软工——模块设计(爱啦爱啦)
过程设计的工具
一、程序流程图
程序流程图又称为程序框图,它是历史最悠久、使用最广泛的描述过程设计的方法。
它的主要优点是对控制流程的描绘很直观,便于初学者掌握。
程序流程图历史悠久,至今仍在广泛使用着。

程序流程图的主要缺点:
1、程序流程图本质上不是逐步求精的好工具,它诱使程序员过早地考虑程序的控制流程,而不去考虑程序的全局结构。
2、程序流程图中用箭头代表控制流,因此程序员不受任何约束,可以完全不顾结构程序设计的精神,随意转移控制。
3、程序流程图不易表示数据结构。
二、盒图(N-S图)
盒图具有下述特点:
1、功能域明确。
2、不可能任意转移控制。
3、很容易确定局部和全程数据的作用域。
4、很容易表现嵌套关系,也可以表示模块的层次结构。

三、PAD图
PAD是问题分析图(problem analysis diagram)的英文缩写,自1973年由日本日立公司发明以后,已得到一定程度的推广。
它用二维树形结构的图来表示程序的控制流,将这种图翻译成程序代码比较容易。

PAD图的主要优点如下:
■使用表示结构化控制结构的PAD符号设计出来的程序必然是结构化程序。
■PAD图所描绘的程序结构十分清晰。
■PAD图表现程序逻辑易读、易懂、易记。
■容易将PAD图转换成高级语言源程序,这种转换可用软件工具自动完成。
■即可表示程序逻辑,也可描绘数据结构。
■PAD图的符号支持自顶向下、逐步求精方法的使用。

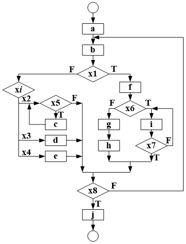
例题:某程序流程图如下图所示,请分别用N-S图和PAD图表示。
流程图:

PAD图:

N-S图:

四、判定表
当算法中包含多重嵌套的条件选择时,用程序流程图、盒图、PAD图或后面即将介绍的过程设计语言(PDL)都不易清楚地描述。
判定表却能够清晰地表示复杂的条件组合与应做的动作之间的对应关系。
一张判定表由4部分组成:
1、左上部列出所有条件;
2、左下部是所有可能做的动作;
3、右上部是表示各种条件组合的一个矩阵;
4、右下部是和每种条件组合相对应的动作。

判定表的优点:
能清晰地表示复杂的条件组合与应做的动作之间的对应关系。
判定表的缺点:
判定表的含义不是一眼就能看出来的,初次接触这种工具的人理解它需要有一个简短的学习过程。
当数据元素的值多于两个时,判定表的简洁程度也将下降。
五、判定树
判定树是判定表的变种,也能清晰地表示复杂的条件组合与应做的动作之间的对应关系。
多年来判定树一直受到人们的重视,是一种比较常用的系统分析和设计的工具。

判定树的优点:
它的形式简单,一眼就可以看出其含义,因此易于掌握和使用。
判定树的缺点:
简洁性不如判定表,数据元素的同一个值往往要重复写多遍,而且越接近树的叶端重复次数越多。
画判定树时分枝的次序可能对最终画出的判定树的简洁程度有较大影响。
六、过程设计语言
过程设计语言(PDL)也称为伪码,它是用正文形式表示数据和处理过程的设计工具。
PDL具有严格的关键字外部语法,用于定义控制结构和数据结构;另一方面,PDL表示实际操作和条件的内部语法通常又是灵活自由的,可以适应各种工程项目的需要。
PDL是一种“混杂”语言,它使用一种语言的词汇,同时却使用另一种语言的语法。
伪代码的基本控制结构:
■简单陈述句结构:避免复合语句。
■判定结构:IF_THEN_ELSE或CASE_OF结构。
■选择结构:WHILE_DO或REPEAT_UNTIL结构。

PDL的特点:
■关键字的固定语法,它提供了结构化控制结构、数据说明和模块化的特点。
■自然语言的自由语法,它描述处理特点。
■数据说明的手段。应该既包括简单的数据结构,又包括复杂的数据结构。
■模块定义和调用的技术,应该提供各种接口描述模式。
PDL的优点:
可以作为注释直接插在源程序中间。有助于保持文档和程序的一致性,提高了文档的质量。
可以使用普通的正文编辑程序或文字处理系统,很方便地完成PDL的书写和编辑工作。
已经有自动处理程序存在,而且可以自动由PDL生成程序代码。
PDL的缺点:
不如图形工具形象直观,描述复杂的条件组合与动作间的对应关系时,不如判定表清晰简单。
相关文章:
软工——模块设计(爱啦爱啦)
过程设计的工具 一、程序流程图 程序流程图又称为程序框图,它是历史最悠久、使用最广泛的描述过程设计的方法。 它的主要优点是对控制流程的描绘很直观,便于初学者掌握。 程序流程图历史悠久,至今仍在广泛使用着。 程序流程图的主要缺点&a…...
Xmind一款极简思维导图和头脑风暴软件,支持PC和移动端,Xmind 2024.10.01101版本如何升级到Pro版?简单操作,最新可用!
文章目录 Xmind下载安装Xmind免费升级到Pro Xmind 是一款全功能的思维导图和头脑风暴软件,不限制节点和文件数,创新无限,界面纯净简洁无广告,支持PC和移动端,思维导图和大纲视图自由切换,可本地化文档存储&…...
自动化工具:Ansible
目录 一、运维自动化工具有哪些 二、Ansible 概述 1、Ansible 概念 2、Ansible 特点 3、Ansible 工作流程 三、安装部署Ansible 1、环境部署 2、管理节点安装 Ansible 3、查看Ansible相关文件 4、配置主机清单 5、免密管理 ssh-keygen 5.1、测试连通性 5.2、简洁输…...
我是类(最终版)
文章目录 再看构造函数类型转换static静态成员友元内部类匿名对象对象拷贝时的编译器优化 再看构造函数 本标题的目的是解决如下问题:当实现MyQueue时,我们不需要写默认构造函数,因为编译器会调用Stack的默认构造,但是࿰…...
详解ip route
ip route命令用于查看 Linux 系统中的路由表信息。 路由表包含的主要信息 目标网络地址(Destination) 显示网络的目标地址,可以是一个具体的网络地址(如192.168.1.0/24),也可以是一个默认网络(…...
OpenGL进阶系列04 - OpenGL 点精灵
一:概述 OpenGL 点精灵是一种渲染技术,用于在3D场景中渲染小的、可缩放的点。它们通常用于表示粒子效果、光源或其他小物体。点精灵会根据视图和投影矩阵自动调整大小,使其始终在屏幕上保持一致的视觉效果。实现时,点精灵通常通过使用纹理和适当的着色器来增加视觉效果。 …...
VSCode按ctrl与鼠标左键无法实现跳转的解决办法
vscode编译环境老是出问题,下面介绍两种解决方法 需要提前配置好代码编译需要的库以及编译器位置等等。 ctrlshiftp,输入 >C/C配置(JSON) 打开生成的c_cpp_properties.json {"configurations": [{"name": "Li…...
U盘数据丢失不用慌,这4个工具可以帮你恢复。
因为将大量的数据存到U盘里面很方便,所以U盘使用也很广泛。但是里面的数据丢失想必很多朋友都碰到过,不过现在有很多方法都可以帮助大家将数据回顾回来。这里我便筛选了几款比较好的数据恢复工具,在这里跟大家分享。 1、福昕U盘恢复软件 直通…...
如何在Ubuntu上挂载一块硬盘:详解方案与实操步骤【小白无坑版】
如何在Ubuntu上挂载一块硬盘:详解方案与实操步骤 一、引言 在日常的开发或使用中,我们经常会遇到这样的场景:系统硬盘空间不足,需要额外挂载一块硬盘以扩展存储;或者我们需要将一块新硬盘用于专门存储数据或备份项目…...
【JAVA】第三张_Eclipse下载、安装、汉化
简介 Eclipse是一种流行的集成开发环境(IDE),可用于开发各种编程语言,包括Java、C、Python等。它最初由IBM公司开发,后来被Eclipse Foundation接手并成为一个开源项目。 Eclipse提供了一个功能强大的开发平台&#x…...
go-zero系列-限流(并发控制)及hey压测
参考地址: go-zero系列-限流(并发控制):https://go-zero.dev/docs/tutorials/service/governance/limiter hey地址:https://github.com/rakyll/hey1、压测工具hey下载安装: 会安装到GOPATH/bin目录下 go install github.com/ra…...
Electron-(三)网页报错处理与请求监听
在前端开发中,Electron 是一个强大的框架,它允许我们使用 Web 技术构建跨平台的桌面应用程序。在开发过程中,及时处理网页报错和监听请求是非常重要的环节。本文将详细介绍 Electron 中网页报错的日志记录、webContents 的监听事件以及如何监…...
银河麒麟(debian)下安装postgresql、postgis
1、安装postgresql、postgis sudo apt update sudo apt install postgresql postgresql-contrib sudo apt install postgis postgresql-12-postgis-32、创建一个使用postgis的数据库 sudo -i -u postgres #postgres管理员用户createdb gisdb #创建新的gisdb数据库 psql -d gi…...
【已解决】【Hadoop】 Shell命令易错点及解决方法
Hadoop是一个强大的分布式系统,用于处理大规模数据集。在使用Hadoop的过程中,熟练掌握其Shell命令是必不可少的。本文将介绍几个常用的Hadoop Shell命令,并总结一些常见的操作错误及其解决方法。 Hadoop Shell命令简介 Hadoop提供了多种She…...
ST7789读取ID错误新思路(以STC32G为例)
1.前言 前两天刚把ST7789写入搞定,这两天想折腾一下读取。最开始是读ID,先是用厂家送的程序,程序里面用的是模拟I8080协议,一切正常。后来我用STC32G的内置LCM模块,发现读取不出来。更神奇的是ID读不出来,…...
【MySQL】入门篇—基本数据类型:使用ORDER BY进行排序
MySQL作为一种流行的关系数据库管理系统,提供了强大的数据查询功能,其中ORDER BY子句用于对查询结果进行排序。排序可以帮助用户更直观地查看数据,发现趋势或异常,尤其在处理大量数据时尤为重要。 应用场景: 用户管理…...
java线程池bug的一些思考
科学需要对前人的怀疑,对权威的怀疑。 但是上学的时候,我们也需要去理解课本。 现在网上充斥了“java 线程池的缺点”这一观点。分析了一下线程池的工作原理,确实也存在这些问题。 Java线程池工作原理。核心线程数,最大线程数&…...
深入解析浮动布局及其在现代Web开发中的应用与替代(浮动的概念及应用、如何清除浮动、使用Flex布局和Grid布局的区别、使用`float`布局的历史和现状)
文章目录 1. 引言2. 浮动的概念及应用3. 如何清除浮动4. 使用Flex布局和Grid布局的区别5. 使用float布局的历史和现状6. 综合案例展示7. 结论8. 建议 1. 引言 在CSS布局的历史中,float属性曾是网页布局的主要工具之一。然而,随着现代布局技术࿰…...
WPF基础权限系统
一.开发环境 VisualStudio 2022NET SDK 8.0Prism 版本 8.1.97Sqlite 二. 功能介绍 WPF 基础权限系统,是一个支持前后端分离设计的 客户端(C/S)项目,该示例项目前端xaml使用UI库 ,Material Design Themes UI 来构建用户界面,确保…...
【Java函数篇】Java 8 Predicate函数接口的用法详解
为什么介绍Predicate 自从Java8发布以后,代码里面就多了很多函数式的接口和代码。在流式的编程中,我们经常会用到Predicate和其他函数,在一些开源的代码中也会看到别人定义的Predicate方法。但其实你有没有感觉在写代码的经历中,…...
科研人必备:用浏览器插件给IEEEXplore做个‘小手术’,告别20秒加载
科研效率革命:用浏览器插件精准优化IEEEXplore访问体验 每次打开IEEEXplore文献库,那个转不停的加载图标是否让你焦躁不安?作为每天要与学术数据库打交道的科研工作者,20秒的等待时间足以打断思考流,降低工作效率。这背…...
AsrTools终极指南:三步实现免费语音转文本,效率提升300%的完整方案
AsrTools终极指南:三步实现免费语音转文本,效率提升300%的完整方案 【免费下载链接】AsrTools ✨ AsrTools: Smart Voice-to-Text Tool | Efficient Batch Processing | User-Friendly Interface | No GPU Required | Supports SRT/TXT Output | Turn yo…...
Godot-MCP:如何通过双向语义桥梁解决游戏开发中的创意断层问题
Godot-MCP:如何通过双向语义桥梁解决游戏开发中的创意断层问题 【免费下载链接】Godot-MCP An MCP for Godot that lets you create and edit games in the Godot game engine with tools like Claude 项目地址: https://gitcode.com/gh_mirrors/god/Godot-MCP …...
别再为日期格式头疼了!Oracle TO_TIMESTAMP函数保姆级使用指南(含常见报错解决)
Oracle TO_TIMESTAMP实战:从混乱字符串到精准时间戳的避坑指南 刚接手一个数据迁移项目时,我对着几十万条格式各异的日期记录发愁——有"2023/12/01"这样的斜杠分隔,也有"01-Dec-23 14.30.00.123"带英文月份缩写和毫秒的…...
【AI知识点】交叉注意力机制:连接不同世界的“信息桥梁”
1. 从"信息桥梁"理解交叉注意力机制 想象你正在同时阅读一本英文书和它的中文翻译版。当你遇到一个不太理解的英文句子时,会自然地在中文版本中寻找对应的段落来帮助理解——这个过程就像交叉注意力机制在神经网络中的工作方式。它就像是架设在两个不同世…...
Mermaid Live Editor:代码驱动图表设计的终极解决方案
Mermaid Live Editor:代码驱动图表设计的终极解决方案 【免费下载链接】mermaid-live-editor Edit, preview and share mermaid charts/diagrams. New implementation of the live editor. 项目地址: https://gitcode.com/GitHub_Trending/me/mermaid-live-editor…...
STM32F767串口接收不定长数据实战:超时中断与空闲中断的配置与性能对比
1. STM32F767串口接收不定长数据的痛点与解决方案 在嵌入式开发中,处理串口不定长数据就像在餐厅等一份不知道有多少道菜的套餐——你永远不知道下一口是什么,也不知道什么时候结束。STM32F767作为高性能MCU,面对RS485、Modbus等协议时&#…...
AI 使用过程中遇到的问题及解决方案
////////////////////////////////////////////////////////////////////////////////////////////////////////context_management: Extra inputs are not permitted Received Model Groupclaude-sonnet-4-6错误原因这是 Claude API 的 context management(上下文管…...
马西奎《电磁场与电磁波》学习记录-第 2 章学前准备-坐标系的深入 + 微分元(dl、dS、dV)
一、正交坐标系的一般概念1. 什么是正交曲线坐标系三组坐标面互相垂直正交单位矢量处处正交:⊥⊥直角、圆柱、球坐标都属于这一类。2. 坐标变量与拉梅系数(度量系数)对一般正交曲线坐标 (,,):坐标面:常数、…...
Qwen3-14B镜像轻量化设计:50GB系统盘+40GB数据盘高效空间管理
Qwen3-14B镜像轻量化设计:50GB系统盘40GB数据盘高效空间管理 1. 镜像概述与核心优势 Qwen3-14B私有部署镜像是一款专为RTX 4090D 24GB显存显卡优化的轻量化解决方案。通过精心设计的50GB系统盘40GB数据盘架构,实现了大模型部署的空间效率最大化。这个镜…...
