动手学深度学习-多层感知机-7前向传播、反向传播和计算图
目录
前向传播
前向传播计算图
反向传播
训练神经网络
小结
我们已经学习了如何用小批量随机梯度下降训练模型。 然而当实现该算法时,我们只考虑了通过前向传播(forward propagation)所涉及的计算。 在计算梯度时,我们只调用了深度学习框架提供的反向传播函数,而不知其所以然。
梯度的自动计算(自动微分)大大简化了深度学习算法的实现。 在自动微分之前,即使是对复杂模型的微小调整也需要手工重新计算复杂的导数, 学术论文也不得不分配大量页面来推导更新规则。 本节将通过一些基本的数学和计算图, 深入探讨反向传播的细节。 首先,我们将重点放在带权重衰减(L2正则化)的单隐藏层多层感知机上。
前向传播
前向传播(forward propagation或forward pass) 指的是:按顺序(从输入层到输出层)计算和存储神经网络中每层的结果。
我们将一步步研究单隐藏层神经网络的机制, 为了简单起见,我们假设输入样本是 x∈Rd, 并且我们的隐藏层不包括偏置项。 这里的中间变量是:

其中W(1)∈Rh×d 是隐藏层的权重参数。 将中间变量z∈Rh通过激活函数ϕ后, 我们得到长度为h的隐藏激活向量:
![]()
隐藏变量h也是一个中间变量。 假设输出层的参数只有权重W(2)∈Rq×h, 我们可以得到输出层变量,它是一个长度为q的向量:

假设损失函数为l,样本标签为y,我们可以计算单个数据样本的损失项,

根据L2正则化的定义,给定超参数λ,正则化项为

其中矩阵的Frobenius范数是将矩阵展平为向量后应用的L2范数。 最后,模型在给定数据样本上的正则化损失为:J=L+s.
在下面的讨论中,我们将J称为目标函数(objective function)。
前向传播计算图
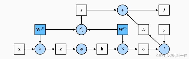
绘制计算图有助于我们可视化计算中操作符和变量的依赖关系。下图是与上述简单网络相对应的计算图, 其中正方形表示变量,圆圈表示操作符。 左下角表示输入,右上角表示输出。 注意显示数据流的箭头方向主要是向右和向上的。

反向传播
反向传播(backward propagation或backpropagation)指的是计算神经网络参数梯度的方法。 简言之,该方法根据微积分中的链式规则,按相反的顺序从输出层到输入层遍历网络。 该算法存储了计算某些参数梯度时所需的任何中间变量(偏导数)。 假设我们有函数Y=f(X)和Z=g(Y), 其中输入和输出X,Y,Z是任意形状的张量。 利用链式法则,我们可以计算Z关于X的导数

在这里,我们使用prod运算符在执行必要的操作(如换位和交换输入位置)后将其参数相乘。 对于向量,这很简单,它只是矩阵-矩阵乘法。 对于高维张量,我们使用适当的对应项。 运算符prod指代了所有的这些符号。
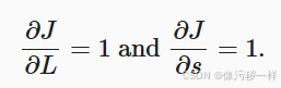
回想一下,在计算上图中的单隐藏层简单网络的参数是 W(1)和W(2)。 反向传播的目的是计算梯度∂J/∂W(1)和 ∂J/∂W(2)。 为此,我们应用链式法则,依次计算每个中间变量和参数的梯度。 计算的顺序与前向传播中执行的顺序相反,因为我们需要从计算图的结果开始,并朝着参数的方向努力。第一步是计算目标函数J=L+s相对于损失项L和正则项s的梯度。

接下来,我们根据链式法则计算目标函数关于输出层变量o的梯度:

接下来,我们计算正则化项相对于两个参数的梯度:

现在我们可以计算最接近输出层的模型参数的梯度 ∂J/∂W(2)∈Rq×h。 使用链式法则得出:
为了获得关于W(1)的梯度,我们需要继续沿着输出层到隐藏层反向传播。 关于隐藏层输出的梯度∂J/∂h∈Rh由下式给出:

由于激活函数ϕ是按元素计算的, 计算中间变量z的梯度∂J/∂z∈Rh 需要使用按元素乘法运算符,我们用⊙表示:

最后,我们可以得到最接近输入层的模型参数的梯度 ∂J/∂W(1)∈Rh×d。 根据链式法则,我们得到:

训练神经网络
在训练神经网络时,前向传播和反向传播相互依赖。 对于前向传播,我们沿着依赖的方向遍历计算图并计算其路径上的所有变量。 然后将这些用于反向传播,其中计算顺序与计算图的相反。
以上述简单网络为例:一方面,在前向传播期间计算正则项 取决于模型参数W(1)和 W(2)的当前值。 它们是由优化算法根据最近迭代的反向传播给出的。 另一方面,反向传播期间参数的梯度计算, 取决于由前向传播给出的隐藏变量h的当前值。
因此,在训练神经网络时,在初始化模型参数后, 我们交替使用前向传播和反向传播,利用反向传播给出的梯度来更新模型参数。 注意,反向传播重复利用前向传播中存储的中间值,以避免重复计算。 带来的影响之一是我们需要保留中间值,直到反向传播完成。 这也是训练比单纯的预测需要更多的内存(显存)的原因之一。 此外,这些中间值的大小与网络层的数量和批量的大小大致成正比。 因此,使用更大的批量来训练更深层次的网络更容易导致内存不足(out of memory)错误。
小结
-
前向传播在神经网络定义的计算图中按顺序计算和存储中间变量,它的顺序是从输入层到输出层。
-
反向传播按相反的顺序(从输出层到输入层)计算和存储神经网络的中间变量和参数的梯度。
-
在训练深度学习模型时,前向传播和反向传播是相互依赖的。
-
训练比预测需要更多的内存。
相关文章:
动手学深度学习-多层感知机-7前向传播、反向传播和计算图
目录 前向传播 前向传播计算图 反向传播 训练神经网络 小结 我们已经学习了如何用小批量随机梯度下降训练模型。 然而当实现该算法时,我们只考虑了通过前向传播(forward propagation)所涉及的计算。 在计算梯度时,我们只调用…...
【Python】基于Python的CI/CD工具链:实现自动化构建与发布
《Python OpenCV从菜鸟到高手》带你进入图像处理与计算机视觉的大门! 解锁Python编程的无限可能:《奇妙的Python》带你漫游代码世界 在现代软件开发中,持续集成(CI)和持续交付(CD)已经成为提高开发效率和软件质量的重要实践。CI/CD流程帮助开发团队自动化构建、测试、…...
FPGA-PS端编程1:
目标 在小梅哥的zynq 7015上,完成以下目标: 读取 S1 按键的电平, 当 S1 按键为按下状态时,驱动 PS LED 以 1S 的频率闪烁(注意理解 1S 的频率闪烁和 1S的时间翻转两种描述之间的差别), 当 S1 释放后,停止…...
自制数据库迁移工具-C版-06-HappySunshineV1.5-(支持南大Gbase8a、PostgreSQL、达梦DM)
目录 一、环境信息 二、简述 三、架构图 四、升级点 五、支持功能 六、后续计划支持功能 七、安装包下载地址 八、配置参数介绍 九、安装步骤 1、用户创建 2、安装包解压 3、环境变量配置 4、环境变量生效 5、动态库链接检验 (1)HsManage…...
了解RPC
本文来自智谱清言 --------- RPC(Remote Procedure Call,远程过程调用)是一种允许程序调用位于远程计算机上的子程序或服务的技术。这种技术使得构建分布式计算变得更加容易,因为它提供了强大的远程调用能力,同时保持…...
centos7 安装docker
文章目录 介绍docker特点安装1.前提准备2.下载1.移除旧版docker命令2.切换centos7的镜像源3.配置docker yum源4.安装最新docker5.输入命令验证docker 安装是否成功6.配置docker 镜像加速7.设置为开机自启 总结 介绍 Docker是一种开源的容器化平台,旨在简化应用…...
Docker 入门:如何使用 Docker 容器化 AI 项目(一)
引言 在人工智能(AI)项目的开发和部署过程中,环境配置和依赖管理往往是开发者遇到的挑战之一。开发者通常需要在不同的机器上运行同样的代码,确保每个人使用的环境一致,才能避免 “在我的机器上可以运行”的尴尬问题。…...
LLMs之rStar:《Mutual Reasoning Makes Smaller LLMs Stronger Problem-Solvers》翻译与解读
LLMs之rStar:《Mutual Reasoning Makes Smaller LLMs Stronger Problem-Solvers》翻译与解读 导读:这篇论文提出了一种名为rStar的自我博弈互推理方法,用于增强小型语言模型 (SLMs) 的推理能力,无需微调或依赖更强大的模型。rStar…...
【RK3588 Linux 5.x 内核编程】-内核中断与ThreadedIRQ
内核中断与ThreadedIRQ 文章目录 内核中断与ThreadedIRQ1、Threaded IRQ介绍2、Threaded IRQ相关API3、驱动实现4、驱动验证当 Interrupt 触发时,Interrupt handler 应该执行得非常快,它不应该运行更多的时间(它不应该执行耗时的任务)。 如果我们有执行更多任务的中断处理程…...
Message Processing With Spring Integration高级应用:自定义消息通道与端点
一、Spring Integration 简介 Spring Integration 是 Spring 框架的扩展,支持企业集成模式(EIP),提供轻量级的消息处理功能,帮助开发者构建可维护、可测试的企业集成解决方案。 核心目标: 提供简单的模型…...
S32K324 MCAL中的Postbuild和PreCompile使用
文章目录 前言Postbuild和PreCompile的概念MCAL中配置差异总结 前言 之前一直看到MCAL配置中有这个Postbuild和PreCompile的配置,但是不太清楚这两个的区别和使用方法。最近在使用中出现了相关问题,本文介绍一下MCAL中这两种配置的区别和使用。 Postbu…...
kubeadm_k8s_v1.31高可用部署教程
kubeadm_k8s_v1.31高可用部署教程 实验环境部署拓扑图**部署署架构****Load Balance****Control plane node****Worker node****资源分配(8台虚拟机)**集群列表 前置准备关闭swap开启ipv4转发更多设置 1、Verify the MAC address and product_uuid are u…...
【AI日记】24.12.22 容忍与自由 | 环境因素和个人因素
【AI论文解读】【AI知识点】【AI小项目】【AI战略思考】【AI日记】 工作 内容:看 OpenAi 这周的发布会和其他 AI 新闻,大佬视频时间:3 小时 读书 书名:富兰克林自传时间:1 小时评估:读完,总体…...
【Java基础面试题030】Java和Go的区别?
回答重点 可以从语言的设计理念、并发模型、内存管理、生态系统与应用场景来说: 1)语言设计理念: Java:Java是一种面向对象编程语言,强调继承、多态和封装等OOP特性。它运行在Java虚拟机(JVM)…...
学习嵩山版《Java 开发手册》:编程规约 - 常量定义(P5)
概述 《Java 开发手册》是阿里巴巴集团技术团队的集体智慧结晶和经验总结,他旨在提升开发效率和代码质量 《Java 开发手册》是一本极具价值的 Java 开发规范指南,对于提升开发者的综合素质和代码质量具有重要意义 学习《Java 开发手册》是一个提升 Jav…...
洛谷 P1595 信封问题 C语言递归
题目描述 某人写了 n 封信和 n 个信封,如果所有的信都装错了信封。求所有信都装错信封共有多少种不同情况。 输入格式 一个信封数 n,保证 n≤20。 输出格式 一个整数,代表有多少种情况。 输入输出样例 输入 #1 2 输出 #1 1 输入 #2 …...
QT创建一个模板槽和信号刷新UI
文章目录 信号与槽的声明work.cpp 信号与槽的连接 在Qt中,若您想设计一个仅含一个信号和槽函数框架,用以刷新UI上多个类型相同但可能属性各异的控件,我们可以借助QVariant的灵活性来传递不同种类的数据,同时利用控件的名称或某种标…...
【计算机视觉基础CV-图像分类】01- 从历史源头到深度时代:一文读懂计算机视觉的进化脉络、核心任务与产业蓝图
1.计算机视觉定义 计算机视觉(Computer Vision)是一个多学科交叉的研究领域,它的核心目标是使计算机能够像人类一样“看”并“理解”视觉信息。换句话说,它希望赋予计算机从图像、视频中自动提取、有意义地分析、理解并解释视觉场…...
C# cad启动自动加载启动插件、类库编译 多个dll合并为一个
可以通过引用costura.fody的包,编译后直接变为一个dll 自动加载写入注册表、激活码功能: 【CAD二次开发教程-实例18-启动加载与自动运行-哔哩哔哩】 https://b23.tv/lKnki3f https://gitee.com/zhuhao1912/cad-atuo-register-and-active...
Mybatis增删改查(配置文件版)
准备环境 1、数据库表tb_brand 2、实体类Brand 3、测试用例 3、1在test包中的java包中创建测试类com.xyy.test.MybatisTest.java 4、安装MyBatisX插件 添加插件后,因为在Mapper代理开发时,Mapper接口要和Mapper.xml映射文件放在同一个报下࿰…...
cool-admin(midway版)前端表单验证:AsyncValidator与异步校验完整指南
cool-admin(midway版)前端表单验证:AsyncValidator与异步校验完整指南 【免费下载链接】cool-admin-midway 🔥 cool-admin(midway版)一个很酷的后台权限管理框架,模块化、插件化、CRUD极速开发,永久开源免费,基于midwa…...
Awoo Installer:让Switch游戏安装像呼吸一样简单
Awoo Installer:让Switch游戏安装像呼吸一样简单 【免费下载链接】Awoo-Installer A No-Bullshit NSP, NSZ, XCI, and XCZ Installer for Nintendo Switch 项目地址: https://gitcode.com/gh_mirrors/aw/Awoo-Installer 还在为Switch游戏安装的各种繁琐步骤头…...
3步搞定B站4K视频下载:开源工具bilibili-downloader终极指南
3步搞定B站4K视频下载:开源工具bilibili-downloader终极指南 【免费下载链接】bilibili-downloader B站视频下载,支持下载大会员清晰度4K,持续更新中 项目地址: https://gitcode.com/gh_mirrors/bil/bilibili-downloader 想要免费下载…...
告别重复劳动:用快马生成deerflow式工作流,提升开发效率十倍
最近在尝试优化日常开发流程时,发现很多重复性的代码检查工作特别耗时。于是研究了下如何用InsCode(快马)平台快速搭建一个deerflow风格的自动化工具,效果出乎意料的好。这里分享下具体实现思路和体验。 为什么需要自动化工作流 每次提交代码前&#x…...
W25Q64 进阶应用:从电路设计到高效存储管理的实战解析
1. W25Q64硬件电路设计实战 第一次用W25Q64做项目时,我在电路设计上踩过不少坑。记得有个设备频繁出现数据丢失,最后发现是电源滤波没做好。这个8MB容量的SPI Flash芯片虽然引脚不多,但每个脚的设计细节都直接影响系统稳定性。 1.1 关键引脚…...
League-Toolkit:告别繁琐操作,让英雄联盟玩家效率提升300%的智能助手
League-Toolkit:告别繁琐操作,让英雄联盟玩家效率提升300%的智能助手 【免费下载链接】League-Toolkit An all-in-one toolkit for LeagueClient. Gathering power 🚀. 项目地址: https://gitcode.com/gh_mirrors/le/League-Toolkit 副…...
万象视界灵坛效果展示:血条样式进度条直观呈现各标签置信度差异
万象视界灵坛效果展示:血条样式进度条直观呈现各标签置信度差异 1. 平台概览 万象视界灵坛是一款基于OpenAI CLIP技术的高级多模态智能感知平台。它通过创新的像素风格界面,将复杂的视觉识别任务转化为直观的交互体验。平台采用16-Bit游戏美学设计&…...
基于SpringBoot + Vue的校园论坛交流系统
文章目录前言一、详细操作演示视频二、具体实现截图三、技术栈1.前端-Vue.js2.后端-SpringBoot3.数据库-MySQL4.系统架构-B/S四、系统测试1.系统测试概述2.系统功能测试3.系统测试结论五、项目代码参考六、数据库代码参考七、项目论文示例结语前言 💛博主介绍&#…...
Sulpho-Methyltetrazine-NHS ester,磺化甲基四嗪-琥珀酰亚胺酯的结构特点与功能
Sulpho-Methyltetrazine-NHS ester 是一种结合了磺酸基团、甲基四嗪和 NHS 酯三大功能模块的化学试剂,在生物化学和药物研发等领域具有广泛应用。以下是对其详细介绍:一、基本信息英文名称:Sulpho-Methyltetrazine-NHS ester(或 S…...
基于LSTM的CasRel模型变体实现与性能对比分析
基于LSTM的CasRel模型变体实现与性能对比分析 最近在关系抽取这个领域,大家的目光似乎都被Transformer架构给吸引走了。确实,像BERT、RoBERTa这些基于自注意力机制的模型,在各类NLP任务上表现都相当亮眼。但这就让我产生了一个疑问ÿ…...
