微分中值定理
极值
目录
极值
费马引理
编辑
罗尔定理
拉格朗日中值定理
例题:
例2
例3
两个重要结论:
编辑
柯西中值定理:

如何用自己的语言理解极值呢?

极大值和极小值的类似,我们不再进行说明
极值点有什么特点吗?

我们发现,极值点的斜率为0,并且切线平行与x轴,导数为0.
费马引理
简单的说极值点可导的话,导数为0
我们对费马引理进行证明:

罗尔定理

如果函数在闭区间[a,b]连续,开区间(a,b)可导,并且端点值f(a)=f(b),那么在该区间存在一定,使这一点的导数为0.
我们随便画出一个图像:

我们进行证明

罗尔定理的几何意义

我们可以发现,存在的点柯西与其说是平行于x轴不如说是平行于连接a,b两个端点的直线。
由此,我们引入拉格朗日中值定理
拉格朗日中值定理


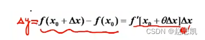
我们可以把式子进行改写:


而在微分中,我们又了解到函数改变量等于自变量的改变量×这一点的改变量

这就是函数增量的大概表示。
而这一个是函数增量的具体表示


我们进行证明:

例题:


例2


例3


两个重要结论:
柯西中值定理:

我们可以由拉格朗日定理来进行证明:

我们的拉格朗日定理需要证明:

证明柯西中值定理:



这里不等于0的意义是什么?
相关文章:
微分中值定理
极值 目录 极值 费马引理 编辑 罗尔定理 拉格朗日中值定理 例题: 例2 例3 两个重要结论: 编辑 柯西中值定理: 如何用自己的语言理解极值呢? 极大值和极小值的类似,我们不再进行说明 极值点有什么特点吗&…...
redis 存储一个map 怎么让map中其中一个值设置过期时间,而不是过期掉整个map?
文章目录 redis 存储一个map 怎么让map中其中一个值设置过期时间,而不是过期掉整个map?Java 中 怎么 实现?方案一: Jedis方案二: Lettuce方案三: Redisson方案四: Jedisson方案五: RedisTemplate那种方式 效率最高 ?拓展:结语redis 存储一个map 怎么让map中其中一个值设置过…...
LeetCode:704. 二分查找
🍎道阻且长,行则将至。🍓 🌻算法,不如说它是一种思考方式🍀算法专栏: 👉🏻123 一、🌱704. 二分查找 题目描述:给定一个 n 个元素有序的ÿ…...
Java 到底是值传递还是引用传递?
C 语言是很多变成语言的母胎,包括 Java。对于 C 语言来说,所有的方法参数都是通过 “值” 传递的,也就是说,传递给被调用方法的参数值存放在临时变量中,而不是存放在原来的变量中。这就意味着,被调用的方法…...
Apollo 配置变更原理
我们经常用到apollo的两个特性:1.动态更新配置:apollo可以动态更新Value的值,也可以修改environment的值。2.实时监听配置:实现apollo的监听器ConfigChangeListener,通过onChange方法来实时监听配置变化。你知道apollo…...
聊聊「订单」业务的设计与实现
订单,业务的核心模块; 一、背景简介 订单业务一直都是系统研发中的核心模块,订单的产生过程,与系统中的很多模块都会高度关联,比如账户体系、支付中心、运营管理等,即便单看订单本身,也足够的复…...
血细胞智能检测与计数软件(Python+YOLOv5深度学习模型+清新界面版)
摘要:血细胞智能检测与计数软件应用深度学习技术智能检测血细胞图像中红细胞、镰状细胞等不同形态细胞并可视化计数,以辅助医学细胞检测。本文详细介绍血细胞智能检测与计数软件,在介绍算法原理的同时,给出Python的实现代码以及Py…...
高速PCB设计指南(十五)
掌握IC封装的特性以达到最佳EMI抑制性能 将去耦电容直接放在IC封装内可以有效控制EMI并提高信号的完整性,本文从IC内部封装入手,分析EMI的来源、IC封装在EMI控制中的作用,进而提出11个有效控制EMI的设计规则,包括封装选择、引脚结…...
GPT-4:我不是来抢你饭碗的,我是来抢你锅的
目录 一、GPT-4,可媲美人类 二、它和ChatGPT 有何差别? 01、处理多达2.5万字的长篇内容 02、分析图像的能力,并具有「幽默感」 03、生成网页 三、题外话 四、小结 GPT-4的闪亮登场,似乎再次惊艳了所有人。 看了GPT-4官方的…...
Scala环境安装【傻瓜式教程】
文章目录安装scala环境依赖Java环境安装下载sacla的sdk包安装Scala2.12检查安装是否成功idea配置idea安装scala插件项目配置新建maven项目添加框架支持选择scala创建测试类安装scala环境依赖 Java环境安装 sacla环境安装之前需要先确认Java jdk安装完成 java具体安装步骤略&…...
js实现一个简单的扫雷
目录先看下最终的效果:首先来分析一个扫雷游戏具有哪些功能分析完成后我们就开始一步步的实现1. 相关html和css2. 我们使用类来完成相应功能3. 之后我们则是要定义一个地图4. 对地图进行渲染5. 对开始按钮添加点击事件6. 现在我们可以实现鼠标左击扫雷的功能7. 给单…...
禁用非必需插件,让 IDEA 飞起
文章首发于个人博客,欢迎访问关注:https://www.lin2j.tech IDEA 为我们提供了众多的插件,但是这些插件并不都是必须的。如果电脑的性能不够强,反而会带来一些不必要的资源消耗。 因此这里整理了一些不常用的插件,可以…...
解决win10任何程序打开链接仍然为老旧IE的顽固问题[修改默认浏览器]
文章目录一、问题与修改原因1、着手修改吧2、弯路上探索3、发现祸根二、后话文章原出处: https://blog.csdn.net/haigear/article/details/129344503一、问题与修改原因 我们发现,很多程序默认的网页打开浏览器都是IE,这个很是郁闷ÿ…...
计算机网络体系结构——“计算机网络”
各位CSDN的uu们你们好呀,今天小雅兰来学习一个全新的知识点,就是计算机网络啦,下面,开始虚心学习。 计算机网络的概念 计算机网络的功能 计算机网络的组成 计算机网络的分类 标准化工作 计算机网络的性能 计算机网络的概念 …...
基于微信小程序的校园二手交易平台小程序
文末联系获取源码 开发语言:Java 框架:ssm JDK版本:JDK1.8 服务器:tomcat7 数据库:mysql 5.7/8.0 数据库工具:Navicat11 开发软件:eclipse/myeclipse/idea Maven包:Maven3.3.9 浏览器…...
Linux lvm管理讲解及命令
♥️作者:小刘在C站 ♥️个人主页:小刘主页 ♥️每天分享云计算网络运维课堂笔记,努力不一定有收获,但一定会有收获加油!一起努力,共赴美好人生! ♥️夕阳下,是最美的绽放࿰…...
GPT-4,终于来了!
就在昨天凌晨,OpenAI发布了多模态预训练大模型GPT-4。 这不昨天一觉醒来,GPT-4都快刷屏了,不管是在朋友圈还是网络上都看到了很多信息和文章。 GPT是Generative Pre-trained Transformer的缩写,也即生成型预训练变换模型的意思。…...
面部表情识别3:Android实现表情识别(含源码,可实时检测)
面部表情识别3:Android实现表情识别(含源码,可实时检测) 目录 面部表情识别3:Android实现表情识别(含源码,可实时检测) 1.面部表情识别方法 2.人脸检测方法 3.面部表情识别模型训练 4.面部表情识别模型Android部署 &#x…...
【IT女神勋章挑战赛名单公布】:看看谁获奖啦!
致敬女性开发者,为那些IT女神而战!「IT女神勋章挑战赛」已落下帷幕,博主们的比拼结果也已新鲜出炉,快来看看此次征文中,有哪些精彩文章不容错过!活动官网:https://activity.csdn.net/creatActiv…...
ThreadPool线程池源码解析
ThreadPool线程池源码解析 文章目录前言一、基本使用二、执行流程三、源码分析ThreadPoolExecutor 中重要属性ThreadPoolExecutor 内部类Workerexecute()方法addWorker(command, true)方法runWorker(worker )方法getTask()方法shutdown和shutdownNow四、…...
深度学习在微纳光子学中的应用
深度学习在微纳光子学中的主要应用方向 深度学习与微纳光子学的结合主要集中在以下几个方向: 逆向设计 通过神经网络快速预测微纳结构的光学响应,替代传统耗时的数值模拟方法。例如设计超表面、光子晶体等结构。 特征提取与优化 从复杂的光学数据中自…...
JavaSec-RCE
简介 RCE(Remote Code Execution),可以分为:命令注入(Command Injection)、代码注入(Code Injection) 代码注入 1.漏洞场景:Groovy代码注入 Groovy是一种基于JVM的动态语言,语法简洁,支持闭包、动态类型和Java互操作性,…...
Qt/C++开发监控GB28181系统/取流协议/同时支持udp/tcp被动/tcp主动
一、前言说明 在2011版本的gb28181协议中,拉取视频流只要求udp方式,从2016开始要求新增支持tcp被动和tcp主动两种方式,udp理论上会丢包的,所以实际使用过程可能会出现画面花屏的情况,而tcp肯定不丢包,起码…...
【Linux】C语言执行shell指令
在C语言中执行Shell指令 在C语言中,有几种方法可以执行Shell指令: 1. 使用system()函数 这是最简单的方法,包含在stdlib.h头文件中: #include <stdlib.h>int main() {system("ls -l"); // 执行ls -l命令retu…...
Cloudflare 从 Nginx 到 Pingora:性能、效率与安全的全面升级
在互联网的快速发展中,高性能、高效率和高安全性的网络服务成为了各大互联网基础设施提供商的核心追求。Cloudflare 作为全球领先的互联网安全和基础设施公司,近期做出了一个重大技术决策:弃用长期使用的 Nginx,转而采用其内部开发…...
WEB3全栈开发——面试专业技能点P2智能合约开发(Solidity)
一、Solidity合约开发 下面是 Solidity 合约开发 的概念、代码示例及讲解,适合用作学习或写简历项目背景说明。 🧠 一、概念简介:Solidity 合约开发 Solidity 是一种专门为 以太坊(Ethereum)平台编写智能合约的高级编…...
全志A40i android7.1 调试信息打印串口由uart0改为uart3
一,概述 1. 目的 将调试信息打印串口由uart0改为uart3。 2. 版本信息 Uboot版本:2014.07; Kernel版本:Linux-3.10; 二,Uboot 1. sys_config.fex改动 使能uart3(TX:PH00 RX:PH01),并让boo…...
解决:Android studio 编译后报错\app\src\main\cpp\CMakeLists.txt‘ to exist
现象: android studio报错: [CXX1409] D:\GitLab\xxxxx\app.cxx\Debug\3f3w4y1i\arm64-v8a\android_gradle_build.json : expected buildFiles file ‘D:\GitLab\xxxxx\app\src\main\cpp\CMakeLists.txt’ to exist 解决: 不要动CMakeLists.…...
鸿蒙(HarmonyOS5)实现跳一跳小游戏
下面我将介绍如何使用鸿蒙的ArkUI框架,实现一个简单的跳一跳小游戏。 1. 项目结构 src/main/ets/ ├── MainAbility │ ├── pages │ │ ├── Index.ets // 主页面 │ │ └── GamePage.ets // 游戏页面 │ └── model │ …...
rknn toolkit2搭建和推理
安装Miniconda Miniconda - Anaconda Miniconda 选择一个 新的 版本 ,不用和RKNN的python版本保持一致 使用 ./xxx.sh进行安装 下面配置一下载源 # 清华大学源(最常用) conda config --add channels https://mirrors.tuna.tsinghua.edu.cn…...


