特征工程-特征预处理
1.7 特征工程-特征预处理
学习目标
- 目标
- 了解什么是特征预处理
- 知道归一化和标准化的原理及区别
1 什么是特征预处理
1.1 特征预处理定义
scikit-learn的解释
provides several common utility functions and transformer classes to change raw feature vectors into a representation that is more suitable for the downstream estimators.
翻译过来:通过一些转换函数将特征数据转换成更加适合算法模型的特征数据过程

为什么我们要进行归一化/标准化?
- 特征的单位或者大小相差较大,或者某特征的方差相比其他的特征要大出几个数量级,容易影响(支配)目标结果,使得一些算法无法学习到其它的特征
举例:约会对象数据

我们需要用到一些方法进行无量纲化,使不同规格的数据转换到同一规格
1.2 包含内容(数值型数据的无量纲化)
- 归一化
- 标准化
1.3 特征预处理API
¨NBSP;
2 归一化
2.1 定义
通过对原始数据进行变换把数据映射到(默认为[0,1])之间
2.2 公式

作用于每一列,max为一列的最大值,min为一列的最小值,那么X’’为最终结果,mx,mi分别为指定区间值默认mx为1,mi为0
那么怎么理解这个过程呢?我们通过一个例子

2.3 API
- sklearn.preprocessing.MinMaxScaler (feature_range=(0,1)… )
- MinMaxScalar.fit_transform(X)
- X:numpy array格式的数据[n_samples,n_features]
- 返回值:转换后的形状相同的array
- MinMaxScalar.fit_transform(X)
2.4 数据计算
我们对以下数据进行运算,在dating.txt中。保存的就是之前的约会对象数据
- 分析
1、实例化MinMaxScalar
2、通过fit_transform转换
返回结果:
问题:如果数据中异常点较多,会有什么影响?

2.5 归一化总结
注意最大值最小值是变化的,另外,最大值与最小值非常容易受异常点影响,所以这种方法鲁棒性较差,只适合传统精确小数据场景。
怎么办?
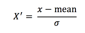
3 标准化
3.1 定义
通过对原始数据进行变换把数据变换到均值为0,标准差为1范围内
3.2 公式

作用于每一列,mean为平均值,σ为标准差
所以回到刚才异常点的地方,我们再来看看标准化

- 对于归一化来说:如果出现异常点,影响了最大值和最小值,那么结果显然会发生改变
- 对于标准化来说:如果出现异常点,由于具有一定数据量,少量的异常点对于平均值的影响并不大,从而方差改变较小。
3.3 API
- sklearn.preprocessing.StandardScaler( )
- 处理之后每列来说所有数据都聚集在均值0附近标准差差为1
- StandardScaler.fit_transform(X)
- X:numpy array格式的数据[n_samples,n_features]
- 返回值:转换后的形状相同的array
3.4 数据计算
同样对上面的数据进行处理
- 分析
1、实例化StandardScaler
2、通过fit_transform转换
返回结果:
3.5 标准化总结
在已有样本足够多的情况下比较稳定,适合现代嘈杂大数据场景。
4 总结
- 什么是特征工程【知道】
- 定义
- 通过一些转换函数将特征数据转换成更加适合算法模型的特征数据过程
- 定义
之间
- api:
- sklearn.preprocessing.MinMaxScaler (feature_range=(0,1)… )
- 参数:feature_range -- 自己指定范围,默认0-1
- 总结:
- 鲁棒性比较差(容易受到异常点的影响)
- 只适合传统精确小数据场景(以后不会用你了)
- 定义:
- 标准化【掌握】
- 定义:
- 对原始数据进行变换把数据变换到均值为0,标准差为1范围内
- api:
- sklearn.preprocessing.StandardScaler( )
- 总结:
- 异常值对我影响小
- 适合现代嘈杂大数据场景(以后就是用你了)
- 定义:
相关文章:
特征工程-特征预处理
1.7 特征工程-特征预处理 学习目标 目标 了解什么是特征预处理知道归一化和标准化的原理及区别 1 什么是特征预处理 1.1 特征预处理定义 scikit-learn的解释 provides several common utility functions and transformer classes to change raw feature vectors into a represe…...
代码随想录算法训练营day22
代码随想录算法训练营 —day22 文章目录 代码随想录算法训练营前言回溯算法理论基础回溯法解决的问题回溯法模板 一、77. 组合二、216. 组合总和 III三、17. 电话号码的字母组合总结 前言 今天是算法营的第22天,希望自己能够坚持下来! 今日任务&#x…...
2024秋语法分析作业-B(满分25分)
特别注意:第17条产生式改为 17) Stmt → while ( Cond ) Stmt 【问题描述】 本次作业只测试一个含简单变量声明、赋值语句、输出语句、if语句和while语句的文法: 0) CompUnit → Block 1) Block → { BlockItemList } 2) BlockItemList → BlockItem…...
Python爬虫入门(1)
在互联网时代,数据成为了最宝贵的资源之一。Python作为一种功能强大的编程语言,因其简洁的语法和丰富的库支持,成为了编写网络爬虫的首选。本文将带你入门Python爬虫技术,让你能够从互联网上自动获取数据。 什么是爬虫࿱…...
鸿蒙1.2:第一个应用
1、create Project,选择Empty Activity 2、配置项目 project name 为项目名称,建议使用驼峰型命名 Bundle name 为项目包名 Save location 为保存位置 Module name 为模块名称,即运行时需要选择的模块名称,见下图 查看模块名称&…...
2024年常用工具
作为本年度高频使用工具,手机端也好,桌面端也好,筛选出来9款产品,这里也分享给关注我的小伙伴 ,希望对你有些帮助,如果你更好的产品推荐,欢迎留言给我。 即刻 产品经理的聚集地,“让…...
【蓝桥杯】走迷宫
题目: 解题思路: 简单的广度优先算法(BFS) BFS 的特性 按层次遍历:BFS 按照节点的距离(边的数量)来逐层访问节点。保证最短路径:对于无权图(所有边权重相同࿰…...
【pyqt】(三)designer
designer ui设计 在学习后续的代码之前,我们可以先学习一下designer这款工具,在安装软件的时候我们有提到过,其具体位置在虚拟环境根目录下的\Lib\site-packages\PySide6文件夹中。对于新手而言,使用这种可视化的工具可以帮助我们…...
【Go学习】-01-3-函数 结构体 接口 IO
【Go学习】-01-3-函数 结构体 接口 IO 1 函数1.1 函数概述1.1.1 函数做为参数1.1.2 函数返回值 1.2 参数1.3 匿名函数1.4 闭包1.5 延迟调用1.6 异常处理 2 结构体2.1 实例化2.2 匿名结构体2.3 匿名字段 3 类方法3.1 接收器3.2 类方法练习:二维矢量模拟玩家移动3.3 给…...
昆仑万维大数据面试题及参考答案
请介绍一下 Flume 组件。 Flume 是一个分布式、可靠、高可用的海量日志采集、聚合和传输的系统。 从架构层面来看,它主要包含以下几个关键部分。首先是 Source,它是数据的收集端,能够接收多种不同来源的数据。比如,它可以从各种服务器的日志文件中读取数据,像 Web 服务器产…...
20250103在Ubuntu20.04.5的Android Studio 2024.2.1.12中跑通Hello World
20250103在Ubuntu20.04.5的Android Studio 2024.2.1.12中跑通Hello World 2025/1/3 14:06 百度:android studio helloworld android studio hello world kotlin helloword kotlin 串口 no run configurations added android studio no run configurations added 1、…...
Hack The Box-Starting Point系列Three
答案 How many TCP ports are open?(靶机开了几个TCP端口) 2What is the domain of the email address provided in the “Contact” section of the website?(网站的“CONTACT”部分提供的电子邮件地址的域是什么?)…...
【Python其他生成随机字符串的方法】
在Python中,除了之前提到的方法外,确实还存在其他几种生成随机字符串的途径。以下是对这些方法的详细归纳: 方法一:使用random.randint结合ASCII码生成 你可以利用random.randint函数生成指定范围内的随机整数,这些整…...
redis7基础篇2 redis的主从模式1
目录 一 主从模式 1.1 主从复制的作用 1.2 配置常用命令 1.3 主从复制常见问题 1.4 主从复制的缺点 1.5 redis主从复制原理 二 redis主从复制的搭建流程 2.1 注意事项 2.2 redis的主从复制架构图 2.3 以6379.conf配置文件配置为例 2.4 以6380.conf配置文件配置为例 …...
Springboot - Web
Spring Boot 是一个用于简化 Spring 应用程序配置和部署的框架。它提供了一种快速开发的方式,通过默认配置、自动化配置等特性,使得开发者能够更快捷地构建和部署基于 Spring 的应用。 Spring Boot Web 是 Spring Boot 的一个子模块,它专注于…...
【C】动态内存管理
所谓动态内存管理,就是使得内存可以动态开辟,想使用的时候就开辟空间,使用完之后可以销毁,将内存的使用权还给操作系统,那么动态开辟内存有什么用呢? 假设有这么一种情况,你在一家公司中工作&am…...
lec5-传输层原理与技术
lec5-传输层原理与技术 1. 传输层概述 1.1. 关键职责 flow control,流量控制reliability,可靠性 1.2. TCP与UDP对比 面向连接 / 不能连接对数据校验 / 不校验数据丢失重传 / 不会重传有确认机制 / 没有确认滑动窗口流量控制 / 不会流量控制 1.3. 关…...
【C语言】_指针运算
目录 1. 指针-整数 2. 指针-指针 2.1 指针-指针含义 2.2 指针-指针运算应用:实现my_strlen函数 3. 指针的关系运算(大小比较) 1. 指针-整数 联系关于指针变量类型关于指针类型和指针-整数相关知识: 原文链接如下࿱…...
“AI智慧教学系统:开启个性化教育新时代
大家好,我是老王,一个在产品圈摸爬滚打多年的资深产品经理。今天,我想和大家聊聊一个最近特别火的概念——AI智慧教学系统。这东西听起来好像很高大上,但其实和我们每个人都息息相关,因为它关系到我们下一代的教育。 一…...
商用车自动驾驶,迎来大规模量产「临界点」?
商用车自动驾驶,正迎来新的行业拐点。 今年初,交通部公开发布AEB系统运营车辆标配征求意见稿,首次将法规限制条件全面放开,有望推动商用车AEB全面标配,为开放场景的商用车智能驾驶市场加了一把火。 另外,…...
别再手动下载了!教你用Python+Schedule库打造个人YouTube视频自动下载工具
Python自动化神器:用Schedule库打造智能视频下载系统 每次手动下载YouTube视频不仅耗时耗力,还容易错过更新。作为Python开发者,我们完全可以用代码解放双手,打造一个全自动的视频下载系统。今天要分享的这套方案,结合…...
HsMod终极指南:5步打造你的专属炉石传说模改体验
HsMod终极指南:5步打造你的专属炉石传说模改体验 【免费下载链接】HsMod Hearthstone Modify Based on BepInEx 项目地址: https://gitcode.com/GitHub_Trending/hs/HsMod HsMod是一款基于BepInEx框架的炉石传说模改插件,为玩家提供全面的游戏体验…...
一文读懂:控制界的万能公式——PID算法到底是什么?
一文读懂:控制界的万能公式——PID算法到底是什么? 对于每一位踏入工科大门的学生或是初入职场的工程师来说,在自动控制、机器人、电子工程等领域,有一个名字几乎如影随形——PID算法。从天上飞的四轴无人机,到地上跑的平衡小车;从化工厂里庞大的反应釜,到你家中安静运转…...
FileConverter:重构文件格式转换流程,实现设计师与教育工作者的效率突破
FileConverter:重构文件格式转换流程,实现设计师与教育工作者的效率突破 【免费下载链接】FileConverter File Converter is a very simple tool which allows you to convert and compress files using the context menu in windows explorer. 项目地…...
Axelspace 太空公司牵头联合体入选日本太空战略基金项目 “提升下一代地球观测卫星能力技术”
—— 通过卫星星座与航空器开展特定排放源二氧化碳排放与吸收监测,打造气候解决方案,开拓全新市场机遇 Axelspace 太空公司、明星电气株式会社、全日空控股株式会社及 JIJ 株式会社联合宣布,各方共同申报的技术研发项目成功入选日本宇宙航空…...
UnityLockstep:构建零延迟多人游戏的终极同步框架
UnityLockstep:构建零延迟多人游戏的终极同步框架 【免费下载链接】UnityLockstep Deterministic Lockstep with clientside prediction and rollback 项目地址: https://gitcode.com/gh_mirrors/un/UnityLockstep 在多人游戏开发中,你是否曾为网…...
告别AI对话失忆症:深入LangChain4j的ChatMemoryProvider与InMemoryChatMemoryStore
深入LangChain4j记忆管理:构建高性能会话隔离系统的实践指南 在构建企业级AI对话系统时,会话记忆管理往往成为决定用户体验的关键因素。想象这样一个场景:当用户询问"我上周提到的项目进展如何?"时,系统能否…...
告别计算瓶颈:手把手教你用PyTorch实现ECCV 2024的FFCM图像去雨模块
突破计算效率边界:PyTorch实战ECCV 2024 FFCM图像去雨核心模块 雨滴干扰是计算机视觉领域长期存在的挑战,传统基于空间域的方法往往需要消耗大量计算资源。ECCV 2024提出的FFCM(Fused Fourier Convolution Mixer)模块通过巧妙融合…...
如何用Python免费下载B站4K大会员视频:bilibili-downloader完整指南
如何用Python免费下载B站4K大会员视频:bilibili-downloader完整指南 【免费下载链接】bilibili-downloader B站视频下载,支持下载大会员清晰度4K,持续更新中 项目地址: https://gitcode.com/gh_mirrors/bil/bilibili-downloader 还在为…...
ostringstream清空缓存的正确姿势:str()与clear()的深度解析
1. 为什么ostringstream清空缓存这么让人困惑? 第一次用ostringstream的时候,我也被它坑过。记得当时写了个日志记录功能,反复往同一个ostringstream对象里写入内容,结果发现每次输出的日志都越积越长。我本能地调用了clear()&…...
