python:五种算法(OOA、WOA、GWO、PSO、GA)求解23个测试函数(python代码)
一、五种算法简介
1、鱼鹰优化算法OOA
2、鲸鱼优化算法WOA
3、灰狼优化算法GWO
4、粒子群优化算法PSO
5、遗传算法GA
二、5种算法求解23个函数
(1)23个函数简介

参考文献:
[1] Yao X, Liu Y, Lin G M. Evolutionary programming made faster[J]. IEEE transactions on evolutionary computation, 1999, 3(2):82-102.
(2)部分python代码
from FunInfo import Get_Functions_details
from WOA import WOA
from GWO import GWO
from PSO import PSO
from GA import GA
from OOA import OOA
import matplotlib.pyplot as plt
from func_plot import func_plot
plt.rcParams['font.sans-serif']=['Microsoft YaHei']
#主程序
function_name =1 #测试函数1-23
SearchAgents_no = 50#种群大小
Max_iter = 100#迭代次数
lb,ub,dim,fobj=Get_Functions_details(function_name)#获取问题信息
BestX1,BestF1,curve1 = WOA(SearchAgents_no, Max_iter,lb,ub,dim,fobj)#问题求解
BestX2,BestF2,curve2 = GWO(SearchAgents_no, Max_iter,lb,ub,dim,fobj)#问题求解
BestX3,BestF3,curve3 = PSO(SearchAgents_no, Max_iter,lb,ub,dim,fobj)#问题求解
BestX4,BestF4,curve4 = GA(SearchAgents_no, Max_iter,lb,ub,dim,fobj)#问题求解
BestX5,BestF5,curve5 = OOA(SearchAgents_no, Max_iter,lb,ub,dim,fobj)#问题求解
#画函数图
func_plot(lb,ub,dim,fobj,function_name)#画函数图
#画收敛曲线图
Labelstr=['WOA','GWO','PSO','GA','OOA']
Colorstr=['r','g','b','k','c']
if BestF1>0:plt.semilogy(curve1,color=Colorstr[0],linewidth=2,label=Labelstr[0])plt.semilogy(curve2,color=Colorstr[1],linewidth=2,label=Labelstr[1])plt.semilogy(curve3,color=Colorstr[2],linewidth=2,label=Labelstr[2])plt.semilogy(curve4,color=Colorstr[3],linewidth=2,label=Labelstr[3])plt.semilogy(curve5,color=Colorstr[4],linewidth=2,label=Labelstr[4])
else:plt.plot(curve1,color=Colorstr[0],linewidth=2,label=Labelstr[0])plt.plot(curve2,color=Colorstr[1],linewidth=2,label=Labelstr[1])plt.plot(curve3,color=Colorstr[2],linewidth=2,label=Labelstr[2])plt.plot(curve4,color=Colorstr[3],linewidth=2,label=Labelstr[3])plt.plot(curve5,color=Colorstr[4],linewidth=2,label=Labelstr[4])plt.xlabel("Iteration")
plt.ylabel("Fitness")
plt.xlim(0,Max_iter)
plt.title("F"+str(function_name))
plt.legend()
plt.savefig(str(function_name)+'.png')
plt.show()
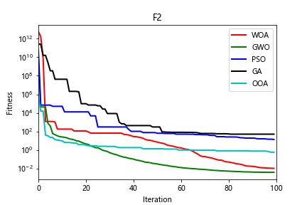
(3)部分结果










三、完整python代码
相关文章:
python:五种算法(OOA、WOA、GWO、PSO、GA)求解23个测试函数(python代码)
一、五种算法简介 1、鱼鹰优化算法OOA 2、鲸鱼优化算法WOA 3、灰狼优化算法GWO 4、粒子群优化算法PSO 5、遗传算法GA 二、5种算法求解23个函数 (1)23个函数简介 参考文献: [1] Yao X, Liu Y, Lin G M. Evolutionary programming made…...
DIP——添加运动模糊与滤波
1.运动模糊 为了模拟图像退化的过程,在这里创建了一个用于模拟运动模糊的点扩散函数,具体模糊的方向取决于输入的motion_angle。如果运动方向接近水平,则模糊效果近似水平,如果运动方向接近垂直,则模糊效果近似垂直。具…...
SQL Server查询计划(Query Plan)——SQL处理过程
6. 查询计划(Query Plan) 6.1. SQL处理过程 就SQL语句的处理过程而言,各关系库间大同小异,尤其是商业库之间实现机制和细节差别更小些,其功能及性能支持方面也更加强大和完善。SQL Server作为商业库中的后起之秀,作为SQL语句处理过程的主要支撑和保障,其优化器及相关机…...
【动手学深度学习】(十二)现代卷积神经网络
文章目录 一、深度卷积神经网络AlexNet1.理论知识 一、深度卷积神经网络AlexNet 1.理论知识 ImageNet(2010) 图片自然物体的彩色图片手写数字的黑色图片大小468 * 38728*28样本数1.2M60K类数100010 AlexNet AlexNet赢了2012ImageNet竞赛更深更大的LeNet主要改进ÿ…...
【小沐学Python】Python实现TTS文本转语音(speech、pyttsx3、百度AI)
文章目录 1、简介2、Windows语音2.1 简介2.2 安装2.3 代码 3、pyttsx33.1 简介3.2 安装3.3 代码 4、ggts4.1 简介4.2 安装4.3 代码 5、SAPI6、SpeechLib7、百度AI8、百度飞桨结语 1、简介 TTS(Text To Speech) 译为从文本到语音,TTS是人工智能AI的一个模组…...
TCP通信
第二十一章 网络通信 本章节主要讲解的是TCP和UDP两种通信方式它们都有着自己的优点和缺点 这两种通讯方式不通的地方就是TCP是一对一通信 UDP是一对多的通信方式 接下来会一一讲解 TCP通信 TCP通信方式呢 主要的通讯方式是一对一的通讯方式,也有着优点和缺点…...
2023济南大学acm新生赛题解
通过答题情况的难度系数: 签到:ACI 铜牌题:BG 银牌题:EF 金牌题:DHJKO 赛中暂未有人通过:LMNP A - AB Problem 直接根据公式计算就行。 #include<stdio.h> int main(){int a,b;scanf("%…...
docker-compose安装教程
1.确认docker-compose是否安装 docker-compose -v如上图所示表示未安装,需要安装。 如上图所示表示已经安装,不需要再安装,如果觉得版本低想升级,也可以继续安装。 2.离线安装 下载docker-compose安装包,上传到服务…...
【rabbitMQ】rabbitMQ用户,虚拟机地址(添加,修改,删除操作)
rabbitMQ的下载,安装和配置 https://blog.csdn.net/m0_67930426/article/details/134892759?spm1001.2014.3001.5502 rabbitMQ控制台模拟收发消息 https://blog.csdn.net/m0_67930426/article/details/134904365?spm1001.2014.3001.5502 目录 用户 添加用户…...
Python高级算法——动态规划
Python中的动态规划:高级算法解析 动态规划是一种解决多阶段决策问题的数学方法,常用于优化问题。它通过将问题分解为子问题,并在解决这些子问题的基础上构建全局最优解。在本文中,我们将深入讲解Python中的动态规划,…...
MySQL在Centos7环境安装
说明: • 安装与卸载中,⽤⼾全部切换成为root,⼀旦 安装,普通⽤⼾能使⽤的 1. 卸载不要的环境 [roothcss-ecs-1036 ~]# ps ajx |grep mariadb # 先检查是否有mariadb存在 13134 14844 14843 13134 pts/0 14843 S 1005 0:00 gr…...
halcon视觉缺陷检测常用的6种方法
一、缺陷检测综述 缺陷检测是视觉需求中难度最大一类需求,主要是其稳定性和精度的保证。首先常见缺陷:凹凸、污点瑕疵、划痕、裂缝、探伤等。常用的手法有六大金刚(在halcon中的ocv和印刷检测是针对印刷行业的检测,有对应算子封装): 1.blob+特征 2.blob+差分+特征 3.光度…...
openGauss学习笔记-151 openGauss 数据库运维-备份与恢复-物理备份与恢复之gs_basebackup
文章目录 openGauss学习笔记-151 openGauss 数据库运维-备份与恢复-物理备份与恢复之gs_basebackup151.1 背景信息151.2 前提条件151.3 语法151.4 示例151.5 从备份文件恢复数据 openGauss学习笔记-151 openGauss 数据库运维-备份与恢复-物理备份与恢复之gs_basebackup 151.1 …...
报错:Uncaught ReferenceError: Cannot access ‘l‘ before initialization
在文件 .babelrc 或 babel.config.js ,webpack.config.js 下配置 .babel 或 babel.config.js "plugins": ["babel/plugin-transform-runtime" ] webpack.config.js,详见 Webpack target module.exports {target: [web, es5], }...
计算机视觉-机器学习-人工智能顶会 会议地址
计算机视觉-机器学习-人工智能顶会 会议地址 最近应该要整理中文资料的参考文献,很多会议文献都需要补全会议地点(新国标要求)。四处百度感觉也挺麻烦的,而且没有比较齐全的网站可以搜索。因此自己整理了一下计算机视觉-机器学习…...
784. 字母大小写全排列
字母大小写全排列 描述 : 给定一个字符串 s ,通过将字符串 s 中的每个字母转变大小写,我们可以获得一个新的字符串。 返回 所有可能得到的字符串集合 。以 任意顺序 返回输出。 题目 : LeetCode 784.字母大小写全排列 : 784. 字母大小写全排列 分析…...
HarmonyOS鸿蒙应用开发——HTTP网络访问与封装
文章目录 基本使用封装参考 基本使用 鸿蒙应用发起HTTP请求的基本使用,如下: 导入http模块创建httpRequest对象发起http请求,并处理响应结果 第一、导入http模块: import http from ohos.net.http第二、创建httpRequest对象&a…...
vscode 编写爬虫爬取王者荣耀壁纸
网上关于爬虫大部分教程和编辑器用的都不是vscode ,此教程用到了vscode、Python、bs4、requests。 vscode配置Python安装环境可以看看这个大佬的教程 03-vscode安装和配置_哔哩哔哩_bilibili vscode配置爬虫环境可以参考这个大佬的教程【用Vscode实现简单的python…...
spring boot + uniapp 微信公众号 jsapi 支付
后端支付类 package com.ruoyi.coupon.payment;import com.google.gson.Gson; import com.ruoyi.coupon.payment.dto.PayParamJsapiDto; import com.ruoyi.coupon.payment.dto.RefundParam; import com.ruoyi.coupon.service.ICouponConfigService; import com.wechat.pay.jav…...
【数学建模】《实战数学建模:例题与讲解》第九讲-时间序列分析(含Matlab代码)
【数学建模】《实战数学建模:例题与讲解》第九讲-时间序列分析(含Matlab代码) 基本概念确定性时间序列分析方法平稳时间序列模型ARIMA模型季节性序列 习题8.11. 题目要求2.解题过程3.程序4.结果 习题8.21. 题目要求2.解题过程3.程序4.结果 习…...
web vue 项目 Docker化部署
Web 项目 Docker 化部署详细教程 目录 Web 项目 Docker 化部署概述Dockerfile 详解 构建阶段生产阶段 构建和运行 Docker 镜像 1. Web 项目 Docker 化部署概述 Docker 化部署的主要步骤分为以下几个阶段: 构建阶段(Build Stage):…...
idea大量爆红问题解决
问题描述 在学习和工作中,idea是程序员不可缺少的一个工具,但是突然在有些时候就会出现大量爆红的问题,发现无法跳转,无论是关机重启或者是替换root都无法解决 就是如上所展示的问题,但是程序依然可以启动。 问题解决…...
376. Wiggle Subsequence
376. Wiggle Subsequence 代码 class Solution { public:int wiggleMaxLength(vector<int>& nums) {int n nums.size();int res 1;int prediff 0;int curdiff 0;for(int i 0;i < n-1;i){curdiff nums[i1] - nums[i];if( (prediff > 0 && curdif…...
如何为服务器生成TLS证书
TLS(Transport Layer Security)证书是确保网络通信安全的重要手段,它通过加密技术保护传输的数据不被窃听和篡改。在服务器上配置TLS证书,可以使用户通过HTTPS协议安全地访问您的网站。本文将详细介绍如何在服务器上生成一个TLS证…...
第一篇:Agent2Agent (A2A) 协议——协作式人工智能的黎明
AI 领域的快速发展正在催生一个新时代,智能代理(agents)不再是孤立的个体,而是能够像一个数字团队一样协作。然而,当前 AI 生态系统的碎片化阻碍了这一愿景的实现,导致了“AI 巴别塔问题”——不同代理之间…...
土地利用/土地覆盖遥感解译与基于CLUE模型未来变化情景预测;从基础到高级,涵盖ArcGIS数据处理、ENVI遥感解译与CLUE模型情景模拟等
🔍 土地利用/土地覆盖数据是生态、环境和气象等诸多领域模型的关键输入参数。通过遥感影像解译技术,可以精准获取历史或当前任何一个区域的土地利用/土地覆盖情况。这些数据不仅能够用于评估区域生态环境的变化趋势,还能有效评价重大生态工程…...
Linux 中如何提取压缩文件 ?
Linux 是一种流行的开源操作系统,它提供了许多工具来管理、压缩和解压缩文件。压缩文件有助于节省存储空间,使数据传输更快。本指南将向您展示如何在 Linux 中提取不同类型的压缩文件。 1. Unpacking ZIP Files ZIP 文件是非常常见的,要在 …...
基于IDIG-GAN的小样本电机轴承故障诊断
目录 🔍 核心问题 一、IDIG-GAN模型原理 1. 整体架构 2. 核心创新点 (1) 梯度归一化(Gradient Normalization) (2) 判别器梯度间隙正则化(Discriminator Gradient Gap Regularization) (3) 自注意力机制(Self-Attention) 3. 完整损失函数 二…...
Chromium 136 编译指南 Windows篇:depot_tools 配置与源码获取(二)
引言 工欲善其事,必先利其器。在完成了 Visual Studio 2022 和 Windows SDK 的安装后,我们即将接触到 Chromium 开发生态中最核心的工具——depot_tools。这个由 Google 精心打造的工具集,就像是连接开发者与 Chromium 庞大代码库的智能桥梁…...
根目录0xa0属性对应的Ntfs!_SCB中的FileObject是什么时候被建立的----NTFS源代码分析--重要
根目录0xa0属性对应的Ntfs!_SCB中的FileObject是什么时候被建立的 第一部分: 0: kd> g Breakpoint 9 hit Ntfs!ReadIndexBuffer: f7173886 55 push ebp 0: kd> kc # 00 Ntfs!ReadIndexBuffer 01 Ntfs!FindFirstIndexEntry 02 Ntfs!NtfsUpda…...
