递归相关练习
21. 合并两个有序链表 - 力扣(LeetCode)


重复子问题:将l1的头节点跟l2的头结点比较 得到一个较小的头节点l1 随后继续比较 将l1后面一个节点跟l2第一个节点比较 又得到一个较小的节点 不断下去
递归出口:当l1或者l2为空时候 返回另一个即可

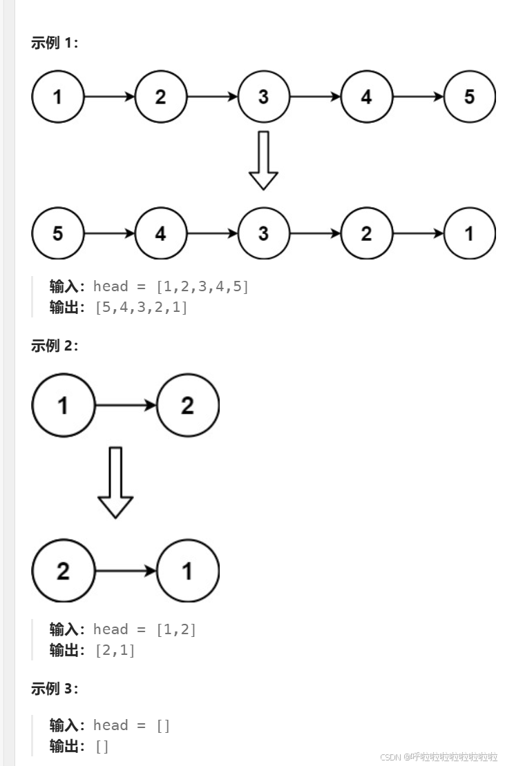
206. 反转链表 - 力扣(LeetCode)


解题思路 :不进行处理,先让head走到最后一个节点,如果有head为空或者下一个节点为空的话,直接返回最后一个节点 并做个新节点的头 紧接着回退 并且重复每个一样的子过程
让当前节点后面节点指向自己 并且自己指向空

24. 两两交换链表中的节点 - 力扣(LeetCode)


思路:两两交换 先遍历到最后一个节点
递归出口:看看最后一个节点或下一个节点是否为空 就回退子问题: 1->2 3->4 解决思路一样
函数头设计 dfs(head.next.next)
将4->3 3->4.next 2->1 1->2.next最后返回head.next
public ListNode swapPairs(ListNode head) {if (head == null || head.next == null) {return head;}ListNode cur = swapPairs(head.next.next);ListNode ret = head.next;ret.next = head;head.next = cur;return ret;}
50. Pow(x, n) - 力扣(LeetCode)


解题思路:当求一个数的次方时,用循环遍历的方式必然效率是低下的
如图 :当求2^12时候 我们可以先求2^6 当求2^6时候 我们可以求2^3
当求2^3 时候 求2^1 再乘以x本身 即可求出
所以可以得出可以使用到递归求解
递归出口:当 n=0时 返回1即可细节:如果n为负数 只需用1.0除法运算

相关文章:
递归相关练习
21. 合并两个有序链表 - 力扣(LeetCode) 重复子问题:将l1的头节点跟l2的头结点比较 得到一个较小的头节点l1 随后继续比较 将l1后面一个节点跟l2第一个节点比较 又得到一个较小的节点 不断下去 递归出口:当l1或者l2为空时候 返回…...
租房市场新动力:基于Spring Boot的管理系统
2相关技术 2.1 MYSQL数据库 MySQL是一个真正的多用户、多线程SQL数据库服务器。 是基于SQL的客户/服务器模式的关系数据库管理系统,它的有点有有功能强大、使用简单、管理方便、安全可靠性高、运行速度快、多线程、跨平台性、完全网络化、稳定性等,非常…...
基于Python的B站视频数据分析与可视化
基于Python的B站视频数据分析与可视化 爬取视频、UP主信息、视频评论 功能列表 关键词搜索指定帖子ID爬取指定UP主的主页爬取支持评论爬取生成评论词云图支持数据存在数据库支持可视化 部分效果演示 爬取的UP主信息 关键词搜索爬取 指定UP主的主页爬取 指定为黑马的了 爬取视…...
远程:HTTP基本身份验证失败。提供的密码或令牌不正确,或者您的账户启用了两步验证,您必须使用个人访问令牌而不是密码。
问题描述: remote: HTTP Basic: Access denied. The provided password or token is incorrect or your account has 2FA enabled and you must use a personal access token insteadof a password. See http://gitlab.cnovit.com/help/topics/git/troubleshooting…...
聚合值和非聚合值比较【SQL】
文章目录 聚合值和非聚合值比较背景可以在HAVING中使用的聚合条件如何实现与非聚合值的比较与非聚合值的特殊比较 聚合值和非聚合值比较 背景 在数据库中,聚合值和非聚合值通常不直接比较,因为它们的上下文和用途不同。聚合值是通过聚合函数计算出来的…...
Python 学习 DAY1
现在我算是发现了,计算机这里就是得一直不停的学,卷完c卷java,卷完java卷python,卷完python卷机器学习、深度学习。《荀子劝学篇》:“君子曰:学不可以已。” 之前一直学python学得比较碎片化,现…...
`Pendulum`: 掌握时间的艺术,让Python日期时间操作不再复杂
文章目录 Pendulum: 掌握时间的艺术,让Python日期时间操作不再复杂第一部分:背景介绍第二部分:Pendulum是什么?第三部分:如何安装Pendulum?第四部分:简单的库函数使用方法now()today()tomorrow(…...
nginx------HTTP模块配置详解
Nginx 的 server 配置块是 Nginx 配置文件中的一个关键部分,用于定义虚拟主机。每个 server 块可以包含多个 location 块和其他指令,以处理特定的请求。下面是对 server 配置块的详细解释: 一 server 配置块的基本结构 http {# 其他全局配置…...
听见文本的魅力:AI 与未来的语音交互
AI 与未来的语音交互 引言什么是文本转语音(TTS)?当前 TTS 技术现状国内海外文本转语音能力调研文本转语音能力说明多情感风格SSML语音合成标记语言 未来趋势 引言 随着人工智能(AI)技术的迅猛发展,文本转…...
Qt 窗口可见性 之 close函数和hide函数
close函数 基本功能 close() 方法的主要功能是关闭窗口,并触发一系列与关闭相关的事件和信号。调用此方法后,窗口将不再可见,但窗口对象本身仍然存在,并且可以被再次显示(通过调用 show() 方法)。 事件处…...
git bisect和git blame
1.用 git bisect 找到出错的commit 设置开始,最新的一个已知的错误的commit和第一个已知的正确的commit,通过二分法,找出第一个出错的commit。 二分查找法(binary search method)或二分法(bisection meth…...
【面试题】Node.JS篇
1. 什么是Node.js?它的主要特点是什么?适用于哪些场景? Node.js 是一个基于Chrome V8引擎的JavaScript运行时环境,它允许JavaScript代码在服务器端运行。Node.js的主要特点是事件驱动、非阻塞I/O模型,这使得它非常适合处理高并发请求和实时应用。它适…...
Leetcode11:盛水最多的容器
原题地址:. - 力扣(LeetCode) 题目描述: 给定一个长度为 n 的整数数组 height 。有 n 条垂线,第 i 条线的两个端点是 (i, 0) 和 (i, height[i]) 。 找出其中的两条线,使得它们与 x 轴共同构成的容器可以容纳…...
php如何对海量数据进行基数统计
在PHP中,对海量数据进行基数统计通常可以使用布隆过滤器(Bloom Filter)或者Count-Min Sketch算法。以下是使用Count-Min Sketch算法的一个简单示例: class CountMinSketch {private $rows;private $columns;private $values;publ…...
git命令报错:fatal: not a git repository (or any of the parent directories): .git
当你执行 Git 命令时遇到错误信息 "fatal: not a git repository (or any of the parent directories): .git",这表明你当前所在的目录不是一个 Git 仓库,或者你的工作目录不在 Git 仓库的根目录下。以下是一些解决这个问题的步骤:…...
如何通过sip信令以及抓包文件分析媒体发到哪个地方
前言 问题描述:A的媒体没转发到B,B只能听到回铃音,没有A的说话声音,并且fs这边按正常的信令发送了. 分析流程 分析早期媒体发送到哪一个IP 10.19.0.1发送了一个请求给10.19.0.157这个IP,然而这里的SDP媒体地址&am…...
【网络安全零基础入门】一文搞懂Javascript实现Post请求、Ajax请求、输出数据到页面、实现前进后退、文件上传
文章目录 一、Javascript原生post请求写法二、原生JS封装Ajax请求三、JS里的值或内容输出到HTML网页中四、Javascript页面后退前进刷新示例五、Javascript实现文件上传👉1.成长路线图&学习规划👈👉2.网安入门到进阶视频教程👈…...
NVR管理平台EasyNVR多个NVR同时管理综合应用方案
为了推动应急管理能力的现代化,应急管理部提出了加速现代信息技术与应急管理业务深度融合的宏伟蓝图。这一计划不仅是国家加强和改进应急管理工作的战略重点,也是应对当前应急管理形势的严峻挑战和满足人民群众对公共安全需求的必要举措。 为了实现应急管…...
SpringBoot核心框架之AOP详解
SpringBoot核心框架之AOP详解 一、AOP基础 1.1 AOP概述 AOP:Aspect Oriented Programming(面向切面编程,面向方面编程),其实就是面向特定方法编程。 场景:项目部分功能运行较慢,定位执行耗时…...
Linux: network: ifconfig已经过时,建议使用ip addr相关命令
最近有一个同事在问网络的问题,在debug的过程中还在使用ifconfig命令查看IP的相关信息。 但是这个ifconfig已经不推荐使用了,最好使用ip 相关的命令做操作。 有些信息使用ifconfig显示不出来 ifconfig eth0: flags=4163<UP,BROADCAST,RUNNING,MULTICAST> mtu 1500ine…...
Prompt Tuning、P-Tuning、Prefix Tuning的区别
一、Prompt Tuning、P-Tuning、Prefix Tuning的区别 1. Prompt Tuning(提示调优) 核心思想:固定预训练模型参数,仅学习额外的连续提示向量(通常是嵌入层的一部分)。实现方式:在输入文本前添加可训练的连续向量(软提示),模型只更新这些提示参数。优势:参数量少(仅提…...
rknn优化教程(二)
文章目录 1. 前述2. 三方库的封装2.1 xrepo中的库2.2 xrepo之外的库2.2.1 opencv2.2.2 rknnrt2.2.3 spdlog 3. rknn_engine库 1. 前述 OK,开始写第二篇的内容了。这篇博客主要能写一下: 如何给一些三方库按照xmake方式进行封装,供调用如何按…...
2025年能源电力系统与流体力学国际会议 (EPSFD 2025)
2025年能源电力系统与流体力学国际会议(EPSFD 2025)将于本年度在美丽的杭州盛大召开。作为全球能源、电力系统以及流体力学领域的顶级盛会,EPSFD 2025旨在为来自世界各地的科学家、工程师和研究人员提供一个展示最新研究成果、分享实践经验及…...
以下是对华为 HarmonyOS NETX 5属性动画(ArkTS)文档的结构化整理,通过层级标题、表格和代码块提升可读性:
一、属性动画概述NETX 作用:实现组件通用属性的渐变过渡效果,提升用户体验。支持属性:width、height、backgroundColor、opacity、scale、rotate、translate等。注意事项: 布局类属性(如宽高)变化时&#…...
Cilium动手实验室: 精通之旅---20.Isovalent Enterprise for Cilium: Zero Trust Visibility
Cilium动手实验室: 精通之旅---20.Isovalent Enterprise for Cilium: Zero Trust Visibility 1. 实验室环境1.1 实验室环境1.2 小测试 2. The Endor System2.1 部署应用2.2 检查现有策略 3. Cilium 策略实体3.1 创建 allow-all 网络策略3.2 在 Hubble CLI 中验证网络策略源3.3 …...
第25节 Node.js 断言测试
Node.js的assert模块主要用于编写程序的单元测试时使用,通过断言可以提早发现和排查出错误。 稳定性: 5 - 锁定 这个模块可用于应用的单元测试,通过 require(assert) 可以使用这个模块。 assert.fail(actual, expected, message, operator) 使用参数…...
相机从app启动流程
一、流程框架图 二、具体流程分析 1、得到cameralist和对应的静态信息 目录如下: 重点代码分析: 启动相机前,先要通过getCameraIdList获取camera的个数以及id,然后可以通过getCameraCharacteristics获取对应id camera的capabilities(静态信息)进行一些openCamera前的…...
论文浅尝 | 基于判别指令微调生成式大语言模型的知识图谱补全方法(ISWC2024)
笔记整理:刘治强,浙江大学硕士生,研究方向为知识图谱表示学习,大语言模型 论文链接:http://arxiv.org/abs/2407.16127 发表会议:ISWC 2024 1. 动机 传统的知识图谱补全(KGC)模型通过…...
HTML前端开发:JavaScript 常用事件详解
作为前端开发的核心,JavaScript 事件是用户与网页交互的基础。以下是常见事件的详细说明和用法示例: 1. onclick - 点击事件 当元素被单击时触发(左键点击) button.onclick function() {alert("按钮被点击了!&…...
Unsafe Fileupload篇补充-木马的详细教程与木马分享(中国蚁剑方式)
在之前的皮卡丘靶场第九期Unsafe Fileupload篇中我们学习了木马的原理并且学了一个简单的木马文件 本期内容是为了更好的为大家解释木马(服务器方面的)的原理,连接,以及各种木马及连接工具的分享 文件木马:https://w…...
