10-链表练习-LeetCode82删除排序链表中的重复元素II
题目
给定一个已排序的链表的头 head , 删除原始链表中所有重复数字的节点,只留下不同的数字 。返回已排序的链表 。
示例 1:

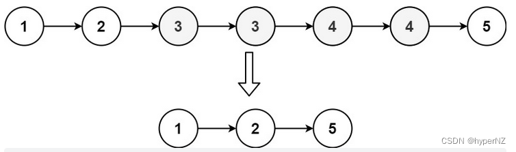
输入:head = [1,2,3,3,4,4,5]
输出:[1,2,5]
示例 2:

输入:head = [1,1,1,2,3]
输出:[2,3]
提示:
链表中节点数目在范围 [0, 300] 内
-100 <= Node.val <= 100
题目数据保证链表已经按升序排列
思路
上一题:重复节点只保留一个,向后多看一个节点。
本题:重复节点一个都不留,向后多看多个节点。
- 当前情况不能用prev和cur来判断重复节点,此时prev引用一定指向不重复的节点,需要再引入一个next引用。(向后多走几步)
- 当链表中只有一个节点(next == null),不可能出现重复元素。
- 当cur.val != next.val时,说明cur不是重复节点,三个引用都向后移动一个单位。
- 当cur.val == next.val时,让next继续向后走,直到next指向与cur.val不相等的节点。此时prev到next之间全是需要删除的元素:prev.next = next; 当且仅当cur.val != next.val才能移动prev指针!此时cur指向next,next指向cur.next。
上面3种情况分别对应下面3副图:



代码
/*** Definition for singly-linked list.* public class ListNode {* int val;* ListNode next;* ListNode() {}* ListNode(int val) { this.val = val; }* ListNode(int val, ListNode next) { this.val = val; this.next = next; }* }*/
class Solution {public ListNode deleteDuplicates(ListNode head) {ListNode dummyHead = new ListNode(101);dummyHead.next = head;ListNode prev = dummyHead;ListNode cur = prev.next;while(cur != null) {ListNode next = cur.next;if(next == null) {//此时链表中只有一个元素,不可能出现重复元素return dummyHead.next;} else if(cur.val != next.val) {//此时cur不是重复节点,三个指针都向后移动一个单位prev = prev.next;cur = cur.next;} else {//此时cur.val == next.val,让next指针一直向后移动,直到与cur.val不相等的节点位置为止while(next != null && cur.val == next.val) {next = next.next;}//此时next指向了第一个不重复的元素,prev到next之间所有元素全部删除prev.next = next;cur = next;}}return dummyHead.next;}
}
相关文章:
10-链表练习-LeetCode82删除排序链表中的重复元素II
题目 给定一个已排序的链表的头 head , 删除原始链表中所有重复数字的节点,只留下不同的数字 。返回已排序的链表 。 示例 1: 输入:head [1,2,3,3,4,4,5] 输出:[1,2,5] 示例 2: 输入:head …...
贯穿设计模式第五话--接口隔离原则
🥳🥳🥳 茫茫人海千千万万,感谢这一刻你看到了我的文章,感谢观赏,大家好呀,我是最爱吃鱼罐头,大家可以叫鱼罐头呦~🥳🥳🥳 从今天开始,将…...
C语言计算机二级/C语言期末考试 刷题(四)
在空闲时间整理了一些C语言计算机二级和C语言期末考试题库 整理不易,大家点赞收藏支持一下 祝大家计算机二级和期末考试都高分过 系列文章: C语言计算机二级/C语言期末考试 刷题(一) C语言计算机二级/C语言期末考试 刷题&#x…...
JDK8中Stream接口的常用方法
参考答案 Stream 接口中的方法分为中间操作和终端操作,具体如下。 中间操作: filter:过滤元素map:映射,将元素转换成其他形式或提取信息flatMap:扁平化流映射limit:截断流,使其元…...
ThingsBoard源码解析-数据订阅与规则链数据处理
前言 结合本篇对规则链的执行过程进行探讨 根据之前对MQTT源码的学习,我们由消息的处理入手 //org.thingsboard.server.transport.mqtt.MqttTransportHandlervoid processRegularSessionMsg(ChannelHandlerContext ctx, MqttMessage msg) {switch (msg.fixedHeade…...
探究Transformer模型中不同的池化技术
❤️觉得内容不错的话,欢迎点赞收藏加关注😊😊😊,后续会继续输入更多优质内容❤️👉有问题欢迎大家加关注私戳或者评论(包括但不限于NLP算法相关,linux学习相关,读研读博…...
Android 9.0 设置讯飞语音引擎为默认tts语音播报引擎
1.前言 在9.0的系统rom定制化开发中,在产品开发中,一些内置的app需要用到tts语音播报功能,所以需要用到讯飞语音引擎作为默认的系统tts语音引擎功能,所以就需要 了解系统关于tts语音引擎默认的设置方法,然后在设置讯飞语音引擎为默认的tts语音引擎来实现tts语音播报功能的…...
直流无刷电机驱动的PWM频率
以下来源:Understanding the effect of PWM when controlling a brushless dc motorhttps://www.controleng.com/articles/understanding-the-effect-of-pwm-when-controlling-a-brushless-dc-motor/ Brushless dc motors have an electrical time constant τ of a…...
机房动环监控4大价值,轻松解决学校解决问题
不管是政府机构、学校、企业还是医院均有配备机房。机房一般配备服务器、计算机、存储设备、机柜组、UPS、精密空调等关键设备。 传统的机房在事故发生时,无法及时发现并处理,影响范围大,造成严重的损失。因此,一套智慧机房动环监…...
用于平抑可再生能源功率波动的储能电站建模及评价(Matlab代码实现)
💥💥💞💞欢迎来到本博客❤️❤️💥💥 🏆博主优势:🌞🌞🌞博客内容尽量做到思维缜密,逻辑清晰,为了方便读者。 ⛳️座右铭&a…...
Burpsuite详细教程
Burpsuite是一种功能强大的Web应用程序安全测试工具。它提供了许多有用的功能和工具,可以帮助用户分析和评估Web应用程序的安全性。在本教程中,我们将介绍如何安装、配置和使用Burpsuite,并提供一些常用的命令。 第一步:安装Burp…...
目标检测:FP(误检)和FN(漏检)统计
1. 介绍 目标检测,检测结果分为三类:TP(正确检测),FP(误检),FN(漏检), 尤其是针对复杂场景或者小目标检测场景中,会存在一些FP(误检),FN(漏检)。 如何对检测的效果进行可视化,以帮助我们改进模型,提高模型recall值。 步骤 (1): 数据需要准备为yolo格式(2) 训练数据获得…...
【MySQL专题】04、性能优化之读写分离(MyCat)
1、MyCat概述 从定义和分类来看,它是一个开源的分布式数据库系统,是一个实现了MySQL协议的Server,前端用户可以把它看做是一个数据库代理,用MySQL客户端工具和命令行访问,而其后端可以用MySQL原生(Native&…...
信息系统项目管理师第四版知识摘编:第5章 信息系统工程
第5章 信息系统工程信息系统工程是用系统工程的原理、方法来指导信息系统建设与管理的一门工程技术学科,它是信息科学、管理科学、系统科学、计算机科学与通信技术相结合的综合性、交叉性、具有独特风格的应用学科。5.1软件工程软件工程是指应用计算机科学、数学及管…...
【2023春招】西山居游戏研发岗笔试AK
120min,一共三道算法、两道填空、10道不定项选择 算法题部分 T1-二叉树后序遍历 题面 一个节点数据为整数的二叉搜索树,它的遍历结果可以在内存中用一个整数数组来表示。比如,以下二叉树,它每个节点的左子节点都比自己小,右子节点都比自己大,对它进行后序遍历,结果可以…...
什么是分布式,分布式和集群的区别又是什么?
1. 什么是分布式 ? 分布式系统一定是由多个节点组成的系统。 其中,节点指的是计算机服务器,而且这些节点一般不是孤立的,而是互通的。 这些连通的节点上部署了我们的节点,并且相互的操作会有协同。 分布式系统对于用户而言&a…...
Cellchat和Cellphonedb细胞互作一些问题的解决(error和可视化)
今日的内容主要解决两个问题,一个是cellchat的代码报错问题,因为已经有很多人提出这个问题了。第二个是Cellphonedb结果的可视化,这里提供一种免费的很实用的快捷可视化方法。其实这些问题只要自己思考都是能明白的。 Cellchat和cellphonedb细…...
大文件分片上传的实现【前后台完整版】
在一般的产品开发过程中,大家多少会遇到上传视频功能的需求,往往我们采用的都是对视频大小进行限制等方法,来防止上传请求超时,导致上传失败。这时候可能将视频分片上传可以对你的项目有一个小小的体验优化。 本片文章前端是vue&…...
Java序列化面试总结
Java序列化与反序列化是什么? Java序列化是指把Java对象转换为字节流的过程,而Java反序列化是指把字节流恢复为Java对象的过程。 序列化: 序列化是把对象转换成有序字节流,以便在网络上传输或者保存在本地文件中。核心作用是对象…...
fs的常用方法
以下是fs模块的一些常用方法: 1. 读取文件内容 使用fs.readFile()方法读取文件内容。该方法接收两个参数:文件路径和回调函数。回调函数的参数包括错误信息和文件内容。 javascript const fs require(fs); fs.readFile(/path/to/file, (err, data)…...
从零到一:STM32F407 HAL库定时器中断精准点亮LED(CubeMX实战)
1. 开发环境搭建与硬件准备 第一次接触STM32开发的朋友可能会被各种专业术语吓到,但其实只要跟着步骤来,配置开发环境就像搭积木一样简单。我手头用的是正点原子探索者V3开发板,主控芯片是STM32F407ZGT6,这块板子对新手特别友好&a…...
从标准到实战:网络变压器在POE应用中的AF/AT/BF/BT详解与电路设计指南
1. 网络变压器在POE系统中的核心作用 第一次接触POE供电系统时,我对着电路板上那个带铁壳的方形元件研究了半天——这就是网络变压器。它看起来平平无奇,却是整个POE系统的"心脏"。简单来说,网络变压器在POE系统中要同时干两件事&a…...
终极bilibili视频解析指南:三步实现免费高效下载方案
终极bilibili视频解析指南:三步实现免费高效下载方案 【免费下载链接】bilibili-parse bilibili Video API 项目地址: https://gitcode.com/gh_mirrors/bi/bilibili-parse bilibili视频解析工具bilibili-parse为技术爱好者和普通用户提供了一套完整的视频资源…...
ComfyUI-Easy-Use:如何高效管理GPU资源并优化深度学习推理性能
ComfyUI-Easy-Use:如何高效管理GPU资源并优化深度学习推理性能 【免费下载链接】ComfyUI-Easy-Use In order to make it easier to use the ComfyUI, I have made some optimizations and integrations to some commonly used nodes. 项目地址: https://gitcode.c…...
AHT20温湿度传感器在STM32上的应用:从数据采集到OLED显示
AHT20温湿度传感器在STM32上的实战应用:从数据采集到OLED可视化 在物联网和智能硬件开发中,环境数据的实时监测与可视化是基础却关键的一环。AHT20作为新一代数字温湿度传感器,以其高精度、低功耗和I2C接口的便捷性,成为STM32开发…...
从零部署Jetson Xavier NX:Ubuntu 20.04系统烧录、CUDA环境配置与深度学习框架实战指南
1. 开箱与硬件准备 第一次拿到Jetson Xavier NX开发板时,我差点被它小巧的尺寸骗了——这个巴掌大的板子居然藏着384个CUDA核心和48个Tensor核心。我入手的是带128GB SSD的EMMC版本,实测下来这套配置跑YOLOv5这类中等规模的模型完全够用。开箱清单里除了…...
手把手调试:如何用Windbg或Linux下工具查看并修改PCIe设备的BAR寄存器?
实战指南:Windows与Linux下PCIe设备BAR寄存器调试全流程 当一块PCIe网卡突然无法被系统识别,或者GPU设备在资源分配时发生冲突,作为驱动工程师的你该如何快速定位问题?本文将带你深入PCIe设备的底层世界,从BDF寻址到B…...
浮点数精度问题实战:如何用eps避免3.8的小数部分变成0.799999?
浮点数精度陷阱:从3.8的0.799999现象到工业级误差控制方案 当你在金融交易系统中发现0.01元的差额,或在游戏物理引擎中看到角色卡进墙壁,背后可能都是浮点数精度问题在作祟。最近团队在开发高频交易系统时,一个简单的价格计算3.8…...
TradingAgents-CN终极教程:10分钟搭建你的AI股票投资分析系统
TradingAgents-CN终极教程:10分钟搭建你的AI股票投资分析系统 【免费下载链接】TradingAgents-CN 基于多智能体LLM的中文金融交易框架 - TradingAgents中文增强版 项目地址: https://gitcode.com/GitHub_Trending/tr/TradingAgents-CN 还在为复杂的金融量化系…...
ROS2 Humble中rosbridge_server配置详解:从安装、启动到自定义端口的完整流程
ROS2 Humble中rosbridge_server深度配置指南:从基础部署到高级定制 在机器人操作系统(ROS)的生态中,rosbridge_server扮演着至关重要的桥梁角色,特别是在ROS2 Humble版本中。这个轻量级的中间件允许非ROS环境(如Web应用、移动App…...
