的模型



符号说明

常用连续时间信号(背)
(1)单位冲激函数

(2)单位阶跃函数

(3)冲激偶函数

(4)单位斜坡函数

(5)指数函数


(6)正弦信号

(7)符号函数

(8)抽样函数

(9)门函数

(10)正三角形函数

(11)周期性冲激串函数(梳状函数)

常用离散时间信号(背)
(1)单位脉冲序列

(2)单位阶跃序列

(3)正弦信号

(4)符号序列

(5)矩形序列

(6)斜边序列

周期信号的判别与计算
连续信号
单频正余弦信号周期:
合成信号:T1/T2=k/m的值为有理数(k,m为互素正整数),其周期满足T=kT2=mT1
其实就是找最小公倍数整数。
谐波概念:基波是合成后周期正弦信号的角频率,其他谐波是几倍就是几次谐波,0次就是直流,1次就是自己。同样,所有谐波也一定是基波的整数倍
离散信号
单频正余弦信号序列:
合成信号:(同上),离散周期信号的和信号一定是周期信号
状态响应
全响应
Y全响应=Yx零输入响应+Yf零状态响应
Y全响应=Yn自由响应+Yp强迫响应
Y全响应=瞬态响应+稳态响应
零状态响应
零状态响应=h(t)冲激响应+g(t)阶跃响应
δ冲激信号–》h(t)冲激响应 u阶跃信号–》g(t)阶跃响应
两个信号之间有微积分关系

傅里叶级数
三角形式

同频合并后可转化
从原来的 直流+正余弦分量形式 转化成 直流+幅值的形式


n0时直流分量
n1时基波分量
指数形式

对称性与级数的关系性质
偶函数(x轴对称)

奇函数(原点对称)

奇斜函数(移半个周期y轴对称)

欧斜函数(移半个周期重合)

周期信号的频谱
频谱间隔(分辨率)

0分量值点(因为包络是Sa抽样信号)

幅度值为0,
可以通过下面公式得到第n个谱线处第m个零分量点的n的值

宽带

周期信号的频谱特点

功率谱线(帕赛瓦尔定理)

非周期信号的频谱
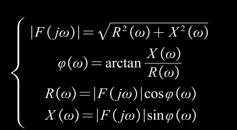
傅里叶正变换

实部和虚部公式为

那么

由上图可得性质规律
实奇信号的FT为虚奇函数
实偶信号的FT为实偶函数
傅里叶逆变换

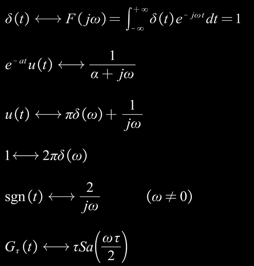
傅里叶变换(必背)
常用信号的傅里叶变换

傅里叶变换的性质
f(t)表示时域信号, F(jω)表示FT后的频域信号
线性(可加可乘性)

对称性(频域信号FT)

尺度变换性(a增缩减扩)

特别地:

时移性

特别常用的是

频移性

时域微分性

特别地

频域微分性

时域积分性

特别地:
当F(0)=0时

频域积分性

特别地:
当f(0)=0时

时卷频乘(时域的卷积等于频域的相乘)

附卷积公式:

频卷时乘(频域的卷积等于时域的相乘)

帕赛瓦尔定理

特别地:

单位脉冲序列的FT(记结论即可)
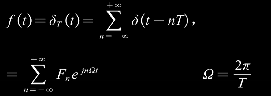
周期脉冲信号

FT后

周期信号的FT(了解即可)
该为指数形式

奈奎斯特采样定律
奈奎斯特采样率要求采样频率应为信号的两倍,满足最低抽样频率
注:做题时应该注意单位 HZ 或 rad/s
失真概念
不失真:只存在幅度或者时延的变化,波形不畸变
线性失真:失真,但不产生新频率
非线性失真:失真,且产生新频率成分
不失真系统H:幅度为常数(取绝对值),时延为-ωt(使用arctan(ω))
理想低通滤波器

拉普拉斯变换
起因:若f(t)不满足绝对可积条件,其傅里叶变换不一定存在。
原理:
收敛域满足:

常用信号的拉式变换






拉式变换的性质
线性

展缩特性

时移特性

推论:

复频移特性

时域微分性


复频域微分性


时域积分性

时卷频乘(和FT一样)

时乘频卷(比FT多1/j)

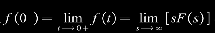
初值定理

注意:
终值定理

注意:

拉式反变换
基本方法(略)
部分分式展开法

条件:





后续等待V2.0
相关文章:
《信号与系统》--期末总结V1.0
《信号与系统》–期末总结V1.0 学习链接 入门:【拯救期末】期末必备!8小时速成信号与系统!【拯救期末】期末必备!8小时速成信号与系统!_哔哩哔哩_bilibili 精通:2022浙江大学信号与系统(含配…...
第32次CCF计算机软件能力认证-2-因子化简
因子化简 刷新 时间限制: 2.0 秒 空间限制: 512 MiB 下载题目目录(样例文件) 题目背景 质数(又称“素数”)是指在大于 11 的自然数中,除了 11 和它本身以外不再有其他因数的自然数。 题…...
mac笔记本如何快捷键截图后自动复制到粘贴板
前提:之前只会进行部分区域截图操作(commandshift4)操作,截图后发现未自动保存在剪贴板,还要进行一步手动复制到剪贴板的操作。 mac笔记本如何快捷键截图后自动复制到粘贴板 截取 Mac 屏幕的一部分并将其自动复制到剪…...
高考加油!UI界面生成器!
这个高考助力标语生成器具有以下特点: 视觉设计:采用了蓝色为主色调,搭配渐变背景和圆形装饰元素,营造出宁静而充满希望的氛围,非常适合高考主题。 标语生成:内置了超过 100 条精心挑选的高考加油标语&a…...
window ollama部署模型
注意去官网下载ollama,这个win和linux差别不大,win下载exe,linux用官网提供的curl命令 模型下载表:deepseek-r1 使用命令:Ollama API 交互 | 菜鸟教程 示例: 1.查看已加载模型: 2.文本生成接口 curl -X POST http://localhost:11434/v1/completions -H "Conte…...
用mediamtx搭建简易rtmp,rtsp视频服务器
简述: 平常测试的时候搭建rtmp服务器很麻烦,这个mediamtx服务器,只要下载就能运行,不用安装、编译、配置等,简单易用、ffmpeg推流、vlc拉流 基础环境: vmware17,centos10 64位,wi…...
ubuntu安装devkitPro
建议开个魔法 wget https://apt.devkitpro.org/install-devkitpro-pacman chmod x ./install-devkitpro-pacman sudo ./install-devkitpro-pacman(下面这句如果报错也没事) sudo ln -s /proc/self/mounts /etc/mtab往~.bashrc添加 export DEVKITPRO/o…...
Linux(10)——第二个小程序(自制shell)
目录 编辑 一、引言与动机 📝背景 📝主要内容概括 二、全局数据 三、环境变量的初始化 ✅ 代码实现 四、构造动态提示符 ✅ 打印提示符函数 ✅ 提示符生成函数 ✅获取用户名函数 ✅获取主机名函数 ✅获取当前目录名函数 五、命令的读取与…...
github actions入门指南
GitHub Actions 是 GitHub 提供的持续集成和持续交付(CI/CD)平台,允许开发者自动化软件工作流程(如构建、测试、部署)。以下是详细介绍: 一、核心概念 Workflow(工作流程) 持续集成的…...
代码随想录算法训练营 Day59 图论Ⅸ dijkstra优化版 bellman_ford
图论 题目 47. 参加科学大会(第六期模拟笔试) 改进版本的 dijkstra 算法(堆优化版本) 朴素版本的 dijkstra 算法解法的时间复杂度为 O ( n 2 ) O(n^2) O(n2) 时间复杂度与 n 有关系,与边无关系 类似于 prim 对应点多…...
HTML实战:响应式个人资料页面
我将创建一个现代化的响应式个人资料页面,展示HTML在实际应用中的强大功能。这个页面将包含多个实战元素:导航栏、个人简介、技能展示、作品集和联系表单。 设计思路 使用Flexbox和Grid布局实现响应式设计 添加CSS过渡效果增强交互体验 实现深色/浅色模式切换功能 创建悬停动…...
Mac电脑上本地安装 MySQL并配置开启自启完整流程
文章目录 一、mysql安装1.1 使用 Homebrew 安装(推荐)1.2 手动下载 MySQL 社区版1.3 常见问题1.4 图形化管理工具(可选) 二、Mac 上配置 MySQL 开机自动启动2.1 使用 launchd 系统服务(原生支持)2.2 通过 H…...
JavaSE:面向对象进阶之内部类(Inner Class)
JavaSE 面向对象进阶之内部类(Inner Class) 一、内部类的核心概念 内部类是定义在另一个类内部的类,它与外部类存在紧密的逻辑关联,主要作用: 封装细节:隐藏实现细节,对外提供简洁接口。访问…...
【HW系列】—安全设备介绍(开源蜜罐的安装以及使用指南)
文章目录 蜜罐1. 什么是蜜罐?2. 开源蜜罐搭建与使用3. HFish 开源蜜罐详解安装步骤使用指南关闭方法 总结 蜜罐 1. 什么是蜜罐? 蜜罐(Honeypot)是一种主动防御技术,通过模拟存在漏洞的系统或服务(如数据库…...
汽车总线分析总结(CAN、LIN、FlexRay、MOST、车载以太网)
目录 一、汽车总线技术概述 二、主流汽车总线技术对比分析 1. CAN总线(Controller Area Network) 2. LIN总线(Local Interconnect Network) 3. FlexRay总线 4. MOST总线(Media Oriented Systems Transport&#x…...
MyBatisPlus--条件构造器及自定义SQL详解
条件构造器 在前面学习快速入门的时候,练习的增删改查都是基于id去执行的,但是在实际开发业务中,增删改查的条件往往是比较复杂的,因此MyBatisPlus就提供了一个条件构造器来帮助构造复杂的条件。 MyBatisPlus支持各种复杂的wher…...
OVD开放词汇检测 Detic 训练COCO数据集实践
0、引言 纯视觉检测当前研究基本比较饱和,继续创新提升空间很小,除非在CNN和transformer上提出更强基础建模方式。和文本结合是当前的一大趋势,也是计算机视觉和自然语言处理结合的未来趋势,目前和文本结合的目标检测工作还是有很…...
docker、ctr、crictl命令简介与使用
概述 在使用k3s过程中,经常需要使用ctr和crictl两个命令,本文记录一下。 ctr 类似docker命令是docker-shim容器运行时的客户端工具,ctr是Containerd的客户端工具。一个简单的CLI接口,用作Containerd本身的一些调试用途…...
WEB安全--SQL注入--bypass技巧2
继之前文章的补充: WEB安全--SQL注入--bypass技巧_sql注入过滤空格-CSDN博客 Q1:发现sql注入的时间盲注时,如果时间盲注的函数都被过滤了,怎么办? 除了找其他函数替换、编码等方式,还有以下方式绕过&…...
【强化学习哲学 Day 1】Q-Learning - 在不确定中寻找确定
🎭 故事:那些选择的时刻 你还记得那些站在十字路口的时刻吗? 也许是刚进实验室,面对满墙的研究方向海报,不知道哪条路通向你想要的未来;也许是第一份工作的选择,大厂的螺丝钉还是小公司的多面…...
WEB3——什么是ABI
怎么获得ABI? 在编译完合约后,可以在左边下面点击复制ABI ABI(Application Binary Interface,应用二进制接口)是用来让前端或服务端 JavaScript 代码与智能合约进行交互的桥梁,它描述了合约的函数、事件和…...
嵌入式软件--stm32 DAY 8.5 基础复习总结
1.时钟树 在数据手册里面,有一张密密麻麻的图,正是时钟系统里的时钟树。 对于时钟,我们注意有两点。一个是系统时钟SYSCLK,一个是依赖外部晶振生成的RTC. RTC以外部低速晶振作为时钟源或者外部高速晶振128分频后作为时钟源,又或者…...
MMRL: Multi-Modal Representation Learning for Vision-Language Models(多模态表示学习)
摘要 预训练的VLMs,对于跨任务的迁移学习至关重要,然而,在few-shot数据集上微调会导致过拟合,降低在新任务上的性能。为解决这个问题,提出一种新的多模态表征学习框架(MMRL),该框架引入了一个共享、可学习…...
贪心算法求解汽车加油问题
一、问题描述 一辆汽车加满油后可以行驶 n km。在前往目的地的途中,有多个加油站。我们的目标是设计一个有效的算法,确定汽车应该在哪些加油站停靠加油,以使得沿途的加油次数最少。 二、输入输出形式 算法的输入包括两部分:第一…...
JVM Full GC 频繁问题排查、优化及解决方案
引言 在Java应用程序中,JVM(Java虚拟机)通过垃圾回收机制自动管理内存,确保不再使用的对象能够被及时清理和释放。虽然垃圾回收在大多数情况下运行顺利,但当Full GC频繁发生时,它会严重影响应用性能&#x…...
rsync服务的搭建
目录 一、rsync介绍 rsync的安装 二、rsync的语法 三、rsync命令使用 1. 本机同步 2. 远程同步 四、rsync作为服务使用 1、尝试启动rsync程序 2、rsync的配置文件介绍 注意事项: 3. rsyncinotify实时同步 3.依赖服务托管xinetd(CentOS 6中rs…...
JDK21深度解密 Day 8:Spring Boot 3与虚拟线程整合
【JDK21深度解密 Day 8】Spring Boot 3与虚拟线程整合 引言:Spring Boot 3遇上JDK21虚拟线程 在本系列的第8天,我们将聚焦于Spring Boot 3与JDK21虚拟线程的整合实践。作为全网首套完整的JDK21特性解析,我们不仅会探讨虚拟线程如何颠覆传统Java并发模型,还会通过完整的Sp…...
vscode 配置 QtCreat Cmake项目
1.vscode安装CmakeTool插件并配置QT中cmake的路径,不止这一处 2.cmake生成器使用Ninja(Ninja在安装QT时需要勾选),可以解决[build] cc1plus.exe: error: too many filenames given; type ‘cc1plus.exe --help’ for usage 编译时…...
排序算法-归并排序与快速排序
归并排序与快速排序 快速排序是利用的递归思想:选取一个基准数,把小于基准数的放左边 大于的放右边直到整个序列有序 。快排分割函数 O(lognn), 空间 :没有额外开辟新的数组但是递归树调用函数会占用栈内存 O(logn) 。 归并排序:在递归返回的…...
HTML实现端午节主题网站:龙舟争渡,凭吊祭江诵君赋。
名人说:龙舟争渡,助威呐喊,凭吊祭江诵君赋。——苏轼《六幺令天中节》 创作者:Code_流苏(CSDN)(一个喜欢古诗词和编程的Coder😊) 目录 一、项目概览:传统与现代的技术碰撞1. 核心特…...
