使用 Cannonballs 进行实用导体粗糙度建模

在 GB/s 制度下,导体损耗的精确建模是高速串行链路设计成功的前提。未能对粗糙度效果进行建模可能会毁了您的一天。例如,图 1 显示了与测量数据相比,无粗糙度的 40 英寸印刷电路板 (PCB) 走线的模拟总损耗。总损耗是电介质损耗和导体损耗的总和。在 12.5 GHz 时,仿真数据和测量数据之间的插入损耗只有 -3dB 的增量,而 25GB/s 的粗铜则有一半的眼图高度张开。
那么,炮弹与铜粗糙度建模有什么关系呢?嗯,除了分享相等球体紧密堆积的原则和有一个很酷的名字之外,没有太多。
根据维基百科,相等球体的紧密堆积被定义为“全等球体以无限、规则的排列(或晶格)的密集排列”[8]。三次紧密堆积和六边形紧密堆积是两个规则晶格的例子。炮弹堆栈是相等球体的立方紧密堆积的一个例子,是本设计说明中对导体表面粗糙度进行建模的基础。

图 1 40 英寸走线的测量插入损耗与仿真的比较。眼图显示,在 12.5GHz 时,插入损耗为 -3dB delta,在 25GB/s 时,眼图张开度只有一半。使用 Keysight EEsof EDA ADS 软件进行建模和仿真 [14]。
背景
在印刷电路 (PCB) 结构中,没有完美光滑的导体表面。总是存在一定程度的粗糙度,这会促进对介电材料的粘附。不幸的是,这种粗糙度也会导致额外的导体损耗。
电镀 (ED) 铜广泛用于 PCB 行业。ED 铜箔的成品板具有哑光面和鼓面。鼓侧始终比蒙版侧更平滑。
哑光面通常连接到芯层压板上。对于高频板,有时箔的滚筒面会层压到芯上。在这种情况下,它被称为反向处理 (RT) 箔。
各种箔制造商提供具有不同粗糙度的 ED 铜箔。每个供应商都倾向于使用自己的品牌名称来营销他们的产品。目前,铜箔粗糙度似乎分为三类:
· 标准
· 超薄型 (VLP)
· 超薄型 (ULP) 或非型 (PF)
引用 ULP 类的其他一些常用名称是 HVLP 或 eVLP。
轮廓仪通常用于量化电解铜的粗糙度齿形。齿形通常以两侧的 10 点平均粗糙度 (Rz) 来报告,但有时滚筒侧在制造商的数据表中报告平均粗糙度 (Ra )。一些制造商还报告 RMS 粗糙度 (Rq )。
粗糙度建模
多年来开发了几种建模方法来确定粗糙度校正因子 (KSR)。当乘法应用于光滑导体衰减 (α光滑 ) 时,由于粗糙度 (α粗糙) 引起的衰减可以由下式确定:
方程 1

多年来,最流行的方法是 Hammerstad 和 Jensen (H&J) 模型,基于 S. P. Morgan 在 1949 年所做的工作。在特定频率下的 H&J 粗糙度校正因子 (KHJ ) 完全基于与 S. P. Morgan 功率损耗数据的数学拟合,并由 [2] 确定:
方程 2

哪里:
KHJ = H&J 粗糙度校正因子;
∆ = RMS 齿高(米);
δ = 集肤深度(以米为单位)。
交流电 (AC) 导致导体损耗与频率的平方根成正比。这是由于集肤效应导致电流向外边缘重新分配。得到的集肤深度 (δ ) 是电流围绕周边流动的有效厚度,是频率的函数。
特定频率的集肤深度由以下因素决定:
方程 3

哪里:
δ = 集肤深度(以米为单位);
f = 以 Hz 为单位的正弦波频率;
μ0= 自由空间的磁导率 =1.256E-6 Wb/A-m;
σ = 电导率,单位为 S/m。对于退火铜 σ = 5.80E7 S/m。
该模型对于高达 15 GHz 左右的微带几何结构,对于小于 2 RMS 的表面粗糙度,具有良好的相关性。然而,对于非常粗糙的铜 [3] ,对于高于 5GHz 的频率,它被证明不太准确 。
近年来,由于不断提高的数据速率对更好的建模精度的需求,Huray 模型 [4] 越来越受欢迎。它采用真实世界的物理方法来解释由于表面粗糙度引起的损耗。该模型基于类似于“雪球”的球形的非均匀分布,并堆叠在一起形成金字塔形几何形状,如图 2 中的扫描电子显微镜 (SEM) 照片所示。

图 2:哑光表面上电沉积铜结核的 SEM 照片,类似于热处理基箔上的“雪球”。照片来源:Oak-Mitsui。
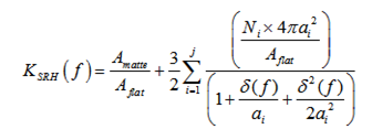
通过应用电磁波分析,球体损耗的叠加可用于计算结构的总损耗。由于损耗与粗糙度轮廓的表面积成正比,因此可以通过 [1] 解析求解粗糙度校正因子 (KSRH) 的准确估计:
方程 4

哪里:
KSRH (f ) = 粗糙度校正因子,作为频率的函数,由于基于 Huray 模型的表面粗糙度;
平面 = 哑光基底与平面相比的相对面积;
ai = 第 i 个大小的铜球(雪球)的半径,单位为米;
Ni = 每单位平面面积的第 i 个尺寸的铜球数,单位为平方米;
δ (f ) = 集肤深度,与频率的关系,单位为米。
西蒙诺维奇-炮弹模型
使用相等球体的立方紧密堆积概念,Huray 模型的球体半径 (ai ) 和瓦片面积 (Aflat) 参数现在可以仅由制造商数据表中公布的粗糙度参数来确定。
为什么这很重要?嗯,正如我的朋友 Eric Bogatin 经常说的那样,“有时现在就是一个好的答案!比迟到的好回答更重要”。 例如,通常在背板设计的架构阶段,您将经历一些假设场景来决定最终的物理配置。拥有一种仅从数据表中准确预测损耗的方法,而不是通过 [7] 中描述的设计反馈方法,可以节省大量时间和金钱。
另一个原因是,它让您对测量结果有一种直觉,以帮助确定差异的根本原因;或者清理来自商业建模工具的仿真结果。如果您和我一样,我总是喜欢有其他方法来验证我是否正确使用了该工具。
回想一下,损耗与粗糙度轮廓的表面积成正比,Cannonball 模型可用于最佳表示表面粗糙度。如图 3 所示,有三排球体堆叠在方形图块底座上。第一行有 9 个球体,中间行有 4 个球体,顶部有 1 个球体。

图 3 Cannonball 模型显示了 14 个大小均匀的球体的堆栈(左)。俯视图和前视图(右)显示了底座的面积 (A平面)、高度 (HRMS) 和球体半径 (r)。
由于 Cannonball 模型假设 Amatte/Aflat = 1 的比率,并且有 14 个球体,因此 公式 4 可以简化为:
方程 5

哪里:
KSR (f ) = 粗糙度校正因子,作为频率的函数,由于基于 Cannonball 模型的表面粗糙度;
r = 球体半径,单位为米;δ (f ) = 集肤深度,与频率的关系,单位为米;
A平面 = 围绕 9 个基球的方形图块基面面积(以平方米为单位)。
在我的白皮书 [16] 中,单个球体的半径为:

而方形平底的面积为:

您可以通过下面的公式 6 和公式 7 来估算滚筒和遮光面的 RMS 高度 :
方程 6

其中:Rz_drum 是 10 点平均粗糙度,以米为单位。
方程 7

其中:Rz_matte 是 10 点平均粗糙度,以米为单位。
实例
为了测试模型的准确性,使用了 Yuriy Shlepnev [5] 在 2014 年 2 月的 PCBDesign007 文章中的电路板参数 。测量数据来自 Simberian Inc. 提供的 Simbeor 软件设计示例。 [9].提取的去嵌入广义模态 S 参数 (GMS) 数据由 2 英寸和 8 英寸单端带状线轨迹计算得出。它们最初是从 Wild River Technology 的 CMP-28 40 GHz 高速信道建模平台 [14] 测量的。

CMP-28 信道建模平台(图 4 左图来源为 Wild River Technology)是开发高达 40 GHz 的高速系统的强大工具,是模型开发和分析的优秀平台。它总共包含 27 个微带线和带状线互连结构。所有传感器均配备 2.92 毫米连接器,便于使用矢量网络分析仪 (VNA) 进行精确测量。
PCB 是用 Isola FR408HR 材料和反向处理 (RT) 1 盎司箔制成的。FR408HR 3313 材料在 10GHz 时的介电常数 (Dk) 和介损因数 (Df) 是从 Isola 的基于 isoStack® 的在线设计工具 [10] 获得的。此工具是免费的,但您需要注册才能使用它。图 5 显示了一个示例。
由于蚀刻因子,典型的迹线在蚀刻后通常具有梯形横截面。由于该工具在阻抗计算中不处理梯形横截面,因此根据 2:1 的刻蚀因子(60 度锥度)确定了等效矩形走线宽度。分析中使用了 11 mils 的设计标称走线宽度,每个 isoStack® 的 1 盎司走线厚度为 1.25 mils。

图 5 Isola 的 isoStack® 在线软件示例,用于确定 CMP-28 板的介电厚度、Dk、Df 和特性阻抗。
FR408HR芯层压板上使用的默认箔是 MLS 3 级受控伸长率 RT 箔。粗糙度参数很容易从 Oak-mitsui [11] 获得。查看数据表,鼓面和亚光面的 1 盎司铜粗糙度参数 Rz 分别为 120μin (3.175 μm) 和 225μin (5.715μm)。因为这是 RT 箔,所以滚筒面是经过处理的一面,并与芯层压板粘合在一起。
在最终层压之前,通常会对铜表面进行氧化物或微蚀刻处理。这增强了对预浸料材料的附着力。CO-BRA BOND® [12] 或 MultiBond MP [13] 是业内常用的氧化物替代微蚀刻处理的两个例子。通常,处理完成后会去除 50 μin (1.27μm) 的铜。但根据电路板车间的工艺控制,这可能是 70-100 μin (1.78-2.54μm) 或更高。
蚀刻处理会形成一个充满微空隙的表面,该空隙遵循下面的粗糙轮廓,并允许树脂挤压并填充空隙,从而提供良好的锚定。由于在微蚀刻处理过程中去除了一些铜,因此我们需要将哑光面的标称粗糙度参数减少标称 50 μin (1.27 μm),以获得 175μin (4.443μm) 的新厚度。
图 6 显示了 MLS RT 箔典型表面的 SEM 照片,由 Oak-mitsui 提供。左图和中图分别是经过处理的滚筒面和未经处理的哑光面。右图是哑光面的 5000x SEM 照片,显示蚀刻处理后出现微空隙。

图 6:MLS RT 箔的 SEM 照片示例由 Oak-mitsui 提供。左侧是经过处理的鼓侧,中间是未处理的遮罩侧。右侧的 SEM 照片是蚀刻处理后的哑光面。
数据表和设计参数总结于表 1 中。从 isoStack® 软件获得相应的 Dk 、 Df 、 芯 、 预浸料 和 迹线 厚度, 如图 5 所示。粗糙度参数来自 Oak-mitsui 数据表。微蚀刻处理后哑光面的 Rz (Rz = 4.443μm) 用于测定 KSR_matte。
表 1 从制造商的数据表和设计目标中获得的 CMP-28 测试板参数。
| 参数 | FR408HR |
| Dk 芯/预浸料 | 3.65/3.59 @10GHz |
| Df Core/Prepreg(深模料) | 0.0094/0.0095 @ 10千兆赫 |
| Rz 滚筒侧 | 3.048 μ米 |
| Rz 微蚀刻前的哑光面 | 5.715 μ米 |
| Rz 微蚀刻后的哑光面 | 4.443 μ米 |
| 走线厚度,t | 31.730 μ米 |
| Trace Etch Factor | 2:1(60 度锥度) |
| 走线宽度,w | 11 密耳(279.20 μ米) |
| 芯厚,H1 | 12 密耳(304.60 μ米) |
| 预浸料厚度,H2 | 10.6 密耳(269.00 μ米) |
| GMS 跟踪长度 | 6 英寸(15.23 厘米) |
Keysight EEsof EDA ADS 软件 [14] 用于建模和仿真分析。2015.01 版中新增的受控阻抗线 (CIL) 设计器增强功能使传输线衬底建模变得容易。与早期的衬底模型不同,CIL 模型允许您对梯形迹线进行建模。
图 7 是用于分析的一般原理图。有三种传输线基板;一个用于介电损耗;一种用于导体损耗,另一种用于无粗糙度的完全损耗。

图 7 用于建模和仿真分析的受控阻抗线路设计师的 Keysight EEsof EDA ADS 通用示意图。
使用 Svensson/Djordjevic 宽带 Debye 模型对介电损耗进行建模,以确保因果关系。通过将电导率参数设置为远大于铜的正常电导率的值,可以确保导体在仿真中是无损的。同样,导体损耗模型将 Df 设置为零,以确保无损电介质。
PCB 走线的总插入损耗 (IL) 与频率的函数是介电导体和粗糙导体插入损耗之和。
方程 8

为了准确模拟粗糙度的效果,必须将相应的粗糙度校正因子 (KSR ) 分别乘法应用于滚筒和走线的哑光侧的交流电阻。遗憾的是,ADS 和许多其他商业模拟器不允许访问这些表面以正确应用校正。你能做的最好的事情是将 (KSR_drum ) 和 (KSR_matte ) 侧的平均值应用于光滑的导体损耗 (IL光滑 ),如上所述。
以下是确定具有粗糙度的 KSR_avg (f ) 和总 IL 的步骤:
1. 根据公式 6 和公式 7 确定 HRMS_drum 和 HRMS_matte 。

2. 确定鼓面和蒙面的球体半径:

3. 确定滚筒和哑光面的方形平底面积:

4. 确定 KSR_drum (f) 和 KSR_matte (f ):

5. 确定平均 KSR_drum (f) 和 KSR_matte (f):

6. 应用公式 8 确定 PCB 走线的总插入损耗。

总结和结果
结果如图 8 所示。左图比较了数据表值和设计参数的仿真插入损耗与实测插入损耗。还绘制了总平滑插入损耗(十字),它是导体损耗(圆圈)和介电损耗(平方)之和。值得注意的是,仅使用代数方程和公布的 Dk、Df 和粗糙度数据表值,在大约 30GHz 的频率范围内,一致性极佳。
右侧显示的曲线是模拟(蓝色)与测量(红色)有效介电常数 (Dkeff ) 的对比,由所示方程确定。可以看出,测得的曲线 Dkeff (3.76 vs 3.63 @ 10GHz) 略高于公布的曲线。根据 [6],Dk 的小幅增加是由于材料的各向异性。
当在模型中使用测得的 Dkeff (3.76) 时,对于纤芯和预浸料,图 9(左)所示的 IL 结果在 50 GHz 以下更加显着!

图 8 FR408HR RTF 中 6 英寸迹线的 IL(左),使用供应商数据表的 Dk、Df 和 Rz 值。有效 Dk 如右图所示。

图 9 RTF 中 6 英寸迹线的 FR408HR IL(左)和有效 Dk(右)。
图 10 比较了 Cannonball 模型和 H&J 模型。结果表明,与 Cannonball 模型的精度达到 50GHz 相比,H&J 的精度只能达到大约 15 GHz。

图 10 炮弹模型(左)与 Hammerstad-Jensen 模型(右)。
结论
使用相等球体的三次紧密堆积概念来模拟铜粗糙度,设计了一种准确计算球体大小和瓦片面积的实用方法,用于 Huray 模型。通过使用制造商数据表中公布的粗糙度参数和介电特性,已经证明初步设计和分析可能不再需要进一步的 SEM 分析或实验曲线拟合。
当将 CMP-28 建模平台(用 FR408HR 和 RT 箔制造)的测量值与该方法进行比较时,与 H&J 模型精度为 15GHz 相比,高达 50GHz 的相关性非常出色。
Cannonball 模型看起来很有前途,可以作为构建测试板并从测量结果中提取拟合参数来预测由于表面粗糙度引起的插入损耗的实用替代方案。
相关文章:
使用 Cannonballs 进行实用导体粗糙度建模
在 GB/s 制度下,导体损耗的精确建模是高速串行链路设计成功的前提。未能对粗糙度效果进行建模可能会毁了您的一天。例如,图 1 显示了与测量数据相比,无粗糙度的 40 英寸印刷电路板 (PCB) 走线的模拟总损耗。总损耗是电…...
Spring Boot 注解 @ConditionalOnMissingBean是什么
一句话总结: ConditionalOnMissingBean 是 Spring Boot 提供的一个 条件注解(Conditional Annotation),意思是: 只有当 Spring 容器中 不存在 某个 Bean 时,当前的 Bean 或配置才会被加载。 这是一种典型的…...
国外常用支付流程简易说明(无代码)
一、Xendit Xendit 是一家总部位于印度尼西亚的支付解决方案提供商,业务覆盖东南亚多个国家。它允许企业接受信用卡以及多种本地支付方式: 1、如果需要,创建一个 Xendit 帐户并登录Xendit 仪表板。 2、在页面左上角查看您的账户模式。使用…...
(先发再改)测试流程标准文档
Revision Record 修订记录 序号 修改日期 修改章节 修改描述 拟制 审批 修订版本 1 20250520 初稿 v1.0 目录 1. 文档概述... 7 1.1 文档目的... 7 1.1.1 标准化质量保障流程... 7 1.1.2.…...
亚马逊SP-API开发实战:商品数据获取与操作
一、API接入准备 开发者注册: 登录亚马逊开发者中心申请SP-API权限 完成MWS迁移(如适用) 认证配置: # OAuth2.0认证示例 import requests auth_url "https://api.amazon.com/auth/o2/token" params { "…...
行为型:策略模式
目录 1、核心思想 2、实现方式 2.1 模式结构 2.2 实现案例 3、优缺点分析 4、适用场景 5、优化技巧 1、核心思想 目的:将算法(行为)抽象出来作为一系列策略类,使他们可以相互替换,使系统拥有“可插拔”扩展的能…...
知识宇宙-学习篇:开源项目 README 文档该如何写?
名人说:博观而约取,厚积而薄发。——苏轼《稼说送张琥》 创作者:Code_流苏(CSDN)(一个喜欢古诗词和编程的Coder😊) 目录 一、README 文档的重要性1. 项目的第一印象2. 搜索引擎优化的重要载体 二、现代 RE…...
YOLOv12增加map75指标
YOLOv12源码:https://github.com/sunsmarterjie/yolov12 第一步:更改Val.py文件 地址:该文件在yolov12-main\ultralytics\models\yolo\detect下 首先定位到def get_desc(self):这个函数上 代码修正如下: def get_desc(self):&q…...
Avalanche 六期 Workshop 精华合集|Grant 机会、技术深度、项目实战一文回顾!
作为当前区块链技术的前沿代表,Avalanche 以其独特的高吞吐、低延迟、多链架构,为开发者提供了一种颠覆性的 Layer 1 解决方案。不同于传统的 EVM 兼容链,Avalanche 支持开发者自定义执行环境,灵活选择最适合自身业务需求的虚拟机…...
【MySQL】第九弹——索引(下)
文章目录 🌏索引(上)回顾🌏使用索引🪐自动创建索引🪐手动创建索引🚀主键索引🚀普通索引🚀唯一索引🚀复合索引 🪐查看索引🪐删除索引🚀删除主键索引…...
leetcode-295 Find Median from Data Stream
class MaxHeap {private heap: number[];constructor() {this.heap [];}// 插入元素并上浮调整push(num: number): void {this.heap.push(num);this.siftUp(this.heap.length - 1);}// 弹出堆顶元素并下沉调整pop(): number {const top this.heap[0];const last this.heap.p…...
【后端高阶面经:缓存篇】37、高并发系统缓存性能优化:从本地到分布式的全链路设计
一、缓存性能优化的核心价值与分层架构 (一)缓存的多维价值体系 延迟优化 内存访问速度(100ns) vs 磁盘数据库(10ms+),性能提升10万倍+案例:电商详情页通过缓存将响应时间从500ms降至50ms吞吐提升 单机Redis可支撑10万QPS,分担数据库压力案例:秒杀系统通过缓存拦截9…...
西门子 S1500 博途软件舞台威亚 3D 控制方案
西门子 S1500 PLC 是工业自动化领域的主流控制器,适合高精度、高可靠性的舞台威亚控制。下面为你提供基于博途 (TIA Portal) 软件的 3D 控制方案设计。 系统架构设计 舞台威亚 3D 控制系统通常包含以下组件: 硬件层: S1500 PLC 主机伺服驱动…...
洛谷 P3374 【模板】树状数组 1(线段树解法)
【题目链接】 洛谷 P3374 【模板】树状数组 1 【题目考点】 1. 线段树 线段树(Segment tree)是一种用来维护区间信息的数据结构。 线段树中每个结点代表一个区间 根结点代表整体区间。 叶子结点代表长为1的单位区间。 对于线段树中的每一个分支结点 [ l , r ] [l, r] [l,r]…...
欣佰特科技| SIL2/PLd 认证 Inxpect毫米波安全雷达:3D 扫描 + 微小运动检测守护工业安全
Inxpect 成立于意大利,专注工业安全技术。自成立起,便致力于借助先进雷达技术提升工业自动化安全标准,解决传统安全设备在复杂环境中的局限,推出获 SIL2/PLd 和 UL 认证的安全雷达产品。 Inxpect 的雷达传感器技术优势明显。相较于…...
大模型量化原理
模型量化的原理是通过降低数值精度来减少模型大小和计算复杂度。让我详细解释其核心原理:我已经为您创建了一个全面的模型量化原理详解文档。总结几个核心要点: 量化的本质 量化的核心是精度换性能的权衡——通过降低数值精度(FP32→INT8&a…...
dify-api的.env配置文件
源码位置:dify\api\.env 本文使用Dify v1.3.1。配置文件中各变量的详细信息表,如下所示: 变量英文名变量中文名默认值变量功能SECRET_KEY秘密密钥XXX用于安全地签署会话cookie的应用秘密密钥。确保在部署时使用强密钥。CONSOLE_API_URL控制…...
【Linux】Linux 操作系统 - 18 , 重谈文件(二) ~ 文件描述符和重定向原理 , 手把手带你彻底理解 !!!
文章目录 ● 文件描述符一 、Linux 系统对文件的管理(要知道)二 、什么是文件描述符 fd ?三 、再探文件被管理过程(重要)四 、文件描述符 0 、1、21. 文件描述符的分配原则2. 提前认识三个默认打开的文件 ● 重定向原理(重要)一 、重定向现象二 、深入剖析重定向现象(重要)1…...
第五十三节:综合项目实践-车牌识别系统
一、项目背景与意义 车牌识别系统(LPR)是智能交通领域的核心技术之一,广泛应用于停车场管理、违章抓拍、高速公路收费等场景。本文将通过Python+OpenCV实现一个完整的车牌识别系统,涵盖图像预处理→车牌定位→字符分割→字符识别四大核心环节。 二、系统架构设计 技术栈组…...
AI时代新词-AI伦理(AI Ethics)
一、什么是AI伦理? AI伦理(AI Ethics)是指在人工智能(AI)的设计、开发、部署和使用过程中,涉及的道德、法律和社会问题的综合考量。它关注AI技术对人类社会、文化、价值观以及个人权利的影响,并…...
湖北理元理律师事务所债务优化服务中的“四维平衡“之道
债务问题解决需要兼顾多方利益,湖北理元理律师事务所通过独特的服务模式,在法律、经济、心理、社会四个维度建立平衡点。 一、法律维度的专业把控 合规性审查: 合同效力认定 诉讼时效核查 担保责任界定 程序合法性: 所有协…...
Git Push 失败:HTTP 413 Request Entity Too Large
Git Push 失败:HTTP 413 Request Entity Too Large 问题排查 在使用 Git 推送包含较大编译产物的项目时,你是否遇到过 HTTP 413 Request Entity Too Large 错误?这通常并不是 Git 的问题,而是 Web 服务器(如 Nginx&am…...
第10章 网络与信息安全基础知识
网络概述 多模光纤的特点:成本低,宽芯线,聚光好,耗散大,低效,用于低速度、短距离的通信。 单模光纤的特点:成本高,窄芯线,需要激光源,耗散小,高效…...
GO语言学习(九)
GO语言学习(九) 上一期我们了解了实现web的工作中极为重要的net/http抱的细节讲解,大家学会了实现web开发的一些底层基础知识,在这一期我来为大家讲解一下web工作的一个重要方法,:使用数据库,现…...
go 访问 sftp 服务 github.com/pkg/sftp 的使用踩坑,连接未关闭(含 sftp 服务测试环境搭建)
前言 最近在使用 sftp 服务时,被告知发起了海量的连接,直接把服务器搞崩,ip 被封了。 这是啥情况? golang 写的代码,我就正常的访问 sftp 服务,连接使用过后也都关闭了,咋会出现连接一直连着…...
Linux多线程(二)之进程vs线程
文章目录 Linux进程VS线程进程和线程进程的多个线程共享关于进程线程的问题 重谈地址空间Linux线程周边的概念 Linux进程VS线程 进程和线程 进程是资源分配的基本单位(进程是承担分配系统资源的基本实体) 执行流也是资源!线程是进程内部的执…...
【MogDB】测试 ubuntu server 22.04 LTS 安装mogdb 5.0.11
测试 ubuntu server 22.04 LTS 安装mogdb 5.0.11 使用的操作系统镜像是 https://releases.ubuntu.com/22.04/ubuntu-22.04.5-live-server-amd64.iso 装好操作系统后,把root登录打开了,方便后续操作。 测试过程 使用官方命令在线安装ptk rootubuntu22…...
AI时代新词-数字孪生(Digital Twin)
一、什么是数字孪生(Digital Twin)? 数字孪生(Digital Twin)是一种通过创建物理实体的虚拟副本,并利用数据和算法来模拟、分析和优化物理实体的性能和行为的技术。数字孪生结合了物联网(IoT&am…...
【HW系列】—web常规漏洞(文件上传漏洞)
文章目录 一、简介二、危害三、文件检测方式分类四、判断文件检测方式五、文件上传绕过技术六、漏洞防御措施 一、简介 文件上传漏洞是指Web应用程序在处理用户上传文件时,未对文件类型、内容、路径等进行严格校验和限制,导致攻击者可上传恶意文件&…...
如何实现 C/C++ 与 Python 的通信
C/C 与 Python 的通信可以通过多种方式实现,如使用 C API、Ctypes、Cython、SWIG、Python.h 或基于共享库的调用等。其中,使用 Ctypes 方式最为简便,适合快速调用已有的 C 函数库。例如,通过将 C 代码编译为动态链接库(…...
