【算法】反向传播算法
David Rumelhart 是人工智能领域的先驱之一,他与 James McClelland 等人在1986年通过其著作《Parallel Distributed Processing: Explorations in the Microstructure of Cognition》详细介绍了反向传播算法(Backpropagation),这一算法为多层神经网络的训练提供了有效的途径,是深度学习发展的重要里程碑之一。
反向传播算法的核心思想:
反向传播(Backpropagation)算法是基于梯度下降法的一种优化算法,用来训练多层感知器(MLP)等神经网络模型。它的主要思想是,通过逐层计算误差的梯度,并向网络的反方向传播这些误差,更新神经网络的权重,以最小化损失函数。
以下是反向传播算法的基本步骤及其对应的数学公式:
一、前向传播(Forward Propagation)
前向传播的目的是计算神经网络的输出。对于第 l 层的线性组合和激活值:
1. 线性组合:

这里,W(l) 是权重矩阵,a(l−1) 是第 l−1 层的激活值,b(l) 是偏置项。
2. 激活值:
然后通过激活函数 g,得到第 l 层的激活值:

二、 损失函数计算(Loss Function Calculation)
网络的输出和真实标签(目标值)之间的差异通过损失函数来度量。例如,对于回归问题常用均方误差(MSE),对于分类问题常用交叉熵损失(Cross Entropy)。假设损失函数为 L,我们的目标是最小化 L。
三、 反向传播(Backpropagation)
在反向传播阶段,我们通过链式法则计算损失函数对各层权重 W(l) 和偏置 b(l) 的梯度,即:

这些梯度表示每个权重和偏置对最终损失 L 的影响。它们通过链式法则逐层向前回传,详细步骤如下:
1. 损失相对于第 l 层输出的导数:

2. 损失相对于权重的导数:
前向传播中线性组合的公式,可以看到,z(l) 是由 W(l)和 a(l−1) 相乘得到的。因此,z(l) 对 W(l) 的导数为:

通过链式法则计算损失函数对权重 W(l) 的导数:

得到结果:

这里,a{(l-1)}T 是上一层的激活值的转置,目的是确保矩阵的维度正确。由于 W(l) 是一个矩阵,通常 a(l−1) 是一个列向量,因此 a{(l-1)}T 是一个行向量。
3. 损失相对于偏置的导数:
在线性组合公式中,偏置 b(l) 是直接加到每个神经元的线性组合 z(l) 中的。因此,z(l) 对 b(l) 的导数是 1:

通过链式法则,我们可以计算损失函数 L 对偏置 b(l) 的导数:

所以:

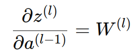
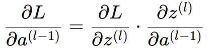
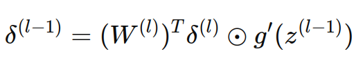
4. 损失相对于第 l−1层线性组合 z(l−1)的导数:
根据线性组合的公式,z(l) 对 a(l−1) 的导数是权重矩阵 W(l):

通过链式法则,损失函数对上一层激活值 a(l−1) 的导数可以表示为损失函数对当前层线性组合 z(l) 的导数乘以 z(l) 对 a(l−1) 的导数:

代入前面推导出的公式:

为了保持一致性,我们通常将 W(l) 转置,使得矩阵运算中的维度保持一致:

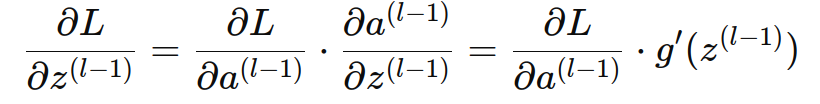
因为每一层的激活值 a(l−1) 是通过激活函数 g(z(l−1)) 得到的:

所以:

即:

⊙ 表示逐元素相乘(Hadamard 乘积),激活函数是逐元素应用到每个神经元输出的,而不是对整个向量进行操作。因此,第 l 层的每个神经元在反向传播时都会依赖于其对应的激活函数导数。
四、 权重和偏置更新(Weight and Bias Update)
使用梯度下降法,根据反向传播计算得到的梯度更新权重和偏置。
1. 权重更新公式:
对于第 l 层的权重 W(l),更新公式为:

其中:
- η 是学习率。
- ∂W(l)∂E=δ(l)(a(l−1))T 是损失函数对第 l 层权重的梯度。
2. 偏置更新公式:
类似地,第 l 层的偏置 b(l) 更新公式为:

五、 循环迭代
通过多次迭代(通常称为训练迭代(epochs)),重复进行前向传播、损失函数计算、反向传播以及权重和偏置的更新,直到网络收敛,即损失函数的值不再显著下降,或者达到了预设的迭代次数。
Rumelhart 对反向传播算法的贡献:
David Rumelhart 及其同事的主要贡献在于:
- 他们系统化地提出了反向传播算法,使得该算法可以有效应用于多层神经网络的训练,解决了之前单层感知器模型的局限性。
- 他们展示了如何通过反向传播算法训练深层网络,使得网络能够从数据中学习复杂的模式表示。这为后来的深度学习发展奠定了基础。
反向传播的意义与局限:
反向传播算法是现代深度学习的核心之一,它使得多层神经网络能够成功训练,解决了许多复杂的任务(如图像识别、语音识别等)。但是,它也有一些局限性,例如:
- 梯度消失问题(vanishing gradient):在深层神经网络中,反向传播的梯度逐渐减小,导致前几层权重更新非常缓慢。
- 训练时间长:当网络层数增加或数据集规模扩大时,训练时间可能会变得非常长。
尽管如此,反向传播算法依然是当今神经网络训练的基础,配合现代改进的优化方法(如Adam、RMSprop等)和技术(如Batch Normalization、Dropout等),反向传播已经极大地提升了神经网络的学习效率和表现。
相关文章:
【算法】反向传播算法
David Rumelhart 是人工智能领域的先驱之一,他与 James McClelland 等人在1986年通过其著作《Parallel Distributed Processing: Explorations in the Microstructure of Cognition》详细介绍了反向传播算法(Backpropagation),这一…...
外贸非洲市场要如何开发
刚不久前中非合作峰会论坛之后,取消了非洲33国的进口关税,中非贸易一直以来都还不错,这次应该会更上一个台阶。今天就来给大家分享一下,关于非洲市场的一些分析和开发方法。 一、非洲市场情况 非洲是一个广阔的大陆,由…...
python去除空格join()
sinput().split() print( .join(s)) input().split()的作用: split()是字符串对象的方法。当对一个字符串调用split()方法时,它会根据指定的分隔符将字符串分割成多个子字符串,并将这些子字符串以列表的形式返回。如果不指定分隔符…...
git push错误:Out of memory, malloc failed (tried toallocate 947912704 bytes)
目录 一、错误截图 二、解决办法 一、错误截图 因项目文件过大,http.postBuffer设置的内存不够,所以报错。 二、解决办法 打开cmd窗口,执行如下命令即可 git config --global http.postBuffer 1024000000 如图所示 执行完成以后&#…...
web平台搭建-LAMP(CentOS-7)
一. 准备工作 环境要求: 操作系统:CentOS 7.X 64位 网络配置:nmtui字符终端图形管理工具或者直接编辑配置文件 关闭SELinux和firewalld防火墙 防火墙: 临时关闭:systemctl stop firewalld 永久关闭:systemc…...
2024.9.21 Python与C++的面试八股文整理,类与对象,内存规划,默认函数,虚函数,封装继承多态
1.什么是类,什么是面向对象 (1)类是一种蓝图或者模板,用于定义对象的属性和行为,类通常包括:属性,也就是静态特征,方法,也就是动态特征。属性描述对象的特征,…...
2024 vue3入门教程:02 我的第一个vue页面
1.打开src下的App.vue,删除所有的默认代码 2.更换为自己写的代码, 变量msg:可以自定义为其他(建议不要使用vue的关键字) 我的的第一个vue:可以更换为其他自定义文字 3.运行命令两步走 下载依赖 cnpm i…...
[go] 状态模式
状态模式 允许对象在内部状态改变时改变它的行为,对象看起来好像修改了它的类。 模型说明 上下文 (Context) 保存了对于一个具体状态对象的引用, 并会将所有与该状态相关的工作委派给它。 上下文通过状态接口与状态对象交互&…...
uniapp沉浸式导航栏+自定义导航栏组件
在 UniApp 中实现沉浸式导航栏并结合自定义导航栏组件 一、沉浸式导航栏设置 在pages.json中配置页面样式 在需要设置沉浸式导航栏的页面的style选项中进行如下配置: {"pages": [{"path": "pages/pageName/pageName","style&qu…...
光伏仿真:排布设计如何优化用户体验?
1、屋顶绘制精准 光伏系统的性能直接受到屋顶结构的影响,因此,屋顶绘制的精准性是光伏仿真设计的首要任务。现代光伏仿真软件通过直观的界面和强大的图形编辑功能,使得用户能够轻松导入或绘制出待安装光伏系统的屋顶形状。无论是平面屋顶、斜…...
Vue使用axios二次封装、解决跨域问题
1、什么是 axios 在实际开发过程中,浏览器通常需要和服务器端进行数据交互。而 Vue.js 并未提供与服务器端通信的接口。从 Vue.js 2.0 版本之后,官方推荐使用 axios 来实现 Ajax 请求。axios 是一个基于 promise 的 HTTP 客户端。 关于 promise 的详细介…...
鸿萌数据恢复:如何降低 RAM 故障风险,以避免数据丢失?
天津鸿萌科贸发展有限公司从事数据安全服务二十余年,致力于为各领域客户提供专业的数据恢复、数据备份解决方案与服务,并针对企业面临的数据安全风险,提供专业的相关数据安全培训。 RAM 可能因多种原因而发生故障,并将设备和数据置…...
使用java实现ffmpeg的各种操作
以实现如下功能 1、支持音频文件转mp3;2、支持视频文件转mp4;3、支持视频提取音频;4、支持视频中提取缩略图;5、支持按时长拆分音频文件; 1、工具类 由于部分原因,没有将FfmpegUtil中的静态的命令行与Ty…...
【ArcGIS微课1000例】0122:经纬网、方里网、参考格网绘制案例教程
文章目录 一、ArcGIS格网类型二、绘制经纬网三、绘制方里网四、绘制参考格网五、注意事项一、ArcGIS格网类型 在ArcMap中,可以创建三种类型的格网: 经纬网——将地图分割为经线和纬线。经纬网是用来标识准确地理位置的方式,由经线和纬线构成,相对于经纬线,分别有的经度和…...
电路板上电子元件检测系统源码分享
电路板上电子元件检测检测系统源码分享 [一条龙教学YOLOV8标注好的数据集一键训练_70全套改进创新点发刊_Web前端展示] 1.研究背景与意义 项目参考AAAI Association for the Advancement of Artificial Intelligence 项目来源AACV Association for the Advancement of Comp…...
综合体第三题(DHCP报文分析)
DHCP工作流程(一般情况下) 例二(无忧/22) 下图为DHCP客户机获取IP地址等配置信息时,使用Wareshark软件捕获报文中编号为2〜5的4条报文,图中对编号为3的报文进行了解析。分析图中的信息并补全图中①〜⑤处的…...
企业级-pdf预览-前后端
作者:fyupeng 技术专栏:☞ https://github.com/fyupeng 项目地址:☞ https://github.com/fyupeng/distributed-blog-system-api 留给读者 本文 一、介绍 对于PDF预览,有很多开发者都遇到过头疼的难题,今天给大家介绍…...
为什么 qt 成为 c++ 界面编程的第一选择?
一、前言 为什么现在QT越来越成为界面编程的第一选择,笔者从事qt界面编程已经有接近8年,在这之前我做C界面都是基于MFC,也做过5年左右。当时为什么会从MFC转到QT,主要原因是MFC开发界面想做得好看一些十分困难,引用第…...
Day1-顺序表
1. 数据结构-基本概念 数据之间的相互关系,包括三种关系:逻辑结构:表示数据元素之间的抽象关系(如邻接关系、从属关系等)。有四种基本的逻辑结构:集合结构、线性结构、树形结构、图状结构存储结构:数据的逻辑结构在计算…...
PostgreSQL - pgvector 插件构建向量数据库并进行相似度查询
在现代的机器学习和人工智能应用中,向量相似度检索是一个非常重要的技术,尤其是在文本、图像或其他类型的嵌入向量的操作中。本文将介绍如何在 PostgreSQL 中安装 pgvector 插件,用于存储和检索向量数据,并展示如何通过 Python 脚…...
如何免费下载百度文库文档:三步搞定PDF保存的终极指南
如何免费下载百度文库文档:三步搞定PDF保存的终极指南 【免费下载链接】baidu-wenku fetch the document for free 项目地址: https://gitcode.com/gh_mirrors/ba/baidu-wenku 你是否经常在百度文库找到完美的学习资料或工作报告,却因为需要下载券…...
Netgear路由器终极救援指南:如何用免费开源工具nmrpflash快速修复“变砖“设备
Netgear路由器终极救援指南:如何用免费开源工具nmrpflash快速修复"变砖"设备 【免费下载链接】nmrpflash Netgear Unbrick Utility 项目地址: https://gitcode.com/gh_mirrors/nmr/nmrpflash 当你的Netgear路由器因固件升级失败、意外断电或系统崩…...
深度学习图像风格迁移:从Gatys算法到PyTorch工程实践
1. 项目概述:一个基于深度学习的图像风格迁移应用最近在GitHub上闲逛,发现了一个名为“aristoapp/DDalkkak”的项目。单看这个名字,可能有点摸不着头脑,但点进去一看,发现这是一个关于图像风格迁移(Image S…...
Midjourney湿版摄影风格实战手册(从胶片化学原理到Prompt工程):含12组经大英博物馆湿版藏品验证的Reference Prompt库
更多请点击: https://intelliparadigm.com 第一章:湿版摄影的历史溯源与Midjourney风格化转译本质 湿版摄影(Wet Plate Collodion Process)诞生于1851年,由弗雷德里克斯科特阿彻(Frederick Scott Archer&a…...
AI 术语通俗词典:计算图
计算图是深度学习、自动微分、神经网络训练和人工智能框架中非常重要的一个术语。它用来描述:把一次数学计算过程表示成由节点和边组成的图结构。换句话说,计算图是在回答:模型中的输入、参数、运算和输出之间,到底是如何一步步连…...
终极指南:如何为你的Mac鼠标安装强大定制功能
终极指南:如何为你的Mac鼠标安装强大定制功能 【免费下载链接】mac-mouse-fix Mac Mouse Fix - Make Your $10 Mouse Better Than an Apple Trackpad! 项目地址: https://gitcode.com/GitHub_Trending/ma/mac-mouse-fix Mac Mouse Fix是一款革命性的开源工具…...
柔性3D打印与生物仿生设计:从TPU材料到空气喷涂的完整实践
1. 项目概述:当柔性3D打印遇上生物仿生美学如果你和我一样,玩3D打印玩久了,总会对那些千篇一律的硬质塑料件感到一丝审美疲劳。我们总在追求更高的精度、更强的结构,却常常忽略了材料本身可以带来的、截然不同的体验。直到我开始接…...
模拟WiFi反向散射技术:无电池物联网通信新突破
1. 项目概述:模拟WiFi反向散射技术的革新突破在物联网设备爆炸式增长的今天,电池续航已成为制约大规模部署的关键瓶颈。传统传感器节点即使采用低功耗设计,其电池寿命也鲜有超过3-5年。而Leggiero提出的模拟WiFi反向散射技术,则开…...
ARM处理器仿真技术:Cortex-R52与Neoverse实战解析
1. ARM处理器仿真技术概述在现代芯片设计和软件开发流程中,处理器仿真模型已成为不可或缺的关键工具。作为Arm生态系统的重要组成部分,Iris仿真组件提供了对Cortex-R52和Neoverse系列处理器的精确模拟能力。这些模型不仅能够模拟指令执行流程,…...
如何让Photoshop图层批量导出速度提升3倍?这个开源脚本做到了!
如何让Photoshop图层批量导出速度提升3倍?这个开源脚本做到了! 【免费下载链接】Photoshop-Export-Layers-to-Files-Fast This script allows you to export your layers as individual files at a speed much faster than the built-in script from Ado…...
