差分S参数-信号与电源完整性分析
差分S参数:
由于差分互连中使用差分信号传递信息,接收器最关心的是差分信号的质量,如果互连通道的S参数能直接反映出对差分信号的影响,对分析问题将方便得多。差分互连通道可以看成是一个四端口网络,激励源为单端信号,此时得到的S参数就是常见的测量得到的S参数,即单端S参数。另一方面,从差分信号角度来说,差分互连通道也可以看成是一个二端口网络,但激励源有差分信号和共模信号两种信号,这时得到的就是差分S参数,也称混合模态S参数(mixed-mode scatter parameter)。图8-24展示了看待差分互连通道的两个视角。

对于差分S参数,激励信号分差分和共模两种,因此有以下4种组合,并分别表示为:
SDD: 差分信号输入、差分信号输出
SCC: 共模信号输入、共模信号输出
SCD: 差分信号输入、共模信号输出
SDC: 共模信号输入、差分信号输出
由于差分信号和共模信号是两个单端信号的线性组合,因此差分S参数和单端S参数之间必然存在线性变换关系。对于四端口网络,使用S参数表示为:

根据图8-24中的结构,差分端口1输入的差分信号为:



可得到b₁和b₃,而端口1输出的差分信号可表示为b₁和b₃的组合,即

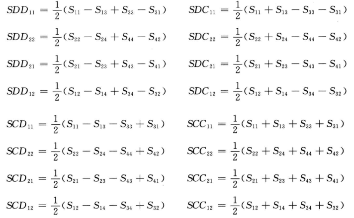
同样的原理可以得出4种组合情况下所有的差分S参数:

这样可以把差分、共模、输入、输出用差分S参数关联起来:



差分S参数矩阵分为4个区域,如图8-25所示,左上角4个元素表示差分信号的反射和传输,右下角4个元素表示共模信号的反射和传输,右上角4个元素表示共模信号向差分信号的转换,左下角4个元素表示差分信号向共模信号的转换。

根据差分S参数与单端S参数的关系,可以更深入的理解差分对对称性的含义,差分S参数中表征模态转换的有代表性的参数如下:

表示差分端口1处差分到共模的转化,根据单端S参数的性质
=
,只有两条传输线对单端信号的反射完全相等(幅度和相位必须都相等)时,差分端口1才不发生模态转换。两条单端线反射完全对称,必须具有如下特征:阻抗不连续点到端口的传输延时完全相同、阻抗变化完全相同、不连续点个数完全相同、两条单端线延时完全相同。
表示差分端口1处差分信号传输到末端时有多少变成共模信号。图8-26显示了两个单端信号的传输,
只有在实线和虚线所示路径的信号传递分别相等时才能为0,即两个信号各自传输完全相等,对邻近线远端串扰完全相等。这个参量从信号传输的角度说明了差分对对称的含义。实际情况下,由于设计过程中的各种限制以及PCB加工公差等原因,以上完全对称的条件不可能满足,所以模态转换不可避免。

和单端S参数对应,差分S参数也有对应的时域T参数,如式(8-24)所示。和单端情况类似,频域S参数和时域T参数结合能挖掘出更多非常有价值的信息。比如使用和
可以看到差分阻抗以及共模阻抗在什么位置发生突变,为阻抗优化指出重点。
和
可以得到差分和共模信号边沿变化情况以及差分信号和共模信号的传输延时差别有多大。
和
可以显示出在什么位置发生了模态转换,为互连通道优化时重点关注哪些位置提供指导。

差分S参数-信号与电源完整性分析
相关文章:
差分S参数-信号与电源完整性分析
差分S参数: 由于差分互连中使用差分信号传递信息,接收器最关心的是差分信号的质量,如果互连通道的S参数能直接反映出对差分信号的影响,对分析问题将方便得多。差分互连通道可以看成是一个四端口网络,激励源为单端信号,…...
扣子Coze飞书多维表插件-查询数据
search_record - 查询数据 请求参数 apptoken - 多维表的唯一标识服 可选参数: automatic_fields - 控制是否返回自动计算的字段, true 表示返回。 field_names - 字段名称,用于指定本次查询返回记录中包含的字段。 示例值:["字段1&…...
计算机模拟生物/化学反应有哪些软件?
以下是用于计算机模拟生物/化学反应的软件分类总结,涵盖量子化学、分子动力学、化学信息学及新兴混合方法等方向,结合其核心功能和应用场景进行整理: ⚛️ 一、量子化学计算软件 ChemiQ(本源量子) 类型:量子…...
PostIn V1.1.2版本发布,新增接口评审功能,提升接口质量与合理性
PostIn是一款国产开源免费的接口管理工具,包含项目管理、接口调试、接口文档设计、接口数据MOCK等模块,支持常见的HTTP协议、websocket协议。本周PostIn V1.1.0版本发布,新增接口评审、接口统计功能。 1、版本更新日志 新增 ➢ 接口评审&a…...
MySQL数据归档利器:pt-archiver原理剖析与实战指南
MySQL数据归档利器:pt-archiver原理剖析与实战指南 在MySQL数据库管理中,数据归档是一个永恒的话题——随着业务数据的不断增长,如何高效、安全地将历史数据从生产表迁移到归档表或文件,同时不影响在线业务,是每个DBA和开发者都需要面对的挑战。Percona Toolkit中的pt-ar…...
【论文阅读】User Diverse Preference Modeling by Multimodal Attentive Metric Learning
User Diverse Preference Modeling by Multimodal Attentive Metric Learning 题目翻译:基于多模态注意度量学习的用户不同偏好建模 摘要 提出一个**多模态注意力度量学习(MAML, Multimodal Attentive Metric Learning)**方法,…...
Catch That Cow POJ - 3278
农夫约翰得知了一头逃亡奶牛的位置,想要立即抓住她。他起始于数轴上的点N(0 ≤ N ≤ 100,000),而奶牛位于同一条数轴上的点K(0 ≤ K ≤ 100,000)。农夫约翰有两种移动方式:步行和传送。 * 步行…...
【计算机网络】传输层TCP协议——协议段格式、三次握手四次挥手、超时重传、滑动窗口、流量控制、
🔥个人主页🔥:孤寂大仙V 🌈收录专栏🌈:计算机网络 🌹往期回顾🌹: 【计算机网络】传输层UDP协议 🔖流水不争,争的是滔滔不息 一、TCP协议 UDP&…...
文件服务端加密—minio配置https
1.安装openssl 建议双击安装包默认安装,安装完成之后配置环境变量 如下图则配置成功: 二、生成自签名CA证书及私钥 1、生成私钥 openssl genrsa -out private.key 20482、生成自签名证书 (1)编写openssl.conf文件,…...
界面开发框架DevExpress XAF实践:集成.NET Aspire后如何实现自定义遥测?
DevExpress XAF是一款强大的现代应用程序框架,允许同时开发ASP.NET和WinForms。DevExpress XAF采用模块化设计,开发人员可以选择内建模块,也可以自行创建,从而以更快的速度和比开发人员当前更强有力的方式创建应用程序。 .NET As…...
多卡训练核心技术详解
多卡训练核心技术详解 多卡训练 主要围绕分布式环境初始化、模型并行化、数据分片和梯度同步展开。下面结合您的代码,详细解释这些核心部分: 并行执行命令 torchrun --nproc_per_node=5 TokenLossMulCard.py 1. 分布式环境初始化 def init_distributed():init_process_…...
深度学习全面掌握指南
一、引言 深度学习是机器学习的一个分支,它通过构建多层神经网络来模拟人类大脑的信息处理方式,从而实现对复杂数据的自动特征提取和模式识别。近年来,深度学习在计算机视觉、自然语言处理、语音识别等领域取得了巨大的突破,引发…...
magic-api配置Git插件教程
一、配置gitee.com 1,生成rsa密钥,在你的电脑右键使用管理员身份运行(命令提示符),执行下面命令 ssh-keygen -t rsa -b 2048 -m PEM一直按回车键,不需要输入内容 找到 你电脑中的~/.ssh/id_rsa.pub 文件…...
算法打卡第11天
36.有效的括号 (力扣20题) 示例 1: **输入:**s “()” **输出:**true 示例 2: **输入:**s “()[]{}” **输出:**true 示例 3: **输入:**s “(]”…...
【决策分析】基于Excel的多变量敏感性分析解决方案
在Excel中实现多变量敏感性分析(3个及以上变量)需要结合更灵活的工具和方法,因为Excel内置的数据表功能仅支持最多双变量分析。以下是针对多变量场景的解决方案,按复杂度和实用性排序: 方法1:场景管理器 摘…...
php:5.6-apache Docker镜像中安装 gd mysqli 库 【亲测可用】
Dockerfile 代码如下: FROM php:5.6-apache# 使用Debian归档源 RUN echo "deb http://archive.debian.org/debian stretch main contrib non-free" > /etc/apt/sources.list && \echo "deb http://archive.debian.org/debian-security s…...
小程序跳转H5或者其他小程序
1. h5跳转小程序有两种情况 (1)从普通浏览器打开的h5页面跳转小程序使用wx-open-launch-weapp可以实现h5跳转小程序 <wx-open-launch-weappstyle"display:block;"v-elseid"launch-btn":username"wechatYsAppid":path…...
【AI赋能,视界升级】智微智能S134 AI OPS,重构智慧大屏未来
智慧教室中,教师通过电子白板,4K高清课件、3D教学模型同步呈现,后排学生也能看清画面细节,课堂变得趣味十足;智能会议室里,会议内容、多人云会议多屏投放依旧畅通清晰,会议纪要自动生成Word/PPT…...
外网访问可视化工具 Grafana (Linux版本)
Grafana 是一款强大的可视化监控指标的展示工具,可以将不同的数据源数据以图形化的方式展示,不仅通用而且非常美观。它支持多种数据源,如 prometheus 等,也可以通过插件和 API 进行扩展以满足各种需求。 本文将详细介绍如何在本地…...
ass字幕嵌入mp4带偏移
# 格式转化文件,包含多种文件的互相转化,主要与视频相关 from pathlib import Path import subprocess import random import os import reclass Utils(object):staticmethoddef get_decimal_part(x: float) -> float:s format(x, .15f) # 格式化为…...
WPF响应式UI的基础:INotifyPropertyChanged
INotifyPropertyChanged 1 实现基础接口2 CallerMemberName优化3 数据更新触发策略4 高级应用技巧4.1 表达式树优化4.2 性能优化模式4.3 跨平台兼容实现 5 常见错误排查 在WPF的MVVM架构中, INotifyPropertyChanged是实现数据驱动界面的核心机制。本章将深入解析属…...
JavaScript字符串方法全面指南:从基础到高级应用
在JavaScript开发中,字符串(String)是最常用的数据类型之一,用于存储和操作文本数据。JavaScript提供了丰富的内置方法来处理字符串,掌握这些方法能极大提高开发效率。本文将全面介绍JavaScript中的字符串方法,按照"先总后分…...
浅谈 JavaScript 性能优化
文章目录 概要一、代码执行优化1. 减少全局变量访问2. 避免不必要的计算3. 优化循环操作 二、内存管理优化1. 减少内存泄漏2. 对象池与内存复用 三、渲染性能优化1. 避免强制同步布局2. 减少 DOM 操作3. 优化动画与合成 四、网络加载优化1. 代码压缩与 Tree Shaking2. 按需加载…...
React从基础入门到高级实战:React 生态与工具 - 构建与部署
React 构建与部署 引言 在现代Web开发中,构建与部署是项目从开发到上线的关键环节。对于React开发者而言,掌握构建优化和部署策略不仅能提升应用的性能,还能确保项目的稳定性和安全性。随着React应用的复杂性不断增加,合理的构建…...
Kafka性能调优三剑客:深度解析buffer_memory、linger_ms和batch_size
💝💝💝欢迎莅临我的博客,很高兴能够在这里和您见面!希望您在这里可以感受到一份轻松愉快的氛围,不仅可以获得有趣的内容和知识,也可以畅所欲言、分享您的想法和见解。 持续学习,不断…...
5分钟学会网络服务搭建,飞凌i.MX9352 + Linux 6.1实战示例
在“万物互联”的技术浪潮下,网络服务已成为连接物理世界与数字世界的核心纽带,它不仅赋予了终端设备“开口说话”的能力,更构建了智能设备的开发范式。 本文就将以飞凌嵌入式OK-MX9352-C开发板(搭载了在工业物联网领域广泛应用的…...
网络安全-等级保护(等保) 3-2-2 GB/T 28449-2019 第7章 现场测评活动/第8章 报告编制活动
################################################################################ GB/T 28449-2019《信息安全技术 网络安全等级保护测评过程指南》是规定了等级测评过程,是纵向的流程,包括:四个基本测评活动:测评准备活动、方案编制活…...
74道TypeScript高频题整理(附答案背诵版)
1.简述什么是TypeScript ? TypeScript是一种由Microsoft开发和维护的开源编程语言。它是JavaScript的一个超集,意味着它扩展了JavaScript的功能,包括添加了类型系统和对ES6的新特性的支持。TypeScript的设计目标是帮助开发者捕捉代码中的错误…...
PostgreSQL 临时表空间
PostgreSQL 临时表空间 PostgreSQL 使用临时表空间来存储查询执行过程中产生的临时数据,与 Oracle 类似但实现方式有所不同。 一、临时表空间基本概念 PostgreSQL 的临时表空间主要用于存储: 排序操作(ORDER BY、GROUP BY、DISTINCT&…...
N2语法 状態
1,~てならない 接続:て型 意味:…得不得了(强调自然产生的情感,可接自发动词) 例文: お腹が痛くてならない。 心配でならない。 両親に会いたくてならない。(非常…...
