店铺营业状态设置(day05)
Redis入门
Redis简介
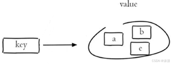
Redis 是一个基于内存的 key-value 结构数据库。Redis 是互联网技术领域使用最为广泛的存储中间件。

Redis是一个基于内存的 key-value 结构数据库。
主要特点:
1、基于内存存储,读写性能高
2、适合存储热点数据(热点商品、资讯、新闻)
3、企业应用广泛
官网:https://redis.io
中文网:Redis中文网
Redis 是用C语言开发的一个开源的高性能键值对(key-value)数据库,官方提供的数据是可以达到 100000+ 的 QPS(每秒内查询次数)。它存储的 value 类型比较丰富,也被称为结构化的 NoSql 数据库。
NoSql(Not Only SQL),不仅仅是SQL,泛指非关系型数据库。NoSql数据库并不是要取代关系型数据库,而是关系型数据库的补充。
关系型数据库(RDBMS):
- Mysql
- Oracle
- DB2
- SQLServer
非关系型数据库(NoSql):
- Redis
- Mongo db
- MemCached
Redis下载与安装
Redis 安装包分为 windows 版和 Linux 版:
Windows版下载地址:https://github.com/microsoftarchive/redis/releases
Linux版下载地址: Index of /releases/
Redis 安装
Redis的Windows版属于绿色软件,直接解压即可使用,解压后目录结构如下:

Redis服务启动与停止
服务启动命令:redis-server.exe redis.windows.conf
Redis 服务默认端口号为 6379 ,通过快捷键 Ctrl + C 即可停止 Redis 服务
客户端连接命令:redis-cli.exe
通过redis-cli.exe命令默认连接的是本地的redis服务,并且使用默认6379端口。也可以通过指定如下参数连接:
-h ip地址
-p 端口号
-a 密码(如果需要)
默认无密码
设置Redis服务密码,修改redis.windows.conf
注意:• 修改密码后需要重启 Redis 服务才能生效• Redis 配置文件中 # 表示注释
Redis客户端图形工具:
Redis数据类型
5种常用数据类型介绍
Redis存储的是key-value结构的数据,其中key是字符串类型,value有5种常用的数据类型:
• 字符串 string• 哈希 hash• 列表 list• 集合 set• 有序集合 sorted set / zset
各种数据类型的特点
各种数据类型的特点
• 字符串(string):普通字符串, Redis 中最简单的数据类型• 哈希(hash):也叫散列,类似于 Java 中的 HashMap 结构• 列表(list):按照插入顺序排序,可以有重复元素,类似于 Java 中的 LinkedList• 集合(set):无序集合,没有重复元素,类似于 Java 中的 HashSet• 有序集合(sorted set / zset):集合中每个元素关联一个分数(score),根据分数升序排序,没有重复元素

Redis常用命令
字符串操作命令
Redis 字符串类型常用命令:
- SET key value 设置指定key的值
- GET key 获取指定key的值
- SETEX key seconds value 设置指定key的值,并将 key 的过期时间设为 seconds 秒
- SETNX key value 只有在 key 不存在时设置 key 的值
哈希操作命令
Redis hash 是一个string类型的 field 和 value 的映射表,hash特别适合用于存储对象,常用命令:
- HSET key field value 将哈希表 key 中的字段 field 的值设为 value
- HGET key field 获取存储在哈希表中指定字段的值
- HDEL key field 删除存储在哈希表中的指定字段
- HKEYS key 获取哈希表中所有字段
- HVALS key 获取哈希表中所有值
列表操作命令
Redis 列表是简单的字符串列表,按照插入顺序排序,常用命令:
- LPUSH key value1 [value2] 将一个或多个值插入到列表头部
- LRANGE key start stop 获取列表指定范围内的元素
- RPOP key 移除并获取列表最后一个元素
- LLEN key 获取列表长度
- BRPOP key1 [key2 ] timeout 移出并获取列表的最后一个元素, 如果列表没有元素会阻塞列表直到等待超 时或发现可弹出元素为止
从左到右的插入
集合操作命令
Redis set 是string类型的无序集合。集合成员是唯一的,这就意味着集合中不能出现重复的数据,常用命令:
- SADD key member1 [member2] 向集合添加一个或多个成员
- SMEMBERS key 返回集合中的所有成员
- SCARD key 获取集合的成员数
- SINTER key1 [key2] 返回给定所有集合的交集
- SUNION key1 [key2] 返回所有给定集合的并集
- SREM key member1 [member2] 移除集合中一个或多个成员
有序集合操作命令
Redis有序集合是string类型元素的集合,且不允许有重复成员。每个元素都会关联一个double类型的分数。常用命令:
- ZADD key score1 member1 [score2 member2] 向有序集合添加一个或多个成员
- ZRANGE key start stop [WITHSCORES] 通过索引区间返回有序集合中指定区间内的成员
- ZINCRBY key increment member 有序集合中对指定成员的分数加上增量 increment
- ZREM key member [member …] 移除有序集合中的一个或多个成员

通用命令
Redis的通用命令是不分数据类型的,都可以使用的命令:
- KEYS pattern 查找所有符合给定模式( pattern)的 key
- EXISTS key 检查给定 key 是否存在
- TYPE key 返回 key 所储存的值的类型
- DEL key 该命令用于在 key 存在是删除 key

在Java中操作Redis
Redis的Java客户端
Redis 的 Java 客户端很多,常用的几种:
- Jedis
- Lettuce
- Spring Data Redis
Spring Data Redis 是 Spring 的一部分,对 Redis 底层开发包进行了高度封装。
在 Spring 项目中,可以使用Spring Data Redis来简化操作。
Spring Data Redis使用方式
操作步骤:
- 导入Spring Data Redis 的maven坐标
- 配置Redis数据源
- 编写配置类,创建RedisTemplate对象
- 通过RedisTemplate对象操作Redis
解释说明:
database:指定使用Redis的哪个数据库,Redis服务启动后默认有16个数据库,编号分别是从0到15。当前配置类不是必须的,因为 Spring Boot 框架会自动装配 RedisTemplate 对象,但是默认的 key 序列化器为 JdkSerializationRedisSerializer,导致我们存到 Redis 中后的数据和原始数据有差别,故设置为 StringRedisSerializer 序列化器。
通过RedisTemplate对象操作Redis
1、导入Spring Data Redis 的maven坐标
2、配置数据源:
3、 编写配置类,创建RedisTemplate对象
package com.sky.config;import lombok.extern.slf4j.Slf4j; import org.springframework.context.annotation.Bean; import org.springframework.context.annotation.Configuration; import org.springframework.data.redis.connection.RedisConnectionFactory; import org.springframework.data.redis.core.RedisTemplate; import org.springframework.data.redis.serializer.StringRedisSerializer;@Configuration @Slf4j public class RedisConfiguration {@Beanpublic RedisTemplate redisTemplate(RedisConnectionFactory redisConnectionFactory){log.info("开始创建redis模板类...");RedisTemplate redisTemplate = new RedisTemplate();//设置redis的连接工厂对象redisTemplate.setConnectionFactory(redisConnectionFactory);// 设置Key的序列化器,默认为JdkSerializationRedisSerializerredisTemplate.setKeySerializer(new StringRedisSerializer());return redisTemplate;} }4、 通过RedisTemplate对象操作Redis
package com.sky.test;import org.junit.jupiter.api.Test; import org.springframework.beans.factory.annotation.Autowired; import org.springframework.boot.test.context.SpringBootTest; import org.springframework.data.redis.core.RedisTemplate;/*** @author 石头* @version 1.0*/ @SpringBootTest public class SpringDataRedisTest {@Autowiredprivate RedisTemplate redisTemplate;@Testpublic void testRedisTemplate(){System.out.println(redisTemplate);} }
RedisTemplate 针对大量api进行了归类封装,将同一数据类型的操作封装为对应的Operation接口,具体分类如下:
• ValueOperations: s tring数据操作• SetOperations:set类型数据操作• ZSetOperations:zset类型数据操作• HashOperations:hash类型的数据操作• ListOperations:list类型的数据操作
@Testpublic void testRedisTemplate(){System.out.println(redisTemplate);//string数据操作ValueOperations valueOperations = redisTemplate.opsForValue();//hash类型的数据操作HashOperations hashOperations = redisTemplate.opsForHash();//list类型的数据操作ListOperations listOperations = redisTemplate.opsForList();//set类型数据操作SetOperations setOperations = redisTemplate.opsForSet();//zset类型数据操作ZSetOperations zSetOperations = redisTemplate.opsForZSet();}
操作常见类型数据
1). 操作字符串类型数据
/*** 操作字符串类型的数据*/@Testpublic void testString(){// set get setex setnxredisTemplate.opsForValue().set("city","成都");String city = (String)redisTemplate.opsForValue().get("city");System.out.println(city);//设置有效期redisTemplate.opsForValue().set("code", "1234",3, TimeUnit.MINUTES);//SETNX key value 只有在 key 不存在时设置 key 的值redisTemplate.opsForValue().setIfAbsent("lock","22");redisTemplate.opsForValue().setIfAbsent("lock","1");}

2). 操作哈希类型数据
/*** 操作哈希表中的数据*/@Testpublic void testHash(){// hset hget hdel hkeys hvalsHashOperations hashOperations = redisTemplate.opsForHash();//HSET key field value 将哈希表 key 中的字段 field 的值设为 valuehashOperations.put("ren","name","tom");hashOperations.put("ren","age","18");//HGET key field 获取存储在哈希表中指定字段的值String name = (String)hashOperations.get("ren","name");System.out.println(name);//HKEYS key 获取哈希表中所有字段Set keys = hashOperations.keys("ren");System.out.println(keys);//HVALS key 获取哈希表中所有值List values = hashOperations.values("ren");System.out.println(values);//HDEL key field 删除存储在哈希表中的指定字段hashOperations.delete("ren","name");System.out.println(hashOperations.values("ren"));}

3). 操作列表类型数据
/*** 操作列表类型的数据*/@Testpublic void testList(){//lpush lrange rpop llenListOperations listOperations = redisTemplate.opsForList();//LPUSH key value1 [value2] 将一个或多个值插入到列表头部listOperations.leftPushAll("mylist","a","b","c");listOperations.leftPush("mylist","d");//LRANGE key start stop 获取列表指定范围内的元素List mylist = listOperations.range("mylist", 0, -1);System.out.println(mylist);//RPOP key 移除并获取列表最后一个元素listOperations.rightPop("mylist");//LLEN key 获取列表长度Long size = listOperations.size("mylist");System.out.println(size);}

4). 操作集合类型数据
/*** 操作集合类型的数据*/@Testpublic void testSet(){//sadd smembers scard sinter sunion sremSetOperations setOperations = redisTemplate.opsForSet();//SADD key member1 [member2] 向集合添加一个或多个成员setOperations.add("set1","a","b","c","d");setOperations.add("set2","a","b","x","y");//SMEMBERS key 返回集合中的所有成员Set members = setOperations.members("set1");System.out.println(members);//SCARD key 获取集合的成员数Long size = setOperations.size("set1");System.out.println(size);//sinterSet intersect = setOperations.intersect("set1", "set2");System.out.println(intersect);//sunionSet union = setOperations.union("set1", "set2");System.out.println(union);//sremsetOperations.remove("set1","a","b");}

5). 操作有序集合类型数据
/*** 操作有序集合类型的数据*/@Testpublic void testZset(){//zadd zrange zincrby zremZSetOperations zSetOperations = redisTemplate.opsForZSet();//zaddzSetOperations.add("zset1","a",10);zSetOperations.add("zset1","b",12);zSetOperations.add("zset1","c",9);//zrangeSet zset1 = zSetOperations.range("zset1", 0, -1);System.out.println(zset1);//zincrby 有序集合中对指定成员的分数加上增量 incrementzSetOperations.incrementScore("zset1","c",10);//zrem 移除有序集合中的一个或多个成员zSetOperations.remove("zset1","a","b");}
6). 通用命令操作
/*** 通用命令操作*/@Testpublic void testCommon(){//keys exists type del//显示所有的keysSet keys = redisTemplate.keys("*");System.out.println(keys);//检查给定 key 是否存在Boolean name = redisTemplate.hasKey("name");Boolean set1 = redisTemplate.hasKey("set1");// 返回 key 所储存的值的类型for (Object key : keys) {DataType type = redisTemplate.type(key);System.out.println(type.name());}// 该命令用于在 key 存在是删除 keyredisTemplate.delete("mylist");}
店铺营业状态设置
需求分析和设计
产品原型:


接口设计:
接口设计:
• 设置营业状态• 管理端查询营业状态• 用户端查询营业状态
设置营业状态
管理端查询营业状态
用户端查询营业状态
本项目约定:
- 管理端 发出的请求,统一使用 /admin 作为前缀
- 用户端 发出的请求,统一使用 /user 作为前缀
营业状态数据存储方式:基于Redis的字符串来进行存储
约定:1表示营业 0表示打烊
代码开发
注意用户端和服务端的Controller不要重名,因为sprintboot的bean对象默认是小写名

解决Controller的bean对象重新命名:

管理端 查询营业状态 设置营业状态
package com.sky.controller.admin;import com.sky.result.Result;
import io.swagger.annotations.Api;
import io.swagger.annotations.ApiOperation;
import lombok.extern.slf4j.Slf4j;
import org.springframework.beans.factory.annotation.Autowired;
import org.springframework.data.redis.core.RedisTemplate;
import org.springframework.web.bind.annotation.*;/*** @author 石头* @version 1.0*/
@RestController("adminShopController")
@Slf4j
@RequestMapping("/admin/shop")
@Api(tags = "商家店铺相关的接口")
public class ShopController {public static final String KEY = "SHOP_STATUS";@Autowiredprivate RedisTemplate redisTemplate;/*** 设置店铺营业状态* @param status* @return*/@PutMapping("/{status}")@ApiOperation("商家设置店铺营业状态")public Result<String> setStatus(@PathVariable Integer status) {log.info("设置营业状态为:{}", status == 1 ? "营业中" : "打烊中");redisTemplate.opsForValue().set(KEY, status);return Result.success();}/*** 查询店铺营业状态** @return*/@GetMapping("/status")@ApiOperation("商家查询店铺营业状态")public Result<Integer> getStatus() {Integer status = (Integer) redisTemplate.opsForValue().get(KEY);log.info("查询店铺营业状态为:{}", status == 1 ? "营业中" : "打烊中");return Result.success(status);}
}
用户端查询营业状态
package com.sky.controller.user;import com.sky.result.Result;
import io.swagger.annotations.Api;
import io.swagger.annotations.ApiOperation;
import lombok.extern.slf4j.Slf4j;
import org.springframework.beans.factory.annotation.Autowired;
import org.springframework.data.redis.core.RedisTemplate;
import org.springframework.web.bind.annotation.*;/*** @author 石头* @version 1.0*/@RestController("userShopController")
@Slf4j
@RequestMapping("/user/shop")
@Api(tags = "用户店铺相关的接口")
public class ShopController {public static final String KEY = "SHOP_STATUS";@Autowiredprivate RedisTemplate redisTemplate;/*** 查询店铺营业状态** @return*/@GetMapping("/status")@ApiOperation("用户查询店铺营业状态")public Result<Integer> getStatus() {Integer status = (Integer) redisTemplate.opsForValue().get(KEY);log.info("查询店铺营业状态为:{}", status == 1 ? "营业中" : "打烊中");return Result.success(status);}
}
功能测试
在上述接口文档测试中,管理端和用户端的接口放在一起,不方便区分

接下来,我们要实现管理端和用户端接口进行区分。
在 WebMvcConfiguration.java 中,
分别扫描 “com.sky.controller.admin” 和 “com.sky.controller.user” 这两个包。
/*** 通过knife4j生成接口文档* @return*/@Beanpublic Docket docket1() {log.info("准备生成接口文档....");ApiInfo apiInfo = new ApiInfoBuilder().title("苍穹外卖项目接口文档").version("2.0").description("苍穹外卖项目接口文档").build();Docket docket = new Docket(DocumentationType.SWAGGER_2).groupName("管理端接口").apiInfo(apiInfo).select().apis(RequestHandlerSelectors.basePackage("com.sky.controller.admin")).paths(PathSelectors.any()).build();return docket;}@Beanpublic Docket docket2() {log.info("准备生成接口文档....");ApiInfo apiInfo = new ApiInfoBuilder().title("苍穹外卖项目接口文档").version("2.0").description("苍穹外卖项目接口文档").build();Docket docket = new Docket(DocumentationType.SWAGGER_2).groupName("用户端接口").apiInfo(apiInfo).select().apis(RequestHandlerSelectors.basePackage("com.sky.controller.user")).paths(PathSelectors.any()).build();return docket;}

上一节:
套餐管理模块实战(day04)-CSDN博客
下一节:
微信登录、商品浏览(day06)上-CSDN博客
相关文章:
店铺营业状态设置(day05)
Redis入门 Redis简介 Redis 是一个基于内存的 key-value 结构数据库。Redis 是互联网技术领域使用最为广泛的存储中间件。 Redis是一个基于内存的 key-value 结构数据库。 主要特点: 1、基于内存存储,读写性能高 2、适合存储热点数据(热点…...
游戏引擎学习第84天
仓库:https://gitee.com/mrxiao_com/2d_game_2 我们正在试图弄清楚如何完成我们的世界构建 上周做了一些偏离计划的工作,开发了一个小型的背景位图合成工具,这个工具做得还不错,虽然是临时拼凑的,但验证了背景构建的思路。这个过…...
快手SDK接入错误处理经验总结(WebGL方案)
1、打包时提示Assets\WebGLTemplates\ks路径下未找到Index.html文件错误 处理方法:直接使用Unity默认模板下的Index.html文件即可 文件所在路径:Unity安装路径\Editor\Data\PlaybackEngines\WebGLSupport\BuildTools\WebGLTemplates\Default 参考图&a…...
C语言 for 循环:解谜数学,玩转生活!
放在最前面的 🎈 🎈 我的CSDN主页:OTWOL的主页,欢迎!!!👋🏼👋🏼 🎉🎉我的C语言初阶合集:C语言初阶合集,希望能…...
Node.js 与 JavaScript 是什么关系
JavaScript 是一种编程语言,而 Node.js 是 JavaScript 的一个运行环境,它们在不同的环境中使用,具有一些共同的语言基础,但也有各自独特的 API 和模块,共同推动着 JavaScript 在前后端开发中的广泛应用。 一、基础语言…...
Java 大视界 -- Java 大数据性能监控与调优:全链路性能分析与优化(十五)
💖💖💖亲爱的朋友们,热烈欢迎你们来到 青云交的博客!能与你们在此邂逅,我满心欢喜,深感无比荣幸。在这个瞬息万变的时代,我们每个人都在苦苦追寻一处能让心灵安然栖息的港湾。而 我的…...
深入Spring Boot:自定义Starter开发与实践
引言 Spring Boot通过其强大的自动配置机制和丰富的Starter模块,极大地简化了Spring应用的开发过程。Starter模块封装了一组相关的依赖和配置,使得开发者可以通过简单的依赖引入,快速启用特定的功能。然而,除了使用Spring Boot提…...
React 中hooks之useTransition使用总结
目录 概述基本用法使用场景最佳实践注意事项 概述 什么是 useTransition? useTransition 是 React 18 引入的新 Hook,用于标记非紧急的状态更新。它允许组件在状态转换期间保持响应,通过将某些更新标记为"过渡"来推迟它们的渲染。 主要特…...
怎样使用树莓派自己搭建一套ADS-B信号接收系统
0 我们知道,ADS-B全称广播式自动相关监视系统,其实就是飞机发出的广播信号,用明码来对外发送自己的位置、高度、速度、航向等信息,是公开信息。连续接收到一架飞机发出的ADS-B信息后,可以通过其坐标点来描绘出飞机的航…...
Chrome谷歌浏览器如何能恢复到之前的旧版本
升级了谷歌最新版不习惯,如何降级版本 未完待续。。 电脑中的Chrome谷歌浏览器升级到了最新版本,但是有种种的不适应,如何能恢复到之前的旧版本呢?我们来看看操作步骤,而且无需卸载重装。 怎么恢复Chrome 之前版本&a…...
路由器旁挂三层网络实现SDWAN互联(爱快SD-WAN)
近期因公司新办公区建设,原有的爱快路由器的SDWAN功能实现分支之间互联的服务还需要继续使用。在原有的小型网络中,使用的爱快路由器当作网关设备,所以使用较为简单,如下图所示。 现变更网络拓扑为三层网络架构,但原有的SDWAN分支…...
代码随想录算法训练营第五十五天 |108.冗余连接 109.冗余连接Ⅱ
108.冗余连接: 文章链接 题目链接:108.冗余连接 思路 首先分析题目,给定拥有n个节点和n条边的图,其中图是在原n个节点和n - 1条无环无向图中添加一条边得到的。要求是输出多出的边。(PS:可能会有多个答案…...
Unity补充 -- 协程相关
1.协程。 协程并不是线程。线程是主线程之外的另一条 代码按照逻辑执行通道。协程则是在代码在按照逻辑执行的同时,是否需要执行额外的语句块。 2.协程的作用。 在update执行的时候,是按照帧来进行刷新的,也是按照帧执行代码的。但是又不想…...
【第二十周】U-Net:用于生物图像分割的卷积神经网络
文章目录 摘要Abstract文章信息研究动机U-Net网络结构U-Net网络搭建数据增强损失函数转置卷积创新性与不足创新性:不足: 总结 摘要 U-Net(Convolutional Networks for Biomedical Image Segmentation)是一种用于图像分割的深度学…...
部署Metricbeat监测ES
官方参考文档 安装Metricbeat curl -L -O https://artifacts.elastic.co/downloads/beats/metricbeat/metricbeat-7.17.27-linux-x86_64.tar.gztar xzvf metricbeat-7.17.27-linux-x86_64.tar.gz设置 Metricbeat连接到 Elasticsearch 进入metricbeat目录配置metricbeat.yml …...
Pytorch|YOLO
🍨 本文为🔗365天深度学习训练营中的学习记录博客🍖 原作者:K同学啊 一、 前期准备 1. 设置GPU 如果设备上支持GPU就使用GPU,否则使用CPU import torch import torch.nn as nn import torchvision.transforms as transforms im…...
云计算与物联网技术的融合应用(在工业、农业、家居、医疗、环境、城市等整理较全)
摘要 为生产领域带来更加全面和深入的变革。通过云计算平台对物联网数据进行处理和分析,企业可以实现对生产过程的更加精细化的管理和控制。 1. 智能生产调度 通过云计算和物联网技术的融合应用,企业可以实现对生产线上各个环节的实时监控和数据分析。…...
基于python+Django+mysql鲜花水果销售商城网站系统设计与实现
博主介绍:黄菊华老师《Vue.js入门与商城开发实战》《微信小程序商城开发》图书作者,CSDN博客专家,在线教育专家,CSDN钻石讲师;专注大学生毕业设计教育、辅导。 所有项目都配有从入门到精通的基础知识视频课程ÿ…...
Golang:报错no required module provides package github.com/xx的解决方法
报错 问题重现可能的原因及解决方法1. 未初始化 Go 模块解决方法: 2. 没有添加依赖解决方法: 3. 网络问题解决方法: 4. 依赖版本问题解决方法: 5. 包未发布或路径拼写错误解决方法: 6. go mod tidy 未运行解决方法&…...
数据结构与算法(2):顺序表与链表
1.前言 哈喽大家好喔,今天博主继续进行数据结构的分享与学习,今天的主要内容是顺序表与链表,是最简单但又相当重要的数据结构,为以后的学习有重要的铺垫,希望大家一起交流学习,互相进步,让我们…...
打工人必备!8个AI办公神器,每天准时下班不是梦
文档处理工具Notion AI 集成在Notion中的AI功能,支持自动生成文档大纲、会议纪要整理、多语言翻译。通过自然语言输入需求,快速输出结构化内容,适合项目管理与知识库搭建。ChatPDF 上传PDF文件后可直接对话式提问,提取关键信息或总…...
Linux内核架构解析与学习路线指南
1. Linux内核概述与核心概念Linux内核作为操作系统的核心组件,负责管理系统资源、硬件抽象和进程调度等基础功能。它诞生于1991年,由Linus Torvalds开发,现已发展成为支持从嵌入式设备到超级计算机的全场景操作系统内核。提示:Lin…...
YOLO 系列专栏(三十七)【全网首发】YOLO26 独家卷积改进|CVPR 2025 FDConv 频率动态卷积,结合 FDC3k2 二次创新,突破小目标特征表达瓶颈
目录 摘要 一、引言:传统卷积的小目标痛点 二、核心技术原理解析 2.1 FDConv 频率动态卷积(CVPR 2025 核心思想) 2.1.1 核心流程 2.1.2 关键优势 2.2 FDC3k2 二次创新模块(全网首发) 2.2.1 结构设计 2.3 FDConv vs 传统卷积/主流动态卷积(小目标场景对比) 三、…...
FPGA JESD204B链路调试实战:从时钟配置到同步状态解析
1. JESD204B接口基础:关键参数解析 第一次接触JESD204B接口时,我被那一堆参数搞得晕头转向。M、N、N、F、K这些字母组合看起来像密码一样,但理解它们对后续调试至关重要。让我用最直白的语言帮你梳理清楚。 M代表转换器数量,这个最…...
为什么你的FastAPI AI接口无法流式输出?揭秘EventSource兼容性断层、中间件拦截陷阱与response_model边界漏洞
第一章:FastAPI 2.0 异步 AI 流式响应 配置步骤详解FastAPI 2.0 原生强化了对异步流式响应(StreamingResponse)的支持,特别适用于大语言模型(LLM)推理场景中逐 token 返回生成结果的需求。配置关键在于正确…...
Thiserror终极性能优化指南:避开5大常见陷阱的最佳实践
Thiserror终极性能优化指南:避开5大常见陷阱的最佳实践 【免费下载链接】thiserror derive(Error) for struct and enum error types 项目地址: https://gitcode.com/gh_mirrors/th/thiserror Thiserror是Rust生态中一款强大的错误处理工具,通过d…...
从Doorbell到RoCE包:深度解析RDMA Tx数据流的硬件协同
1. 从门铃到数据包:RDMA发送流程全景图 想象一下你在一家高级餐厅点餐的场景:服务员(CPU)把你的订单(WQE)写在厨房门口的订单板(SQ环形缓冲区)上,然后按一下服务铃&…...
Sonar CNES Report:代码质量自动化报告生成的全方位解决方案
Sonar CNES Report:代码质量自动化报告生成的全方位解决方案 【免费下载链接】sonar-cnes-report Generates analysis reports from SonarQube web API. 项目地址: https://gitcode.com/gh_mirrors/so/sonar-cnes-report 一、价值定位:为什么代码…...
LangChain教程-、Langchain基础妨
简介 AI Agent 不仅仅是一个能聊天的机器人(如普通的 ChatGPT),而是一个能够感知环境、进行推理、自主决策并调用工具来完成特定任务的智能系统,更够完成更为复杂的AI场景需求。 AI Agent 功能 根据查阅的资料,agent的…...
Windows与Office智能激活终极指南:KMS_VL_ALL_AIO全解析
Windows与Office智能激活终极指南:KMS_VL_ALL_AIO全解析 【免费下载链接】KMS_VL_ALL_AIO Smart Activation Script 项目地址: https://gitcode.com/gh_mirrors/km/KMS_VL_ALL_AIO 还在为Windows和Office激活烦恼吗?KMS_VL_ALL_AIO是一款功能强大…...





























