永磁同步电机控制算法--基于电磁转矩反馈补偿的新型IP调节器
一、基本原理
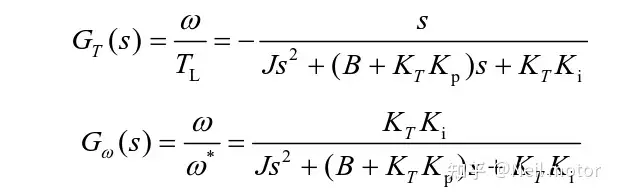
先给出IP速度控制器还是PI速度控制器的传递函数:

PI调节器

IP调节器
从IP速度控制器还是PI速度控制器的传递函数可以看出,系统的抗负载转矩扰动能力相同,因此虽然采用IP速度控制器改善了转速环的超调问题,但仍然需要通过其他途径提高电机转速环的抗负载转矩扰动能力。
于是在IP调节器中引入电磁转矩反馈补偿。
二、仿真验证
在MATLAB/simulink里面验证所提算法,采用和实验中一致的控制周期1e-4,电机部分计算周期为1e-6。仿真模型如下所示:

仿真工况:初始给定转速为1000rpm,0.5s施加阶跃额定负载,1s撤去负载。对比转速环分别为IP调节器、新型IP调节器时的波形。
IP调节器
2.1转速

2.2dq轴电流

新型IP调节器
2.1转速

2.2dq轴电流

效果:在0.5s施加额定负载时,转速跌落由25.5rpm减小到11rpm。
相关文章:
永磁同步电机控制算法--基于电磁转矩反馈补偿的新型IP调节器
一、基本原理 先给出IP速度控制器还是PI速度控制器的传递函数: PI调节器 IP调节器 从IP速度控制器还是PI速度控制器的传递函数可以看出,系统的抗负载转矩扰动能力相同,因此虽然采用IP速度控制器改善了转速环的超调问题,但仍然需要通过其他途…...
RabbitMQ 应用 - SpringBoot
以下介绍的是基于 SpringBoot 的 RabbitMQ 开发介绍 Spring Spring AMQP RabbitMQ RabbitMQ tutorial - "Hello World!" | RabbitMQ 工程搭建步骤: 1.引入依赖 2.编写 yml 配置,配置基本信息 3.编写生产者代码 4.编写消费者代码 定义监听类,使用 RabbitListener…...
基于递归思想的系统架构图自动化生成实践
文章目录 一、核心思想解析二、关键技术实现1. 动态布局算法2. 样式规范集成3. MCP服务封装三、典型应用场景四、最佳实践建议五、扩展方向一、核心思想解析 本系统通过递归算法实现了Markdown层级结构到PPTX架构图的自动转换,其核心设计思想包含两个维度: 数据结构递归:将…...
OpenGL Chan视频学习-9 Index Buffers inOpenGL
bilibili视频链接: 【最好的OpenGL教程之一】https://www.bilibili.com/video/BV1MJ411u7Bc?p5&vd_source44b77bde056381262ee55e448b9b1973 函数网站: docs.gl 说明: 1.之后就不再单独整理网站具体函数了,网站直接翻译会…...
《基于AIGC的智能化多栈开发新模式》研究报告重磅发布! ——AI重塑软件工程,多栈开发引领未来
在人工智能技术迅猛发展的浪潮下,软件开发领域正经历一场前所未有的范式革命。在此背景下,由贝壳找房(北京)科技有限公司、中国信息通信研究院云计算与大数据研究所联合编写,阿里、腾讯、北京大学、南京大学、同济大学…...
热门大型语言模型(LLM)应用开发框架
我们来深入探索这些强大的大型语言模型(LLM)应用开发框架,并且我会尝试用文本形式描述一些核心的流程图,帮助您更好地理解它们的工作机制。由于我无法直接生成图片,我会用文字清晰地描述流程图的各个步骤和连接。 Lang…...
Nginx安全防护与HTTPS部署实战
目录 前言一. 核心安全配置1. 隐藏版本号2. 限制危险请求方法3. 请求限制(CC攻击防御)(1)使用nginx的limit_req模块限制请求速率(2)压力测试验证 4. 防盗链 二. 高级防护1. 动态黑名单(1&#x…...
JAVA重症监护系统源码 ICU重症监护系统源码 智慧医院重症监护系统源码
智慧医院重症监护系统源码 ICU重症监护系统源码 开发语言:JavaVUE ICU护理记录:实现病人数据的自动采集,实时记录监护过程数据。支持主流厂家的监护仪、呼吸机等床旁数字化设备的数据采集。对接检验检查系统,实现自动化录入。喜…...
静态资源js,css免费CDN服务比较
静态资源js,css免费CDN服务比较 分析的 CDN 服务列表: BootCDN (https://cdn.bootcdn.net/ajax/libs)jsDelivr (主域名) (https://cdn.jsdelivr.net/npm)jsDelivr (Gcore 镜像) (https://gcore.jsdelivr.net/npm)UNPKG (https://unpkg.com)ESM (https://esm.sh)By…...
组合型回溯+剪枝
本篇基于b站灵茶山艾府。 77. 组合 给定两个整数 n 和 k,返回范围 [1, n] 中所有可能的 k 个数的组合。 你可以按 任何顺序 返回答案。 示例 1: 输入:n 4, k 2 输出: [[2,4],[3,4],[2,3],[1,2],[1,3],[1,4], ]示例 2&#…...
python:机器学习(KNN算法)
本文目录: 一、K-近邻算法思想二、KNN的应用方式( 一)分类流程(二)回归流程 三、API介绍(一)分类预测操作(二)回归预测操作 四、距离度量方法(一)…...
【笔记】2025 年 Windows 系统下 abu 量化交易库部署与适配指南
#工作记录 前言 在量化交易的学习探索中,偶然接触到 2017 年开源的 abu 量化交易库,其代码结构和思路对新手理解量化回测、指标分析等基础逻辑有一定参考价值。然而,当尝试在 2025 年的开发环境中部署这个久未更新的项目时,遇到…...
小程序 - 视图与逻辑
个人简介 👨💻个人主页: 魔术师 📖学习方向: 主攻前端方向,正逐渐往全栈发展 🚴个人状态: 研发工程师,现效力于政务服务网事业 🇨🇳人生格言: “心有多大,舞台就有多大。” 📚推荐学习: 🍉Vue2 🍋Vue3 🍓Vue2/3项目实战 🥝Node.js实战 🍒T…...
ChatGPT Plus/Pro 订阅教程(支持支付宝)
订阅 ChatGPT Plus GPT-4 最简单,成功率最高的方案 1. 登录 chat.openai.com 依次点击 Login ,输入邮箱和密码 2. 点击升级 Upgrade 登录自己的 OpenAI 帐户后,点击左下角的 Upgrade to Plus,在弹窗中选择 Upgrade plan。 如果…...
[蓝帽杯 2022 初赛]网站取证_2
一、找到与数据库有关系的PHP文件 打开内容如下,发现数据库密码是函数my_encrypt()返回的结果。 二、在文件夹encrypt中找到encrypt.php,内容如下,其中mcrypt已不再使用,所以使用php>7版本可能没有执行结果,需要换成较低版本…...
vue3+Pinia+element-plus 后台管理系统项目实战记录
vue3Piniaelement-plus 后台管理系统项目实战记录 参考项目:https://www.bilibili.com/video/BV1L24y1n7tB 全局api provide、inject vue2 import api from/api vue.propotype.$api apithis.$api.xxxvue3 import api from/api app.provide($api, api)import {…...
安装 Node.js 和配置 cnpm 镜像源
一、安装 Node.js 方式一:官网下载(适合所有系统) 访问 Node.js 官网 推荐选择 LTS(长期支持)版本,点击下载安装包。 根据系统提示一步步完成安装。 方式二:通过包管理器安装(建…...
MacOS内存管理-删除冗余系统数据System Data
文章目录 一、问题复现二、解决思路三、解决流程四、附录 一、问题复现 以题主的的 Mac 为例,我们可以看到System Data所占数据高达77.08GB,远远超出系统所占内存 二、解决思路 占据大量空间的是分散在系统中各个位置Cache数据; 其中容量最…...
电脑开机后长时间黑屏,桌面图标和任务栏很久才会出现,但是可通过任务管理器打开应用程序,如何解决
目录 一、造成这种情况的主要原因(详细分析): (1)启动项过多,导致系统资源占用过高(最常见) 检测方法: (2)系统服务启动异常(常见&a…...
行为型:中介者模式
目录 1、核心思想 2、实现方式 2.1 模式结构 2.2 实现案例 3、优缺点分析 4、适用场景 5、注意事项 1、核心思想 目的:通过引入一个中介对象来封装一组对象之间的交互,解决对象间过度耦合、频繁交互的问题。不管是对象引用维护还是消息的转发&am…...
光谱相机在生态修复监测中的应用
光谱相机通过多维光谱数据采集与智能分析技术,在生态修复监测中构建起“感知-评估-验证”的全周期管理体系,其核心应用方向如下: 一、土壤修复效能量化评估 重金属污染动态监测 通过短波红外(1000-2500nm)波…...
吉林大学操作系统上机实验五(磁盘引臂调度算法(scan算法)实现)
本次实验无参考,从头开始实现。 一.实验内容 模拟实现任意一个磁盘引臂调度算法,对磁盘进行移臂操作列出基于该种算法的磁道访问序列,计算平均寻道长度。 二.实验设计 假设磁盘只有一个盘面,并且磁盘是可移动头磁盘。磁盘是可…...
【深度学习-pytorch篇】4. 正则化方法(Regularization Techniques)
正则化方法(Regularization Techniques) 1. 目标 理解什么是过拟合及其影响掌握常见正则化技术:L2 正则化、Dropout、Batch Normalization、Early Stopping能够使用 PyTorch 编程实现这些正则化方法并进行比较分析 2. 数据构造与任务设定 …...
ESP8266+STM32 AT驱动程序,心知天气API 记录时间: 2025年5月26日13:24:11
接线为 串口2 接入ESP8266 esp8266.c #include "stm32f10x.h"//8266预处理文件 #include "esp8266.h"//硬件驱动 #include "delay.h" #include "usart.h"//用得到的库 #include <string.h> #include <stdio.h> #include …...
WPF【11_5】WPF实战-重构与美化(MVVM 实战)
11-10 【重构】创建视图模型,显示客户列表 正式进入 MVVM 架构的代码实战。在之前的课程中, Model 和 View 这部分的代码重构实际上已经完成了。 Model 就是在 Models 文件夹中看到的两个文件, Customer 和 Appointment。 而 View 则是所有与…...
⭐️⭐️⭐️ 模拟题及答案 ⭐️⭐️⭐️ 大模型Clouder认证:RAG应用构建及优化
考试注意事项: 一、单选题(21题) 检索增强生成(RAG)的核心技术结合了什么? A. 图像识别与自然语言处理 B. 信息检索与文本生成 C. 语音识别与知识图谱 D. 数据挖掘与机器学习 RAG技术中,“建立索引”步骤不包括以下哪项操作? A. 将文档解析为纯文本 B. 文本片段分割(…...
kali系统的安装及配置
1 kali下载 Kali 下载地址:Get Kali | Kali Linux (https://www.kali.org/get-kali) 下载 kali-linux-2024.4-installer-amd64.iso (http://cdimage.kali.org/kali-2024.4/) 2. 具体安装步骤: 2.1 进入官方地址,点击…...
CSS--background-repeat详解
属性介绍 background-repeat 属性在CSS中用于控制背景图像是否以及如何重复。当背景图像的尺寸小于其容器的尺寸时,该属性决定了图像如何填充额外的空间。默认情况下,背景图像会在横向和纵向上重复,直到覆盖整个元素。 常见取值 repeat …...
Redis的大Key问题如何解决?
大家好,我是锋哥。今天分享关于【Redis的大Key问题如何解决?】面试题。希望对大家有帮助; Redis的大Key问题如何解决? 1000道 互联网大厂Java工程师 精选面试题-Java资源分享网 Redis中的“大Key”问题是指某个键的值占用了过多…...
影楼精修-AI追色算法解析
注意:本文样例图片为了避免侵权,均使用AIGC生成; AI追色是像素蛋糕软件中比较受欢迎的一个功能点,本文将针对AI追色来解析一下大概的技术原理。 功能分析 AI追色实际上可以理解为颜色迁移的一种变体或者叫做升级版,…...
