shukla方差和相对平均偏差
参考资料:实用统计学【李奉令】
Eberhart-Russell模型、Shukla模型、相对平均偏差稳定性分析比较
相对平均偏差在品种稳定性分析中的作用
1、Shukla方差
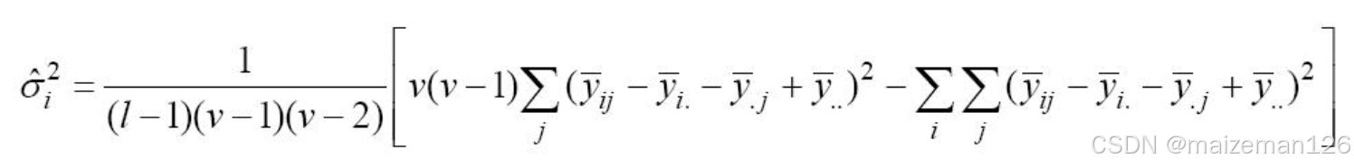
生物统计中,用于描述一个群体离散程度的统计量有离差、方差、极差等, 国内品种区域试验中有在使用 Shukla 模型稳定性分析方法,需要计算 Shukla 方差。Shukla方差计算公式如下:

其中,l为试点数,v为品种数。i对应品种,j对应地点。
2、相对平均偏差
相对平均偏差,是一个关于样本离散度的统计量。相对平均偏差 RSD,适合用于一个试验中材料间的离散程度比较。计算公式如下:

3、excel计算过程
使用文中案例,对数据进行统计分析,计算结果如下:【计算文件请从绑定的资源中下载】

(1)相对平均偏差
计算相对平均偏差需要辅助列1,此列E2单元格公式如下:
=ABS(D2-SUMIF($K$2:$K$6,B2,$L$2:$L$6))
根据定义计算平均相对偏差,O2单元格计算公式如下:
=SUMIF($B$2:$B$51,K2,$E$2:$E$51)/(COUNTIF($B$2:$B$51,K2)*L2)
(2)shukla方差
shukla方差的计算需要材料1-5的均值,地点1-5的均值,以及整体均值,位于L列,求均值的过程相对比较简单,这里不再显示公式。重点说明辅助列2,此列I2单元格计算公式如下:
=AVERAGEIFS(D:D,A:A,G2,B:B,H2)-SUMIF($K$10:$K$14,G2,$L$10:$L$14)-SUMIF($K$2:$K$6,H2,$L$2:$L$6)+$L$18
根据定义计算shukla方差,N2单元格计算公式如下:
=1/(4*4*3)*((5*4*SUMSQ(IF($H$2:$H$26=K2,$I$2:$I$26,"")))-SUMSQ($I$2:$I$26))
4、R语言验证
#加载statgenGxE包
library(statgenGxE)# 读取数据
# 尽量避免使用汉字
df<-read.csv("...\\shukla方差.csv")
# 查看数据
head(df)
# 将数据转换为TD类型
# 加载statgenSTA包
library(statgenSTA)
td<-createTD(data=df,genotype="var",trial="loc")# 计算shukla方差
sk<-gxeStability(td,trait="val",method= c("superiority", "static", "wricke"))
sk$static
结果显示如下:

所用计算公式如下:

其中n为环境数量减1。
excel验证如下:

相关文章:
shukla方差和相对平均偏差
参考资料:实用统计学【李奉令】 Eberhart-Russell模型、Shukla模型、相对平均偏差稳定性分析比较 相对平均偏差在品种稳定性分析中的作用 1、Shukla方差 生物统计中,用于描述一个群体离散程度的统计量有离差、方差、极差等, 国内品种区域试…...
双指针(二)双指针到底是怎么个事
一.有效的三角形个数 有效的三角形个数 class Solution {public int triangleNumber(int[] nums) {Arrays.sort(nums);int i0,end nums.length-1;int count 0;for( i end;i>2;i--){int left 0;int right i-1;while(left<right){if(nums[left]nums[right]>nums…...
vscode通过remote-ssh连接远程开发机
文章目录 安装扩展注意事项:tips其他参数安装扩展 安装VS Code和SSH-Remote扩展:首先,需要确保你已经在本地计算机上安装了VS Code,并且在扩展市场中搜索并安装了"Remote - SSH"扩展。配置SSH:在本地计算机上,打开VS Code的命令面板(使用快捷键"Ctrl+Shi…...
uniapp实现H5和微信小程序获取当前位置(腾讯地图)
之前的一个老项目,使用 uniapp 的 uni.getLocation 发现H5端定位不准确,比如余杭区会定位到临平区,根据官方文档初步判断是项目的uniapp的版本太低。 我选择的方式不是区更新uniapp的版本,是直接使用高德地图的api获取定位。 1.首…...
SQL HAVING子句
SQL 是一种基于“面向集合”思想设计的语言。HAVING 子句是一个聚合函数,用于过滤分组结果。 1 实践 1.1 缺失的编号 图 连续编号记录表t_seq_record 需求:判断seq 列编号是否有缺失。 SELECT 存在缺失的编号 AS res FROM t_seq_record HAVING COUN…...
计算机视觉基础:OpenCV库详解
💓 博客主页:瑕疵的CSDN主页 📝 Gitee主页:瑕疵的gitee主页 ⏩ 文章专栏:《热点资讯》 计算机视觉基础:OpenCV库详解 计算机视觉基础:OpenCV库详解 计算机视觉基础:OpenCV库详解 引…...
UI自动化测试工具(超详细总结)
🍅 点击文末小卡片 ,免费获取软件测试全套资料,资料在手,涨薪更快 常用工具 1、QTP:商业化的功能测试工具,收费,可用于web自动化测试 2、Robot Framework:基于Python可扩展的关…...
AJAX 全面教程:从基础到高级
AJAX 全面教程:从基础到高级 目录 什么是 AJAXAJAX 的工作原理AJAX 的主要对象AJAX 的基本用法AJAX 与 JSONAJAX 的高级用法AJAX 的错误处理AJAX 的性能优化AJAX 的安全性AJAX 的应用场景总结与展望 什么是 AJAX AJAX(Asynchronous JavaScript and XML…...
ONLYOFFICE 8.2测评:功能增强与体验优化,打造高效办公新体验
引言 随着数字化办公需求的不断增长,在线办公软件市场竞争愈加激烈。在众多办公软件中,ONLYOFFICE 无疑是一个颇具特色的选择。它不仅支持文档、表格和演示文稿的在线编辑,还通过开放的接口与强大的协作功能,吸引了众多企业和个人…...
Science Robotics 综述揭示演化研究新范式,从机器人复活远古生物!
在地球46亿年的漫长历史长河中,生命的演化过程充满着未解之谜。如何从零散的化石证据中还原古生物的真实面貌?如何理解关键演化节点的具体过程?10月23日,Science Robotics发表重磅综述,首次系统性提出"古生物启发…...
uni-app表格带分页,后端处理过每页显示多少条
uni-app表格带分页,后端处理过每页可以显示多少条,一句设置好了每页显示的数据量,不需要钱的在进行操作,在进行对数据的截取 <th-table :column"column" :listData"data" :checkSort"checkSort"…...
基于STM32设计的矿山环境监测系统(NBIOT)_262
文章目录 一、前言1.1 项目介绍【1】开发背景【2】研究的意义【3】最终实现需求【4】项目硬件模块组成1.2 设计思路【1】整体设计思路【2】上位机开发思路1.3 项目开发背景【1】选题的意义【2】摘要【3】国内外相关研究现状【5】参考文献1.4 开发工具的选择【1】设备端开发【2】…...
【初阶数据结构与算法】线性表之链表的分类以及双链表的定义与实现
文章目录 一、链表的分类二、双链表的实现1.双链表结构的定义2.双链表的初始化和销毁初始化函数1初始化函数2销毁函数 3.双链表的打印以及节点的申请打印函数节点的申请 4.双链表的头插和尾插头插函数尾插函数 5.双链表的查找和判空查找函数判空函数 6.双链表的头删和尾删头删函…...
219页华为供应链管理:市场预测SOP计划、销售预测与存货管理精要
一、华为ISC供应链管理 华为的集成供应链(ISC)领先实践和SISC(Siyuan Integrated Supply Chain)架构体现了其在供应链管理领域的深度和广度,以下是7点关键介绍: 全面的供应链视野:华为ISC涵盖…...
mac 安装指定的node和npm版本
mac 安装指定的node和npm版本 0.添加映像: export N_NODE_MIRRORhttps://npmmirror.com/mirrors/node 1、使用 npm 全局安装 n npm install -g n 如果报了sudo chown -R 502:20 "/Users/xxx/.npm" sudo npm install -g n 2、根据需求安装指定版本的 node …...
为什么分布式光伏规模是6MW为界点?
安科瑞 Acrel-Tu1990 最近,能源局颁布了一项规定,明确指出6兆瓦(MW)及以上的分布式光伏电站必须实现自发自用,自行消纳电力。多个省份的能源局进一步规定,规模超过6兆瓦的电站需按照集中式管理进行操作。此…...
arm64架构的linux 配置vm_page_prot方式
在 ARM64 架构上,通过 vm_page_prot 属性可以修改 UIO 映射内存的访问权限及缓存策略,常见的有非缓存(Non-cached)、写合并(Write Combine)等。下面是 ARM64 常用的 vm_page_prot 设置及其对应的操作方式。…...
vue3 + naive ui card header 和 title 冲突 bug
背景描述 最近发现一个 naive ui 上的问题,之前好好的,某一次升级后就出现了一个 bug,Modal 使用 card 布局后,Header Solt 下面的内容不见了,变成了 title,因为这个 solt 里面是有操作 action 的…...
Ubuntu 22.04.5 LTS配置 bond
本次纯实验,不会讲解bond功能,配置bond mode 1 和 mode 4 如何配置 确定内核模块是否加载 实验使用root用户权限,非root用户使用sudo 调用root权限 rootubuntu22:~# lsmod | grep bonding rootubuntu22:~# modprobe bonding rootubuntu22:~# …...
100种算法【Python版】第58篇——滤波算法之卡尔曼滤波
本文目录 1 算法步骤2 算法示例2.1 示例描述2.2 python代码3 算法应用:二维运动目标跟踪问题滤波算法是用于从信号中提取有用信息、去除噪声或估计系统状态的技术。在时间序列分析、信号处理和控制系统中,滤波算法起着关键作用。 1 算法步骤 卡尔曼滤波(Kalman Filter)的…...
一键解决!VisualCppRedist AIO彻底告别Windows DLL错误困扰
一键解决!VisualCppRedist AIO彻底告别Windows DLL错误困扰 【免费下载链接】vcredist AIO Repack for latest Microsoft Visual C Redistributable Runtimes 项目地址: https://gitcode.com/gh_mirrors/vc/vcredist 还记得那个令人抓狂的时刻吗?…...
如何快速掌握MRIcroGL:医学影像三维可视化的完整指南
如何快速掌握MRIcroGL:医学影像三维可视化的完整指南 【免费下载链接】MRIcroGL v1.2 GLSL volume rendering. Able to view NIfTI, DICOM, MGH, MHD, NRRD, AFNI format images. 项目地址: https://gitcode.com/gh_mirrors/mr/MRIcroGL MRIcroGL是一款功能强…...
Mac窗口置顶神器Topit:3步解决多窗口遮挡难题,工作效率提升150%
Mac窗口置顶神器Topit:3步解决多窗口遮挡难题,工作效率提升150% 【免费下载链接】Topit Pin any window to the top of your screen / 在Mac上将你的任何窗口强制置顶 项目地址: https://gitcode.com/gh_mirrors/to/Topit 在Mac上进行多任务处理时…...
别再百度了!工程师私藏的5个免费Datasheet查询网站(附使用技巧)
工程师必备:5个高效Datasheet查询工具与实战技巧 每次调试电路板时,最让人抓狂的莫过于找不到最新版的元器件规格书。上周我就遇到一个案例:某款MCU的旧版手册标注的引脚功能与实际芯片不符,导致整个通信模块无法工作。这种经历让…...
二分查找算法:中间值左偏还是右偏?
还记得吗?我们在前面探讨了区间的选择和主循环的停止判断条件,但是没有提到 中间索引位置的计算公式 middle(st, ed)。当区间的长度是奇数时,中间索引只有一个位置 mid (st ed) / 2,而当区间长度是偶数时,中间索引就…...
英雄联盟Akari助手:你的智能游戏伴侣完整指南,轻松提升游戏体验 [特殊字符]
英雄联盟Akari助手:你的智能游戏伴侣完整指南,轻松提升游戏体验 🚀 【免费下载链接】League-Toolkit An all-in-one toolkit for LeagueClient. Gathering power 🚀. 项目地址: https://gitcode.com/gh_mirrors/le/League-Toolk…...
终极风扇控制指南:如何用开源工具FanControl精准调节你的电脑散热系统
终极风扇控制指南:如何用开源工具FanControl精准调节你的电脑散热系统 【免费下载链接】FanControl.Releases This is the release repository for Fan Control, a highly customizable fan controlling software for Windows. 项目地址: https://gitcode.com/Git…...
Cursor编辑器集成Claude 3:AI双模型编程实战与成本优化指南
1. 项目概述:当AI代码助手遇上你的IDE 最近在开发者圈子里,一个名为“Cursor-Claude-Extension”的开源项目热度持续攀升。简单来说,它是一款为Cursor编辑器设计的扩展插件,核心功能是将Anthropic公司强大的Claude系列模型&#x…...
运维实战:ESXi主机物理网卡闪断致部分VM网络中断的排查与应急恢复
1. 故障现象与初步判断 那天凌晨2点15分,值班手机突然响起刺耳的告警声。监控系统显示,ESXi主机上的三台关键业务虚拟机网络连接中断,而其他虚拟机却运行正常。这种部分VM断网的情况立刻引起了我的警觉——这通常意味着问题出在物理层而非虚拟…...
HS2-HF_Patch终极指南:一站式汉化与功能增强解决方案
HS2-HF_Patch终极指南:一站式汉化与功能增强解决方案 【免费下载链接】HS2-HF_Patch Automatically translate, uncensor and update HoneySelect2! 项目地址: https://gitcode.com/gh_mirrors/hs/HS2-HF_Patch HS2-HF_Patch是《Honey Select 2》玩家的终极解…...
