递归理解三:深度、广度优先搜索,n叉树遍历,n并列递归理解与转非递归
参考资料:
- DFS 参考文章
- BFS 参考文章
- DFS 参考视频
- 二叉树遍历规律
- 递归原理
- 源码
N叉树规律总结:
由前面二叉树的遍历规律和递归的基本原理,我们可以看到,二叉树遍历口诀和二叉树递推公式有着紧密的联系

前序遍历:F(x) = op1(x) & F(x左) & F(x右) 口诀:根左右
中序遍历:F(x) = F(x左) & op1(x) &F(x右) 口诀:左根右
后序遍历:F(x) = F(x左) & F(x右) & op1(x) 口诀:左右根
其中op1(x)表示对数据X的操作
如果上述公式中,将op1(x)看做根,可以发现 递推公式和口诀是一摸一样的。
进而我们推断出,3叉树(3并列递归),4叉树(4并列递归)......乃至n叉树(n并列递归)规律都是这样的
3叉树(3并列递归)口诀
公式1:F(x) = op1(x) & F(x左) & F(x中) & F(x右) 口诀:根左中右
公式2:F(x) = F(x左) & op1(x) & F(x中) &F(x右) 口诀:左根中右
公式3:F(x) = F(x左)& F(x中) & op1(x) &F(x右) 口诀:左中根右
公式4:F(x) = F(x左)& F(x中) &F(x右) & op1(x) 口诀:左中右根
其中op1(x)表示对数据X的操作
4叉树(4并列递归)口诀
公式1:F(x) = op1(x) & F(x上) & F(x下) & F(x左) & F(X右) 口诀:根上下左右
公式2:F(x) = F(x上) & op1(x) & F(x下) & F(x左) & F(X右) 口诀:上根下左右
公式3:F(x) = F(x上) & F(x下) & op1(x) & F(x左) & F(X右) 口诀:上下根左右
公式4:F(x) = F(x上) & F(x下) & F(x左) & op1(x) & F(X右) 口诀:上下左根右
公式5:F(x) = F(x上) & F(x下) & F(x左) & F(X右) & op1(x) 口诀:上下左右根
其中op1(x)表示对数据X的操作

扩展至n叉树(n并列递归)口诀
公式1:F(x) = op1(x) & F(x属性1) & F(x属性2) & ......&F(x属性n)
口诀:根,属性1,属性2,......,属性n
N叉树规律验证:
由上述总结出的n叉树规律
公式1:F(x) = op1(x) & F(x属性1) & F(x属性2) & ......&F(x属性n)
口诀:根,属性1,属性2,......,属性n
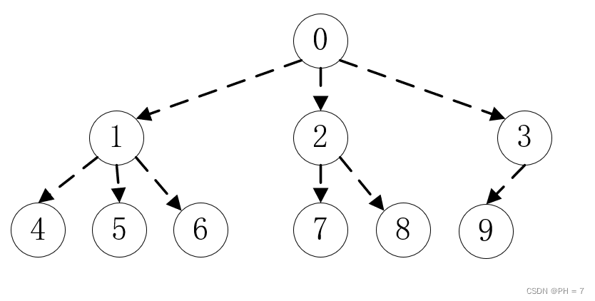
我们用以下三叉树来进行验证,分别进行前中后序三种遍历

初始化语句:
//对三叉树进行初始化public TreeNode initNode(){// 先初始化最底层的TreeNode node9 = new TreeNode(9,null, null, null);TreeNode node8 = new TreeNode(8,null, null, null);TreeNode node7 = new TreeNode(7,null, null, null);TreeNode node6 = new TreeNode(6,null, null, null);TreeNode node5 = new TreeNode(5,null, null, null);TreeNode node4 = new TreeNode(4,null, null, null);TreeNode node3 = new TreeNode(3,node9, null, null);TreeNode node2 = new TreeNode(2,null, node7, node8);TreeNode node1 = new TreeNode(1,node4, node5, node6);TreeNode node0 = new TreeNode(0,node1, node2, node3);return node0;}
- 前序遍历
根据代码:
public void deepSortOutFont(TreeNode node){if(node == null){return;}System.out.println("前序遍历为:"+node.val);deepSortOutFont(node.left);deepSortOutFont(node.middle);deepSortOutFont(node.right);}
得到公式以及遍历口诀:
F(x) = op1(x) & F(x左) & F(x中) & F(x右) 口诀:根左中右

- 从根节点开始,根据口诀:根左中右,得到结果:0,1,2,3
- 以未遍历的节点1为根,根据口诀:根左中右,即1,4,5,6,得到结果:0,1,4,5,6,2,3
- 以未遍历的节点2为根,根据口诀:根左中右,即2,null,7,8,得到结果:0,1,4,5,6,2,7,8,3
- 以未遍历的节点3为根,根据口诀:根左中右,即3,9,null,null,得到结果:0,1,4,5,6,2,7,8,3,9
- 以未遍历节点4,5,6,7,8,9为根,根据口诀:根左中右,即n,null,null,null值不计,结果不变
- 所以根据递推公式总结的口诀:得到遍历结果为:,1,4,5,6,2,7,8,3,9
然后我们执行程序
@Testpublic void test(){//首先进行初始化TreeNode headNode = initNode();//深度优先遍历deepSortOutFont(headNode);//deepSortOutMiddle(headNode);//deepSortOutAfter(headNode);// 广度优先遍历//layerTranverse(headNode);}
得到结果:

程序执行结果和口诀推导得到的结果一致,验证成功
总结:n项并列递归理解以及向非递归的转化:
- 根据代码总结出递推函数
对于一个n项递归函数,我们可以很轻易的写出他的递推函数,例如一个归并排序

mearge函数的意思是,将数组的left下标到right下标进行倒序排序,这里为了方便说明就不写出,文章后面会贴出完整代码
得到递推函数:
F(array,left,right) = op1 & F(array,left,middle) & F(array,middle,right) & op2
op表示数据操作,
F(array,left,middle) 为 F(array,left,right)的左半部分
F(array,middle,right) 为 F(array,left,right)的右半部分
- 根据递推函数得到遍历口诀
拆分公式,确保每一个公式只有一个op操作,并得到遍历口诀
F(array,left,right) = op1 & F(array,left,middle) & F(array,middle,right) 口诀:根左右
F(array,left,right) = F(array,left,middle) & F(array,middle,right) & op2 口诀:左右根
- 例举样本数据,从根节点开始,以未遍历的节点为根,按照遍历口诀,对各个节点进行排序
创建样本数据
array:{ 5, 4, 9, 8, 7, 6, 0, 1, 3, 2 }
left:0
right: 9
画出二叉树(当然三并列就是三叉树,n并列就是n叉树)
根据函数表述:两个递归函数是将数组的左半部分和右半部分不断分解,直到left>=right(注意终止条件不画出),得到如下二叉树

以第二个公式为例:
F(array,left,right) = F(array,left,middle) & F(array,middle,right) & op2 口诀:左右根
从根节点开始,根据:左右根口诀,得到merge函数的入参顺序,根据merge定义:将下标范围内的数字进行倒序排列,得到每一次入参后的结果

- 将排序后的数据依次作为数据操作函数的入参,归纳总结出该递推函数的作用
根据二叉树的分解以及执行流程,理解了此归并排序的含义:将数组不断地利用二分法进行分解,直至两个元素,然后再对每一部分进行排序
- 并且将循环套用的递归函数转化为了线性的,有多个入参的操作函数,且总结出递归函数的执行顺序
深度、广度优先遍历
其实,二叉树的深度,层级遍历,对应的就是简易的深度、广度优先遍历,见上一级
下面将简单介绍下他们在二维数组中的应用,以岛屿问题为例
给你一个由
'1'(陆地)和'0'(水)组成的的二维网格,请你计算网格中岛屿的数量。
grid = [
["1","1","1","1","0"],
["1","1","0","1","0"],
["1","1","0","0","0"],
["0","0","0","0","0"]
]
深度优先遍历的解决办法是:详情见
void dfs(int[][] grid, int r, int c) {// 判断 base caseif (!inArea(grid, r, c)) {return;}// 如果这个格子不是岛屿,直接返回if (grid[r][c] != 1) {return;}grid[r][c] = 2; // 将格子标记为「已遍历过」// 访问上、下、左、右四个相邻结点dfs(grid, r - 1, c);dfs(grid, r + 1, c);dfs(grid, r, c - 1);dfs(grid, r, c + 1);
}// 判断坐标 (r, c) 是否在网格中
boolean inArea(int[][] grid, int r, int c) {return 0 <= r && r < grid.length && 0 <= c && c < grid[0].length;
}
其实就是4并列递归
广度优先遍历的遍历方法为:详情见
// 网格结构的层序遍历
// 从格子 (i, j) 开始遍历
void bfs(int[][] grid, int i, int j) {Queue<int[]> queue = new ArrayDeque<>();queue.add(new int[]{r, c});while (!queue.isEmpty()) {int n = queue.size();for (int i = 0; i < n; i++) { int[] node = queue.poll();int r = node[0];int c = node[1];if (r-1 >= 0 && grid[r-1][c] == 0) {grid[r-1][c] = 2;queue.add(new int[]{r-1, c});}if (r+1 < N && grid[r+1][c] == 0) {grid[r+1][c] = 2;queue.add(new int[]{r+1, c});}if (c-1 >= 0 && grid[r][c-1] == 0) {grid[r][c-1] = 2;queue.add(new int[]{r, c-1});}if (c+1 < N && grid[r][c+1] == 0) {grid[r][c+1] = 2;queue.add(new int[]{r, c+1});}}}
}
其实就是二叉树层级遍历的变形
相关文章:
递归理解三:深度、广度优先搜索,n叉树遍历,n并列递归理解与转非递归
参考资料: DFS 参考文章BFS 参考文章DFS 参考视频二叉树遍历规律递归原理源码N叉树规律总结: 由前面二叉树的遍历规律和递归的基本原理,我们可以看到,二叉树遍历口诀和二叉树递推公式有着紧密的联系 前序遍历:F(x…...
MATLAB 2023a安装包下载及安装教程
[软件名称]:MATLAB 2023a [软件大小]: 12.2 GB [安装环境]: Win11/Win 10/Win 7 [软件安装包下载]:https://pan.quark.cn/s/8e24d77ab005 MATLAB和Mathematica、Maple并称为三大数学软件。它在数学类科技应用软件中在数值计算方面首屈一指。行矩阵运算、绘制函数和数据、实现算…...
QT学习开发笔记(数据库之实用时钟)
数据库 数据库是什么?简易言之,就是保存数据的文件。可以存储大量数据,包括插入数据、更 新数据、截取数据等。用专业术语来说,数据库是“按照数据结构来组织、存储和管理数据的 仓库”。是一个长期存储在计算机内的、有组织的、…...
Docker常规安装简介
总体步骤 搜索镜像拉取镜像查看镜像启动镜像,服务端口映射停止容器移除容器 案例 安装tomcat docker hub上面查找tomcat镜像,docker search tomcat从docker hub上拉取tomcat镜像到本地 docker pull tomcatdocker images查看是否有拉取到的tomcat 使用tomcat镜像创…...
Python - PyQT5 - ui文件转为py文件
在QTdesigner图形化编辑工具中,有些控件我们是可以直接在编辑界面进行编辑的,有些是不可以编辑的,只能通过Python代码进行编辑,不过总体来说,所有能够通过图形化编辑界面可以编辑的,都可以通过Python语言实…...
分布式事务和分布式锁
1、关于分布式锁的了解? 原理:控制分布式系统有序的去对共享资源进行操作,通过互斥来保持一致性。 具备的条件: ①分布式环境下,一个方法在同一时间只能被一个机器的一个线程执行 ②高可用的获取锁和释放锁 ③高性能…...
JAVA-4-[Spring框架]基于XML方式的Bean管理
1 Spring IOC容器 (1)IOC底层原理 (2)IOC接口(BeanFactory) (3)IOC操作Bean管理(基于XML) (4)IOC操作Bean管理(基于注释) 1.1 IOC概念 (1)控制反转(Inversion of Control),把对象的创建和对象之间的调用过程,交给Spring进行管理。 (2)使用IOC目的&…...
路科验证UVM入门与进阶详解实验0
一.代码编译 首先创建新项目,导入lab0 的UVM文件; 针对uvm_compile文件,先进行编译; module uvm_compile;// NOTE:: it is necessary to import uvm package and macrosimport uvm_pkg::*;include "uvm_macros.svh"in…...
Linux之Shell编程(1)
文章目录前言一、Shell是什么二、Shell脚本的执行方式脚本的常用执行方式三、Shell的变量Shell变量介绍shell变量的定义四、设置环境变量基本语法快速入门五、位置参数变量介绍●基本语法●位置参数变量六、预定义变量基本介绍基本语法七、运算符基本介绍基本语法前言 为什么要…...
Java问题诊断工具——JVisualVM
这篇文章源自一次加班改bug的惨痛经历[,,_,,]:3负责的一个项目占用不断增加,差点搞崩服务器(╥﹏╥)……一下子有点懵,不能立刻确定是哪里导致的问题,所以决定好好研究下这个之前一直被我忽视的问题诊断工具🔧——JVisualVM嘿嘿我…...
Python3实现简单的车牌检测
导语Hi,好久不见~~~两周没写东西了,从简单的开始,慢慢提高文章水准吧,下一个月开始时间就会比较充裕了~~~利用Python实现简单的车牌检测算法~~~让我们愉快地开始吧~~~相关文件网盘下载链接: https://pan.baidu.com/s/1iJmXCheJoWq…...
基于支持向量机SVM多因子测量误差预测,支持向量机MATLAB代码编程实现
目录 支持向量机SVM的详细原理 SVM的定义 SVM理论 SVM应用实例,SVM的测量误差预测 代码 结果分析 展望 支持向量机SVM的详细原理 SVM的定义 支持向量机(support vector machines, SVM)是一种二分类模型,它的基本模型是定义在特…...
新农具时代,拼多多的进击与本分
这几年,乡村振兴被频频提及,核心就是经济振兴。但经济振兴,不能只靠政府,更要靠企业,政府引导、企业主导才能真正让农民、农村、农业长期受益。企业中,被寄予厚望的是电商企业。甚至,电商成为了…...
质量工具之故障树分析FTA(2) - FTA的基本概念
关键词:问题解决、故障树、故障树分析、FTA、可靠性、鱼骨图、根本原因分析 前文我们已经详细介绍了FTA的历史。 我们在工作中碰到一个问题,可以利用的问题解决工具有很多,故障树分析FTA就是其中之一。 但是FTA毕竟是相对复杂较难掌握的工具…...
《高质量C/C++编程》读书笔记二
文章目录前言三、命名规则四、表达式和基本语句if语句循环语句五、常量前言 这本书是林锐博士写的关于C/C编程规范的一本书,我打算写下一系列读书笔记,当然我并不打算全盘接收这本书中的内容。 良好的编程习惯,规范的编程风格可以提高代码…...
常用的美颜滤镜sdk算法
本文主要介绍常见的美颜滤镜SDK算法,包括 SRGB、 HSL、 Lab、 JPEG、 TIFF等。本文不会过多介绍算法原理,只是列举一些在实际项目中用到的滤镜效果,如: 1.色彩空间变换 2.颜色范围调节 3.色彩平衡调节 4.灰度级调节 5.色相/饱和度…...
动态SQL必知必会
动态SQL必知必会1、什么是动态SQL2、为什么使用动态SQL3、动态SQL的标签4、if 标签-单标签判断5、choose标签-多条件分支判断6、set 标签-修改语句7、foreach标签7.1 批量查询7.2 批量删除7.3 批量添加8、模糊分页查询1、什么是动态SQL 动态 SQL 是 MyBatis 的强大特性之一。如…...
DML编程控制
id生成策略 模型类: Data TableName("tbl_user") public class User {TableId(type IdType.AUTO)TableId(type IdType.NONE)TableId(type IdType.INPUT)TableId(type IdType.ASSIGN_ID)TableId(type IdType.ASSIGN_UUID)private Long id;private String name;T…...
关于肺结节实时的目标检测
目录 1. 对屏幕固定区域的检测 1.1 代码 1.2 结果展示 2. video 检测 2.1 代码 2.2 展示...
利用 Rainbond 云原生平台简化 Kubernetes 业务问题排查
Kubernetes 已经成为了云原生时代基础设施的事实标准,越来越多的应用系统在 Kubernetes 环境中运行。Kubernetes 已经依靠其强大的自动化运维能力解决了业务系统的大多数运行维护问题,然而还是要有一些状况是需要运维人员去手动处理的。那么和传统运维相…...
渲染学进阶内容——模型
最近在写模组的时候发现渲染器里面离不开模型的定义,在渲染的第二篇文章中简单的讲解了一下关于模型部分的内容,其实不管是方块还是方块实体,都离不开模型的内容 🧱 一、CubeListBuilder 功能解析 CubeListBuilder 是 Minecraft Java 版模型系统的核心构建器,用于动态创…...
聊一聊接口测试的意义有哪些?
目录 一、隔离性 & 早期测试 二、保障系统集成质量 三、验证业务逻辑的核心层 四、提升测试效率与覆盖度 五、系统稳定性的守护者 六、驱动团队协作与契约管理 七、性能与扩展性的前置评估 八、持续交付的核心支撑 接口测试的意义可以从四个维度展开,首…...
Redis数据倾斜问题解决
Redis 数据倾斜问题解析与解决方案 什么是 Redis 数据倾斜 Redis 数据倾斜指的是在 Redis 集群中,部分节点存储的数据量或访问量远高于其他节点,导致这些节点负载过高,影响整体性能。 数据倾斜的主要表现 部分节点内存使用率远高于其他节…...
C++ Visual Studio 2017厂商给的源码没有.sln文件 易兆微芯片下载工具加开机动画下载。
1.先用Visual Studio 2017打开Yichip YC31xx loader.vcxproj,再用Visual Studio 2022打开。再保侟就有.sln文件了。 易兆微芯片下载工具加开机动画下载 ExtraDownloadFile1Info.\logo.bin|0|0|10D2000|0 MFC应用兼容CMD 在BOOL CYichipYC31xxloaderDlg::OnIni…...
uniapp 实现腾讯云IM群文件上传下载功能
UniApp 集成腾讯云IM实现群文件上传下载功能全攻略 一、功能背景与技术选型 在团队协作场景中,群文件共享是核心需求之一。本文将介绍如何基于腾讯云IMCOS,在uniapp中实现: 群内文件上传/下载文件元数据管理下载进度追踪跨平台文件预览 二…...
在 Visual Studio Code 中使用驭码 CodeRider 提升开发效率:以冒泡排序为例
目录 前言1 插件安装与配置1.1 安装驭码 CodeRider1.2 初始配置建议 2 示例代码:冒泡排序3 驭码 CodeRider 功能详解3.1 功能概览3.2 代码解释功能3.3 自动注释生成3.4 逻辑修改功能3.5 单元测试自动生成3.6 代码优化建议 4 驭码的实际应用建议5 常见问题与解决建议…...
6.9-QT模拟计算器
源码: 头文件: widget.h #ifndef WIDGET_H #define WIDGET_H#include <QWidget> #include <QMouseEvent>QT_BEGIN_NAMESPACE namespace Ui { class Widget; } QT_END_NAMESPACEclass Widget : public QWidget {Q_OBJECTpublic:Widget(QWidget *parent nullptr);…...
李沐--动手学深度学习--GRU
1.GRU从零开始实现 #9.1.2GRU从零开始实现 import torch from torch import nn from d2l import torch as d2l#首先读取 8.5节中使用的时间机器数据集 batch_size,num_steps 32,35 train_iter,vocab d2l.load_data_time_machine(batch_size,num_steps) #初始化模型参数 def …...
Pandas 可视化集成:数据科学家的高效绘图指南
为什么选择 Pandas 进行数据可视化? 在数据科学和分析领域,可视化是理解数据、发现模式和传达见解的关键步骤。Python 生态系统提供了多种可视化工具,如 Matplotlib、Seaborn、Plotly 等,但 Pandas 内置的可视化功能因其与数据结…...
Oracle实用参考(13)——Oracle for Linux物理DG环境搭建(2)
13.2. Oracle for Linux物理DG环境搭建 Oracle 数据库的DataGuard技术方案,业界也称为DG,其在数据库高可用、容灾及负载分离等方面,都有着非常广泛的应用,对此,前面相关章节已做过较为详尽的讲解,此处不再赘述。 需要说明的是, DG方案又分为物理DG和逻辑DG,两者的搭建…...
