Lora:Low-Rank Adapation of Large Language models
Lora:Low-Rank Adapation of Large Language models
- Introduction
- Method
- Experiment
- 代码
Introduction
这篇论文最初与21.06上传与arXiv,作者指出在当时,NLP的一个重要范式是先训练一个通用领域的模型然后在通过微调适应不同的领域与数据,但是对于当时的大模型来说,是十分昂贵的,于是作者提出了一个叫Low-Rank- Adaptation的方法,也叫Lora,它冻结了Pre-Train model ,然后在Transformer的每一层注入了可训练的 rank decomposition matrices,作者指出与 用了Adam的GPT-3相比,需要更新的参数量少了10000倍,显存少了三倍,性能也有略微提升。
作者假设在微调时,Pre-train model的权重矩阵在过度更新参数时,它的权重矩阵的秩是很低的,于是作者的想法就是把 一些Dense layer的权重替换成低秩分解矩阵,然后作者发现效果也不错。

Lora主要有这些优势:
- 一个Pre-train model可以用来为不同的任务建立许多小的LoRA模块,可以冻结共享模型,并通过替换图1中的矩阵A和B来有效地切换任务,从而大大减少存储需求和任务切换的开销。
- Lora 更高效并且降低了硬件门槛。
- 在推理时,可以把图一中两种颜色的矩阵合并,与完全finetune的速度没有差别。
- LoRA与许多先前的方法是不相关的,并且可以与许多方法相结合。
作者又介绍了一些符号的定义:(这里我直接词典翻译)
术语和惯例 我们经常提到Transformer架构,并对其维度使用常规术语。我们把Transformer层的输入和输出维度大小称为model。我们用Wq、Wk、Wv和Wn来指代self-attention模块中的查询/键/值/输出投影矩阵。W或W0指的是预训练的权重矩阵,∆W指的是适应过程中的累积梯度更新。我们用r来表示一个LoRA模块的秩。我们遵循(Vaswani等人,2017;Brown等人,2020)规定的惯例,使用Adam(Loshchilov & Hutter,2019;Kingma & Ba,2017)进行模型优化,并使用Transformer MLP前馈维度dfn=4×dmodel。
Method
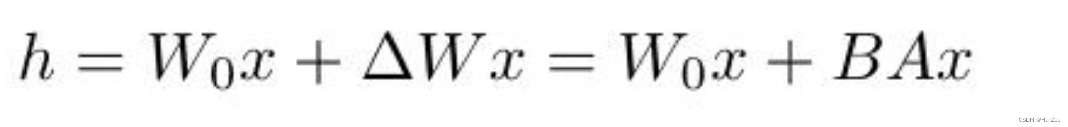
一个神经网络包含许多dense layers,它们通常都是满秩的,但是通过下游任务微调后,这些权重矩阵通常是低秩的,但是他们仍然可以有效学习。作者收到启发,假设Pre-Train model 的权重矩阵为 w0:

冻结它,引入新的底秩分解矩阵 :

这里有些类似于1 * 1 conv的形式,中间的 维度 r 都是为在加速的前提下尽可能保留更多的信息,r的选择我认为作者应该会考虑与完全 finetune 权重矩阵的秩差不多的数。其中 W0 与 BA (其中BA与图1对应)与相同的Input 做矩阵乘法,然后二者在求和。
公式如下:

其中A通过正态分布 初始化,B则全0,所以BA也是全0矩阵。
这个额外的矩阵是支持热‘插拔的’,是指我可以在不同的下游任务应用不同的矩阵,比如我想做词性标注,我只需要原始的Pre-train model 加上在词性标注数据上finetune 的 BA就可以了,并且速度不受影响。
Experiment

代码
from peft import get_peft_model, LoraConfig, TaskTypepeft_config = LoraConfig(task_type=TaskType.CAUSAL_LM, inference_mode=False, r=8, lora_alpha=32, lora_dropout=0.1,target_modules=['query_key_value']
)model = "加载的模型"
model = get_peft_model(model, peft_config)
# 打印参数情况
model.print_trainable_parameters()
接下来和正常训练模型一样
相关文章:
Lora:Low-Rank Adapation of Large Language models
Lora:Low-Rank Adapation of Large Language modelsIntroductionMethodExperiment代码Introduction 这篇论文最初与21.06上传与arXiv,作者指出在当时,NLP的一个重要范式是先训练一个通用领域的模型然后在通过微调适应不同的领域与数据&#…...
洛谷-P8466 [Aya Round 1 A] 幻想乡扑克游戏
题目:P8466 [Aya Round 1 A] 幻想乡扑克游戏 题目描述: 题目描述 斗地主是一种使用 �A 到 �K 加上大小王的共 5454 张扑克牌来进行的游戏,其中大小王各一张,其它数码牌各四张。在斗地主中,牌的…...
HBase性能优化方法总结
1. 表的设计 1.1 Pre-Creating Regions 默认情况下,在创建HBase表的时候会自动创建一个region分区,当导入数据的时候,所有的HBase客户端都向这一个region写数据,直到这个region足够大了才进行切分。一种可以加快批量写入速度的方…...
Linux基础内容(16)—— 文件系统
Linux基础内容(15)—— 缓冲区https://blog.csdn.net/m0_63488627/article/details/129824563?spm1001.2014.3001.5501 目录 1.基础知识 2.磁盘的存储原理 1.物理结构 2.存储结构 3.逻辑结构 1.基础知识 之前介绍的全是进程打开的文件是如何执行…...
Vue自定义事件
自定义事件 通以上代码不难发现,数据项在Vue的实例中, 但删除操作要在组件中完成, 那么组件如何才能删除Vue实例中的数据呢?此时就涉及到参数传递与事件分发了, Vue为我们提供了自定义事件的功能很好的帮助我们解决了这个问题…...
Java SE 基础 (6) 第一个Java程序
开发环境已经搭建完毕,可以开发我们第一个Java程序了。 Java程序开发三步骤:编写、编译、运行。 编写Java源程序 public class HelloWord {public static void main(String[] args) {System.out.println("HelloWord!");} } 第一个 HelloWo…...
P1004 [NOIP2000 提高组] 方格取数
题目描述 设有 ��NN 的方格图 (�≤9)(N≤9),我们将其中的某些方格中填入正整数,而其他的方格中则放入数字 00。如下图所示(见样例): 0 0 0 0 0 0 0 0 0 0 13 0 0 6 0 0 0 0 0…...
Leetcode.1024 视频拼接
题目链接 Leetcode.1024 视频拼接 Rating : 1746 题目描述 你将会获得一系列视频片段,这些片段来自于一项持续时长为 time秒的体育赛事。这些片段可能有所重叠,也可能长度不一。 使用数组 clips描述所有的视频片段,其中 clips[i…...
20个华为路由器常用的Python脚本,网工写自动化脚本时候可以参考!
你好,这里是网络技术联盟站。 昨天给大家介绍了10个华为交换机的Python脚本: 10个华为华为交换机常用的Python脚本,网络工程师收藏! 大家反响不错,后期我会陆续出一下思科、H3C、锐捷等厂商的脚本,前期会…...
【kubernetes云原生】k8s资源管理命令与Namespace使用详解
目录 一、前言 二、k8s概述 三、k8s常用操作管理命令 3.1 kubectl 命令用法 3.2 常用控制台管理命令演示 3.2.1 获取全部节点信息 3.2.2 获取当前集群下全部pod 3.2.3 查看某个pod信息 3.2.4 获取当前集群下的所有namespace信息 3.2.5 查看当前集群下已创建的资源 3…...
String源码深度刨析
前言 我们将从源码角度深度分析特点,来提升对他们的了解以及设计。 String、StringBuilder、StringBuffer的常见面试题及四大区别可以参考:String、StringBuilder、StringBuffer的四大区别解析 String public final class Stringimplements java.io.Se…...
FreeRTOS - 消息队列
一.消息队列的概念及应用消息队列(queue):可以在任务与任务间、中断和任务间传递消息,实现任务接收来自其他任务或中断的不固定的消息1.1任务需求1、使用消息队列检测串口输入2、通过串口发送字符串openled1,openled2&…...
怎样正确做 Web 应用的压力测试?
环境 首先环境是非常重要的,需要尽可能跟生产环境靠近。 比方说,使用同样的nginx版本,php的话需要启用fpm,zend-optimizer等等,参数配置也最好跟生产环境保持一致。 当然,php的版本更加需要保持一致&#x…...
php mysql大学生求职招聘资源信息网zkfdzkf67a8
1.系统登录:系统登录是用户访问系统的路口,设计了系统登录界面,包括用户名、密码和验证码,然后对登录进来的用户判断身份信息,判断是管理员用户还是普通用户。 2.系统用户管理:不管是…...
2023上海市“星光计划”职业院校技能大赛 网络安全竞赛试题任务书
2023上海市“星光计划”职业院校技能大赛 网络安全竞赛试题任务书 A模块基础设施设置/安全加固(200分) 一、项目和任务描述: 假定你是某企业的网络安全工程师,对于企业的服务器系统,根据任务要求确保各服务正常运行&…...
Spring事务源码:创建代理类
参考文章: 《Spring事务源码解析之tx:annotation-driven标签解析》 《Spring 源码解析—事务执行》 参考资料: 《Spring AOP源码:开启注解读取》 《Spring AOP源码2:查找增强器》 《Spring AOP源码3:实现代理》 …...
java14 使用增强的模式匹配切换表达式
野旷天低树,江清月近人。——唐代杜甫《月夜忆舍弟》 使用增强的模式匹配切换表达式(Switch Expressions with Enhanced Pattern Matching) Java 14中引入的“Switch Expressions with Enhanced Pattern Matching”这个功能。 这个功能可以让我们在使用switch cas…...
python【正则表达式】
正则表达式 1.正则的作用 正则表达式式一种可以让复杂的字符串变得简单的工具。 写正则表达式的时候就是用正则符号来描述字符串规则。 2.正则语法 需要导入模块 from re import fullmatch, findall, search2.1.第一类:匹配类符号 1)普通字符—在…...
Ubuntu常见系统问题解决方式
Ubuntu常见系统问题解决方式Ubuntu每次开机后提示检测到系统程序出现问题的解决方法Ubuntu循环登陆问题问题描述原因解决方法文件夹打开缓慢Ubuntu启动后GUI界面卡住不动Ubuntu18.04使用过程中常遇到的问题Ubuntu每次开机后提示检测到系统程序出现问题的解决方法 首先…...
C/C++中的虚拟内存
文章目录一、虚拟内存二、C中的虚拟内存分配模型三、C中的虚拟内存分配模型四、堆区和栈区的区别一、虚拟内存 虚拟内存是一种实现在计算机软硬件之间的内存管理技术,它将程序使用到的内存地址(虚拟地址)映射到计算机内存中的物理地址&#…...
ubuntu搭建nfs服务centos挂载访问
在Ubuntu上设置NFS服务器 在Ubuntu上,你可以使用apt包管理器来安装NFS服务器。打开终端并运行: sudo apt update sudo apt install nfs-kernel-server创建共享目录 创建一个目录用于共享,例如/shared: sudo mkdir /shared sud…...
Java如何权衡是使用无序的数组还是有序的数组
在 Java 中,选择有序数组还是无序数组取决于具体场景的性能需求与操作特点。以下是关键权衡因素及决策指南: ⚖️ 核心权衡维度 维度有序数组无序数组查询性能二分查找 O(log n) ✅线性扫描 O(n) ❌插入/删除需移位维护顺序 O(n) ❌直接操作尾部 O(1) ✅内存开销与无序数组相…...
服务器硬防的应用场景都有哪些?
服务器硬防是指一种通过硬件设备层面的安全措施来防御服务器系统受到网络攻击的方式,避免服务器受到各种恶意攻击和网络威胁,那么,服务器硬防通常都会应用在哪些场景当中呢? 硬防服务器中一般会配备入侵检测系统和预防系统&#x…...
Keil 中设置 STM32 Flash 和 RAM 地址详解
文章目录 Keil 中设置 STM32 Flash 和 RAM 地址详解一、Flash 和 RAM 配置界面(Target 选项卡)1. IROM1(用于配置 Flash)2. IRAM1(用于配置 RAM)二、链接器设置界面(Linker 选项卡)1. 勾选“Use Memory Layout from Target Dialog”2. 查看链接器参数(如果没有勾选上面…...
GC1808高性能24位立体声音频ADC芯片解析
1. 芯片概述 GC1808是一款24位立体声音频模数转换器(ADC),支持8kHz~96kHz采样率,集成Δ-Σ调制器、数字抗混叠滤波器和高通滤波器,适用于高保真音频采集场景。 2. 核心特性 高精度:24位分辨率,…...
laravel8+vue3.0+element-plus搭建方法
创建 laravel8 项目 composer create-project --prefer-dist laravel/laravel laravel8 8.* 安装 laravel/ui composer require laravel/ui 修改 package.json 文件 "devDependencies": {"vue/compiler-sfc": "^3.0.7","axios": …...
在Mathematica中实现Newton-Raphson迭代的收敛时间算法(一般三次多项式)
考察一般的三次多项式,以r为参数: p[z_, r_] : z^3 (r - 1) z - r; roots[r_] : z /. Solve[p[z, r] 0, z]; 此多项式的根为: 尽管看起来这个多项式是特殊的,其实一般的三次多项式都是可以通过线性变换化为这个形式…...
基于PHP的连锁酒店管理系统
有需要请加文章底部Q哦 可远程调试 基于PHP的连锁酒店管理系统 一 介绍 连锁酒店管理系统基于原生PHP开发,数据库mysql,前端bootstrap。系统角色分为用户和管理员。 技术栈 phpmysqlbootstrapphpstudyvscode 二 功能 用户 1 注册/登录/注销 2 个人中…...
通过MicroSip配置自己的freeswitch服务器进行调试记录
之前用docker安装的freeswitch的,启动是正常的, 但用下面的Microsip连接不上 主要原因有可能一下几个 1、通过下面命令可以看 [rootlocalhost default]# docker exec -it freeswitch fs_cli -x "sofia status profile internal"Name …...
十九、【用户管理与权限 - 篇一】后端基础:用户列表与角色模型的初步构建
【用户管理与权限 - 篇一】后端基础:用户列表与角色模型的初步构建 前言准备工作第一部分:回顾 Django 内置的 `User` 模型第二部分:设计并创建 `Role` 和 `UserProfile` 模型第三部分:创建 Serializers第四部分:创建 ViewSets第五部分:注册 API 路由第六部分:后端初步测…...
