【LeetCode: 94. 二叉树的中序遍历 + 栈】

| 🚀 算法题 🚀 |
🌲 算法刷题专栏 | 面试必备算法 | 面试高频算法 🍀
🌲 越难的东西,越要努力坚持,因为它具有很高的价值,算法就是这样✨
🌲 作者简介:硕风和炜,CSDN-Java领域优质创作者🏆,保研|国家奖学金|高中学习JAVA|大学完善JAVA开发技术栈|面试刷题|面经八股文|经验分享|好用的网站工具分享💎💎💎
🌲 恭喜你发现一枚宝藏博主,赶快收入囊中吧🌻
🌲 人生如棋,我愿为卒,行动虽慢,可谁曾见我后退一步?🎯🎯
| 🚀 算法题 🚀 |


🍔 目录
- 🚩 题目链接
- ⛲ 题目描述
- 🌟 求解思路&实现代码&运行结果
- ⚡ 栈
- 🥦 求解思路
- 🥦 实现代码
- 🥦 运行结果
- 💬 共勉
🚩 题目链接
- 94. 二叉树的中序遍历
⛲ 题目描述
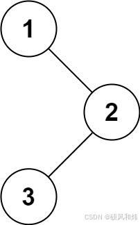
给定一个二叉树的根节点 root ,返回 它的 中序 遍历 。
示例 1:

输入:root = [1,null,2,3]
输出:[1,3,2]
示例 2:
输入:root = []
输出:[]
示例 3:
输入:root = [1]
输出:[1]
提示:
树中节点数目在范围 [0, 100] 内
-100 <= Node.val <= 100
进阶: 递归算法很简单,你可以通过迭代算法完成吗?
🌟 求解思路&实现代码&运行结果
⚡ 栈
🥦 求解思路
- 创建了一个 ArrayList 用于存储中序遍历的结果,通过维护一个栈来记录中序遍历的过程。
- 中序遍历的过程是:按照左,中,右子树遍历。通过cur = root,表示当前遍历到的节点。具体算法如下:
- 先收集左子树的所有节点,压入栈中;
- 收集左子树节点结束,弹出此时栈顶的元素,收集结果放到List中;
- 继续判断,此时右子树节点是否为空,如果不为空,此时遍历指针指向当前节点的右子树节点,继续向后遍历。
- 有了基本的思路,接下来我们就来通过代码来实现一下。
🥦 实现代码
/*** Definition for a binary tree node.* public class TreeNode {* int val;* TreeNode left;* TreeNode right;* TreeNode() {}* TreeNode(int val) { this.val = val; }* TreeNode(int val, TreeNode left, TreeNode right) {* this.val = val;* this.left = left;* this.right = right;* }* }*/
class Solution {public List<Integer> inorderTraversal(TreeNode root) {ArrayList<Integer> ans = new ArrayList<>();if (root == null) return ans;Deque<TreeNode> queue = new LinkedList<>();while (root != null || !queue.isEmpty()) {while (root != null) {queue.add(root);root = root.left;}TreeNode node = queue.pollLast();ans.add(node.val);if (node.right != null) {root = node.right;}}return ans;}
}
🥦 运行结果

💬 共勉
| 最后,我想和大家分享一句一直激励我的座右铭,希望可以与大家共勉! |


相关文章:
【LeetCode: 94. 二叉树的中序遍历 + 栈】
🚀 算法题 🚀 🌲 算法刷题专栏 | 面试必备算法 | 面试高频算法 🍀 🌲 越难的东西,越要努力坚持,因为它具有很高的价值,算法就是这样✨ 🌲 作者简介:硕风和炜,…...
Python系列 - MQTT协议
Python系列 - MQTT协议 资源连接 MQTT的介绍和应用场景的示例说明 一、什么是MQTT 百度关于MQTT的介绍如下: MQTT(消息队列遥测传输)是ISO 标准(ISO/IEC PRF 20922)下基于发布订阅范式的消息协议。它工作在 TCP/IP协议之上,是为硬件性能低下的远程设…...
同时在github和gitee配置密钥
同时在github和gitee配置密钥 1. 生成不同的 SSH 密钥 为每个平台生成单独的 SSH 密钥。 # 为 GitHub 生成密钥(默认文件路径为 ~/.ssh/github_id_rsa) ssh-keygen -t rsa -b 4096 -C "your_github_emailexample.com" -f ~/.ssh/github_id_…...
Runway 技术浅析(六):文本到视频(Text-to-Video)
1. 核心组件与工作原理 1.1 自然语言处理(NLP) 1.1.1 文本解析与语义理解 文本到视频的第一步是将用户输入的自然语言文本解析为机器可理解的语义信息。Runway 使用预训练的 NLP 模型,如 GPT-3 和 BERT,这些模型通过大规模文本数…...
云计算vspere 安装过程
1 材料的准备 1 安装虚拟机 vmware workstation 2 安装esxi 主机 3 在esxi 主机上安装windows 2018 dns 服务器 4 在虚拟机上安装windows 2018 服务器 6 安装vcenter 5 登入界面测试 这里讲一下,由于部署vspere 需要在windows 2012 服务器上部…...
QT 实现QStackedWidget切换页面右移动画
1.实现效果 以下是一个QStackedWidget,放了两个QPushButton在上面,点击切换不同的界面。 为了方便查看动画特效,设置了每个界面的背景图片。 2.实现思路 首先截取当前界面的图片,渲染到一个QLabel上,然后设置QPropertyAnimation动画,动画的作用对象就是这个QLabel,不断…...
Android Camera2采集并编码为H.264
前言 本篇博文主要讲述的是基于Android原生MediaCodec通过Camera2 API进行图像数据采集并编码为H.264的实现过程,如果对此感兴趣的不妨驻足观看,也欢迎大家大家对本文中描述不当或者不正确的地方进行指正。如果对于Camera2预览还不熟悉的可以观看博主上…...
DHCP和DNS
DHCP(动态主机配置协议)和DNS(域名系统)是计算机网络中两个重要的协议,它们在网络的管理和使用中发挥着关键作用。 DHCP(动态主机配置协议) 基本功能 自动分配IP地址:DHCP允许网…...
ONES 功能上新|ONES Project 甘特图再度升级
ONES Project 甘特图支持展示工作项标题、进度百分比、依赖关系延迟时间等信息。 应用场景: 在使用甘特图规划项目任务、编排项目计划时,可以对甘特图区域进行配置,展示工作项的工作项标题、进度百分比以及依赖关系延迟时间等维度,…...
<工具 Claude Desktop> 配置 MCP server 连接本地 SQLite, 本机文件夹(目录) 网络驱动器 Windows 11 系统
也是在学习中... 起因: 抖音博客 艾克AI分享 他的视频 #143《Claude开源MCP彻底打破AI的信息孤岛》 提到: Claude开源的MCP太强了,视频后面是快速演示,反正看了好几遍也没弄明白。菜单都不一样,感觉用的不是同一家 Claude. 探…...
GIT的使用方法以及汉化方法
1.下载git软件,可以从官网下载 下载后默认安装即可。 2.找到一个文件夹,或者直接打开gitbash gitbash可以使用cd指令切换目录的 打开后输入 git clone https:[git仓库的网页]即可克隆仓库 就是这个地址 克隆后即可使用代码 如果忘记了命令可以使用 -…...
公因子的数目
给你两个正整数 a 和 b ,返回 a 和 b 的 公 因子的数目。 如果 x 可以同时整除 a 和 b ,则认为 x 是 a 和 b 的一个 公因子 。 输入:a 12, b 6 输出:4 解释:12 和 6 的公因子是 1、2、3、6 。 class Solution {pu…...
数据结构(三)——双向链表的介绍以及实现
前言 前面两期数据结构的文章我们介绍了顺序表和单向链表,那么本篇博文我们将来了解双向链表,作为最好用的一种链表,双向链表有什么特殊之处呢,接下来就让我们一起了解一下吧。 下面是前两篇数据结构的文章: 数据结…...
Webpack开发模式及处理样式资源
一、开发模式介绍 开发模式顾名思义就是我们开发代码时使用的模式。 这个模式下我们主要做两件事: 编译代码,使浏览器能识别运行 开发时我们有样式资源、字体图标、图片资源、html 资源等,webpack 默认都不能处理这些资源,所以我…...
leetcode--设计链表
707.设计链表 你可以选择使用单链表或者双链表,设计并实现自己的链表。 单链表中的节点应该具备两个属性:val 和 next 。val 是当前节点的值,next 是指向下一个节点的指针/引用。 如果是双向链表,则还需要属性 prev 以指示链表中的…...
【MySQL】:数据库操作
MySQL 数据库基础理论 2.1 数据库系统概述 介绍数据库系统的基本概念、发展历程、分类及 MySQL 在其中的地位与特点。 2.2 MySQL 数据库体系结构 解析 MySQL 的整体架构,包括服务器层与存储引擎层的功能与交互机制,重点探讨 InnoDB、MyISAM 等存…...
刷蓝桥杯历年考题(更新至15届~)
第十五届 CA组省赛 AcWing5980.训练士兵 方法一:树状数组:O(nlogn) self-complete /*先枚举组团,后分析每个士兵,有一个特点,组团费用是固定的,那当然是让所有士兵一块训练,训练完的士兵也不会有损失当还…...
AI与BI的火花:大语言模型如何重塑商业智能的未来
大家好,我是独孤风。 在当今这个数据驱动的时代,企业对于信息的需求如同对于氧气的需求一般至关重要。商业智能(BI)作为企业获取、分析和呈现数据的关键工具,正在经历一场深刻的变革,而这一变革的催化剂正是…...
Qt 详解QtNFC 读写模式
文章目录 Qt NFC 读写模式详解1. NFC 读写模式简介1.1 什么是 NFC 读写模式?主要功能: 1.2 常见应用场景 2. Qt NFC 读写模式原理3. 配置 QtNFC 模块4. NFC 读写操作实现4.1 NFC 标签读取代码示例功能解析 4.2 NFC 标签写入代码示例功能解析 5. 使用注意…...
增删改查文档
列表 : 列表包含 : 模糊查找 分页 列表jsp页面 : 一 :导入外部文件 (举例 : 用户点进来就可以看到菜单,这是预加载属于,使用文档就绪函数实现) 二 : body 上 ① : 文档就绪函数 ${ function() //获取条件查询的字段 //组装对象 //调用文档就绪函数 } ② : 封装ajax方…...
day52 ResNet18 CBAM
在深度学习的旅程中,我们不断探索如何提升模型的性能。今天,我将分享我在 ResNet18 模型中插入 CBAM(Convolutional Block Attention Module)模块,并采用分阶段微调策略的实践过程。通过这个过程,我不仅提升…...
【HarmonyOS 5.0】DevEco Testing:鸿蒙应用质量保障的终极武器
——全方位测试解决方案与代码实战 一、工具定位与核心能力 DevEco Testing是HarmonyOS官方推出的一体化测试平台,覆盖应用全生命周期测试需求,主要提供五大核心能力: 测试类型检测目标关键指标功能体验基…...
Cilium动手实验室: 精通之旅---20.Isovalent Enterprise for Cilium: Zero Trust Visibility
Cilium动手实验室: 精通之旅---20.Isovalent Enterprise for Cilium: Zero Trust Visibility 1. 实验室环境1.1 实验室环境1.2 小测试 2. The Endor System2.1 部署应用2.2 检查现有策略 3. Cilium 策略实体3.1 创建 allow-all 网络策略3.2 在 Hubble CLI 中验证网络策略源3.3 …...
OpenPrompt 和直接对提示词的嵌入向量进行训练有什么区别
OpenPrompt 和直接对提示词的嵌入向量进行训练有什么区别 直接训练提示词嵌入向量的核心区别 您提到的代码: prompt_embedding = initial_embedding.clone().requires_grad_(True) optimizer = torch.optim.Adam([prompt_embedding...
ios苹果系统,js 滑动屏幕、锚定无效
现象:window.addEventListener监听touch无效,划不动屏幕,但是代码逻辑都有执行到。 scrollIntoView也无效。 原因:这是因为 iOS 的触摸事件处理机制和 touch-action: none 的设置有关。ios有太多得交互动作,从而会影响…...
Xen Server服务器释放磁盘空间
disk.sh #!/bin/bashcd /run/sr-mount/e54f0646-ae11-0457-b64f-eba4673b824c # 全部虚拟机物理磁盘文件存储 a$(ls -l | awk {print $NF} | cut -d. -f1) # 使用中的虚拟机物理磁盘文件 b$(xe vm-disk-list --multiple | grep uuid | awk {print $NF})printf "%s\n"…...
网站指纹识别
网站指纹识别 网站的最基本组成:服务器(操作系统)、中间件(web容器)、脚本语言、数据厍 为什么要了解这些?举个例子:发现了一个文件读取漏洞,我们需要读/etc/passwd,如…...
基于TurtleBot3在Gazebo地图实现机器人远程控制
1. TurtleBot3环境配置 # 下载TurtleBot3核心包 mkdir -p ~/catkin_ws/src cd ~/catkin_ws/src git clone -b noetic-devel https://github.com/ROBOTIS-GIT/turtlebot3.git git clone -b noetic https://github.com/ROBOTIS-GIT/turtlebot3_msgs.git git clone -b noetic-dev…...
Python Ovito统计金刚石结构数量
大家好,我是小马老师。 本文介绍python ovito方法统计金刚石结构的方法。 Ovito Identify diamond structure命令可以识别和统计金刚石结构,但是无法直接输出结构的变化情况。 本文使用python调用ovito包的方法,可以持续统计各步的金刚石结构,具体代码如下: from ovito…...
R 语言科研绘图第 55 期 --- 网络图-聚类
在发表科研论文的过程中,科研绘图是必不可少的,一张好看的图形会是文章很大的加分项。 为了便于使用,本系列文章介绍的所有绘图都已收录到了 sciRplot 项目中,获取方式: R 语言科研绘图模板 --- sciRplothttps://mp.…...
