直流运算放大器-----仪表放大器(三)
详见 模拟电子技术基础 6.4.1
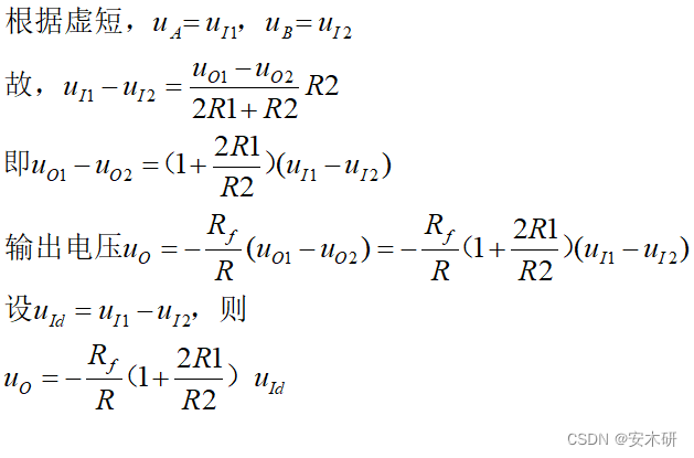
电路图

计算公式

仿真

电流流向

相关文章:
直流运算放大器-----仪表放大器(三)
详见 模拟电子技术基础 6.4.1 电路图 计算公式 仿真 电流流向...
【Zookeeper】终端操作常用命令
文章目录 服务端常用命令客户端常用命令 zookeeper版本3.7.1 Zookeeper是一个开源的分布式协调服务。 Zookeeper是Apache软件基金会的一个项目,它提供了分布式应用程序协调的通用服务,如分布式同步、命名服务、集群维护等,以简化分布式应用协…...
leetcode 1110. 删点成林
给出二叉树的根节点 root,树上每个节点都有一个不同的值。 如果节点值在 to_delete 中出现,我们就把该节点从树上删去,最后得到一个森林(一些不相交的树构成的集合)。 返回森林中的每棵树。你可以按任意顺序组织答案…...
华为Harmony应用开发初探
HarmonyOS是一款面向万物互联时代的、全新的分布式操作系统。在传统的单设备系统能力基础上,HarmonyOS提出了基于同一套系统能力、适配多种终端形态的分布式理念,能够支持手机、平板、智能穿戴、智慧屏、车机等多种终端设备,提供全场景(移动办公、运动健康、社交通信、媒体…...
电脑应用程序发生异常怎么办?
有时候我们打开电脑上面的某个软件时,会打不开,并且会弹出如下的错误提示“应用程序发生异常 未知的软件异常(xxx),位置为xx”。相信大多数的人在使用电脑的时…...
【JAVA】准备工作------Java开发环境搭建,IDEA的基础设置与操作
🍉内容专栏:【JAVA】 🍉本文脉络:JAVA的准备工作,IDEA的安装以及基础设置和快捷操作 🍉本文作者:Melon西西 🍉发布时间 :2023.7.11 目录 1. 概述JDK、JRE 2. 第一个程序——创建…...
操作系统真象还原——第5章 保护模式进阶,向内核迈进
第5章 保护模式进阶,向内核迈进 BIOS中断利用0x15子功能0xe802获取内存 汇编语言子功能的调用 填写调用前相关寄存器进行int中断调用获取返回结果输出到对应寄存器的值 80286 拥有24 位地址线,其寻址空间是16MB 。有一些ISA 只使用15MB,剩下…...
设计一款助听器可能需要用到以下音频算法
设计一款助听器可能需要用到以下音频算法: 1 响度补偿算法:助听器可能需要根据用户的听力损失情况调整不同频率范围内的增益,以提供个性化的听力补偿。这可以通过基于用户配置或自适应算法的频率响应调整来实现。 2 噪声抑制:用于…...
【端午节】用Vue3写粽子——从零开始
前言 在端午节即将到来之际,我们来一起写一个粽子组件来庆祝这个传统节日。 准备工作 首先,我们需要安装Vue3及其相关依赖,这里使用Vue CLI来创建项目。 # 安装Vue CLI npm install -g vue/cli # 创建Vue3项目 vue create zongzi接下来&a…...
大象机器人人工智能套装2023版深度学习协作机器人、先进机器视觉与应用场景
引言: 介绍当前的版本 今天我们要介绍的是aikit2023,aikit2023是aikit的全新升级版。 AIkit 2023 是一套集视觉,定位抓取、自动分拣模块为一体的入门级人工智能套装。 该套装基于python平台,可通过开发软件实现机械臂的控制&am…...
Cesium Token申请
一、什么是Cesium ion? Cesium ion是一个提供瓦片图和3D地理空间数据的平台,支持把数据添加到用户自己的应用程序中。 二、为什么需要access token? 使用Cesium ion需要申请access token,当用户将数据添加到自己的账户后,便可以…...
ubuntu系统自带的Text Editor编辑器不高亮解决办法
平时在写launch文件时,我喜欢用ubuntu系统自带的text编辑器,但发现使用text打开launch 文件时,没有高亮功能了,如下图所示: 解决办法非常简单,因为launch和xml文件语法规则类似,只需将text编辑…...
Docker NGINX 加载Geoip模板
前提环境: Docker 环境 涉及参考文档: ngx_http_geoip_module 模块Loki NGINX Service MeshGeoIP IP库 一、下载GeoIP IP库 二、配置Nginx主配置文件 vim /data/nginx/MangoMoh/dos/nginx.confuser nginx; worker_processes auto;error_log /var…...
springboot基于协同过滤算法商品推荐系统
开发语言:Java 框架:springboot JDK版本:JDK1.8 服务器:tomcat7 数据库:mysql 5.7 数据库工具:Navicat11 开发软件:eclipse/myeclipse/idea Maven包:Maven3.3.9 浏览器&…...
基于机器学习算法:朴素贝叶斯和SVM 分类-垃圾邮件识别分类系统(含Python工程全源码)
目录 前言总体设计系统整体结构图系统流程图 运行环境Python 环境安装pytesseract注册百度云账号 模块实现1. 数据模块2. 模型构建3. 附加功能 系统测试1. 文字邮件测试准确率2. 网页测试结果 工程源代码下载其它资料下载 前言 本项目采用朴素贝叶斯和支持向量机(S…...
在Linux下将PNG和JPG批量互转的四种方法
计算机术语中,批处理指的是用一个非交互式的程序来执行一序列的任务的方法。这篇教程里,我们会使用 Linux 命令行工具,并提供 4 种简单的处理方式来把一些 .PNG 格式的图像批量转换成 .JPG 格式的,以及转换回来。 计算机术语中&a…...
Scala中使用 break 和 continue
Scala中没有 break 和 continue 关键字,但是我们可以用 Breaks 类提供的相应方法来实现对应功能。 在Java中,break continue return的区别 1、break:break不仅可以结束其所在的循环,还可结束其外层循环,但一次只能结束…...
【全栈开发指南】打包sentinel-dashboard镜像推送到Docker Hub镜像仓库
在使用sentinel-dashboard的时候,发现官方并没有把jar包发布到Docker Hub镜像仓库,所以,我们需要自己手动将需要版本的sentinel-dashboard.jar发布到Docker Hub镜像仓库。首先需要在Docker Hub镜像仓库网站 https://hub.docker.com/ 上注册账…...
【数据可视化】SVG(一)
一、邂逅SVG和初体验 什么是SVG SVG全称为(Scalable Vector Graphics),即可缩放矢量图形。(矢量定义:既有大小又有方向的量。在物理学中称作矢量,如一个带箭头线段:长度表示大小࿰…...
linux 系统errno 对应参考及代码
结论 linux下系统errno都有对应的说明描述,发生错误时获取errno即可知道具体问题描述 如下图 代码如下 golang版 package main import ("syscall""strings""fmt" ) func main() {for i : 0; i < 200; i {if !strings.HasPrefi…...
Linux应用开发之网络套接字编程(实例篇)
服务端与客户端单连接 服务端代码 #include <sys/socket.h> #include <sys/types.h> #include <netinet/in.h> #include <stdio.h> #include <stdlib.h> #include <string.h> #include <arpa/inet.h> #include <pthread.h> …...
在鸿蒙HarmonyOS 5中实现抖音风格的点赞功能
下面我将详细介绍如何使用HarmonyOS SDK在HarmonyOS 5中实现类似抖音的点赞功能,包括动画效果、数据同步和交互优化。 1. 基础点赞功能实现 1.1 创建数据模型 // VideoModel.ets export class VideoModel {id: string "";title: string ""…...
Opencv中的addweighted函数
一.addweighted函数作用 addweighted()是OpenCV库中用于图像处理的函数,主要功能是将两个输入图像(尺寸和类型相同)按照指定的权重进行加权叠加(图像融合),并添加一个标量值&#x…...
Leetcode 3577. Count the Number of Computer Unlocking Permutations
Leetcode 3577. Count the Number of Computer Unlocking Permutations 1. 解题思路2. 代码实现 题目链接:3577. Count the Number of Computer Unlocking Permutations 1. 解题思路 这一题其实就是一个脑筋急转弯,要想要能够将所有的电脑解锁&#x…...
最新SpringBoot+SpringCloud+Nacos微服务框架分享
文章目录 前言一、服务规划二、架构核心1.cloud的pom2.gateway的异常handler3.gateway的filter4、admin的pom5、admin的登录核心 三、code-helper分享总结 前言 最近有个活蛮赶的,根据Excel列的需求预估的工时直接打骨折,不要问我为什么,主要…...
Java - Mysql数据类型对应
Mysql数据类型java数据类型备注整型INT/INTEGERint / java.lang.Integer–BIGINTlong/java.lang.Long–––浮点型FLOATfloat/java.lang.FloatDOUBLEdouble/java.lang.Double–DECIMAL/NUMERICjava.math.BigDecimal字符串型CHARjava.lang.String固定长度字符串VARCHARjava.lang…...
C# 类和继承(抽象类)
抽象类 抽象类是指设计为被继承的类。抽象类只能被用作其他类的基类。 不能创建抽象类的实例。抽象类使用abstract修饰符声明。 抽象类可以包含抽象成员或普通的非抽象成员。抽象类的成员可以是抽象成员和普通带 实现的成员的任意组合。抽象类自己可以派生自另一个抽象类。例…...
多种风格导航菜单 HTML 实现(附源码)
下面我将为您展示 6 种不同风格的导航菜单实现,每种都包含完整 HTML、CSS 和 JavaScript 代码。 1. 简约水平导航栏 <!DOCTYPE html> <html lang"zh-CN"> <head><meta charset"UTF-8"><meta name"viewport&qu…...
【LeetCode】算法详解#6 ---除自身以外数组的乘积
1.题目介绍 给定一个整数数组 nums,返回 数组 answer ,其中 answer[i] 等于 nums 中除 nums[i] 之外其余各元素的乘积 。 题目数据 保证 数组 nums之中任意元素的全部前缀元素和后缀的乘积都在 32 位 整数范围内。 请 不要使用除法,且在 O…...
算术操作符与类型转换:从基础到精通
目录 前言:从基础到实践——探索运算符与类型转换的奥秘 算术操作符超级详解 算术操作符:、-、*、/、% 赋值操作符:和复合赋值 单⽬操作符:、--、、- 前言:从基础到实践——探索运算符与类型转换的奥秘 在先前的文…...
