DAY9 热力图和箱线图的绘制
浙大疏锦行
学会了绘制两个图:
热力图:表示每个特征之间的影响,颜色越深数值越大表示这两个特征的关系越紧密
箱线图:表示每个特征的数据分布情况
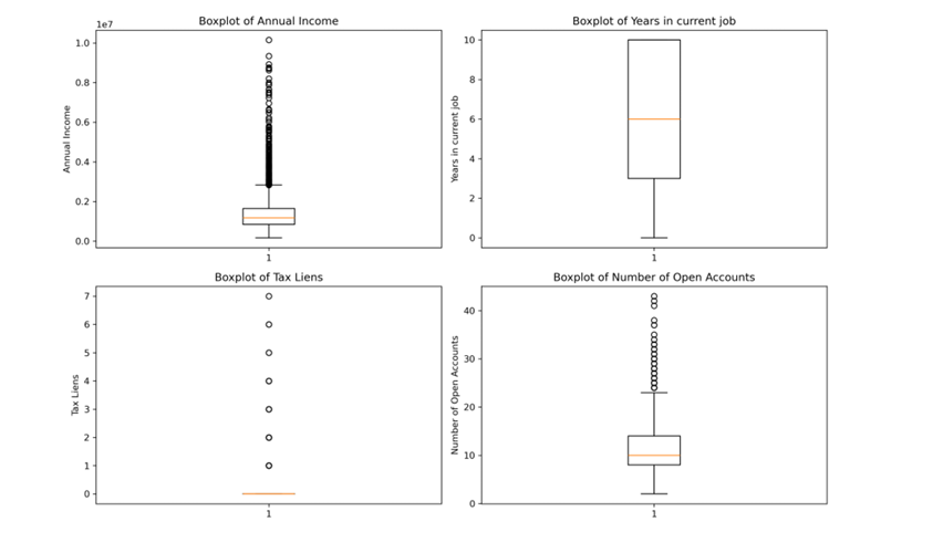
箱体(Box):
箱体的上下边界分别表示第一四分位数(Q1)和第三四分位数(Q3),即数据的25%和75%分位数。
箱体内的水平线表示中位数(Median),即数据的50%分位数。
须(Whiskers):
须的上下端点通常表示数据的最小值和最大值,但不包括异常值。
在这个图中,须的下端点接近0,上端点大约在200,000左右。
异常值(Outliers):
图中箱体外的圆点表示异常值,即显著偏离其他数据点的值。
在这个图中,可以看到许多异常值,这些值远高于第三四分位数(Q3)。
数据分布:
从图中可以看出,年收入的中位数较低,大部分数据集中在较低的收入范围内。
然而,存在一些高收入的异常值,这些值显著高于大多数数据点
# 首先走一遍完整的之前的流程
# 1. 读取数据
import pandas as pd
data = pd.read_csv('data.csv')
# 2. 查看数据
data.info()
<class 'pandas.core.frame.DataFrame'>
RangeIndex: 7500 entries, 0 to 7499
Data columns (total 18 columns):# Column Non-Null Count Dtype
--- ------ -------------- ----- 0 Id 7500 non-null int64 1 Home Ownership 7500 non-null object 2 Annual Income 5943 non-null float643 Years in current job 7129 non-null object 4 Tax Liens 7500 non-null float645 Number of Open Accounts 7500 non-null float646 Years of Credit History 7500 non-null float647 Maximum Open Credit 7500 non-null float648 Number of Credit Problems 7500 non-null float649 Months since last delinquent 3419 non-null float6410 Bankruptcies 7486 non-null float6411 Purpose 7500 non-null object 12 Term 7500 non-null object 13 Current Loan Amount 7500 non-null float6414 Current Credit Balance 7500 non-null float6415 Monthly Debt 7500 non-null float6416 Credit Score 5943 non-null float6417 Credit Default 7500 non-null int64
dtypes: float64(12), int64(2), object(4)
memory usage: 1.0+ MB
data["Years in current job"].value_counts()
Years in current job
10+ years 2332
2 years 705
3 years 620
< 1 year 563
5 years 516
1 year 504
4 years 469
6 years 426
7 years 396
8 years 339
9 years 259
Name: count, dtype: int64
data["Home Ownership"].value_counts()
Home Ownership
Home Mortgage 3637
Rent 3204
Own Home 647
Have Mortgage 12
Name: count, dtype: int64
# 创建嵌套字典用于映射
mappings = {"Years in current job": {"10+ years": 10,"2 years": 2,"3 years": 3,"< 1 year": 0,"5 years": 5,"1 year": 1,"4 years": 4,"6 years": 6,"7 years": 7,"8 years": 8,"9 years": 9},"Home Ownership": {"Home Mortgage": 0,"Rent": 1,"Own Home": 2,"Have Mortgage": 3}
}
# 使用映射字典进行转换
data["Years in current job"] = data["Years in current job"].map(mappings["Years in current job"])
data["Home Ownership"] = data["Home Ownership"].map(mappings["Home Ownership"])
data.info()
<class 'pandas.core.frame.DataFrame'>
RangeIndex: 7500 entries, 0 to 7499
Data columns (total 18 columns):# Column Non-Null Count Dtype
--- ------ -------------- ----- 0 Id 7500 non-null int64 1 Home Ownership 7500 non-null int64 2 Annual Income 5943 non-null float643 Years in current job 7129 non-null float644 Tax Liens 7500 non-null float645 Number of Open Accounts 7500 non-null float646 Years of Credit History 7500 non-null float647 Maximum Open Credit 7500 non-null float648 Number of Credit Problems 7500 non-null float649 Months since last delinquent 3419 non-null float6410 Bankruptcies 7486 non-null float6411 Purpose 7500 non-null object 12 Term 7500 non-null object 13 Current Loan Amount 7500 non-null float6414 Current Credit Balance 7500 non-null float6415 Monthly Debt 7500 non-null float6416 Credit Score 5943 non-null float6417 Credit Default 7500 non-null int64
dtypes: float64(13), int64(3), object(2)
memory usage: 1.0+ MB
import pandas as pd
import seaborn as sns
import matplotlib.pyplot as plt# 提取连续值特征
continuous_features = ['Annual Income', 'Years in current job', 'Tax Liens','Number of Open Accounts', 'Years of Credit History','Maximum Open Credit', 'Number of Credit Problems','Months since last delinquent', 'Bankruptcies','Current Loan Amount', 'Current Credit Balance', 'Monthly Debt','Credit Score'
]# 计算相关系数矩阵
correlation_matrix = data[continuous_features].corr()# 设置图片清晰度
plt.rcParams['figure.dpi'] = 300# 绘制热力图
plt.figure(figsize=(12, 10))
sns.heatmap(correlation_matrix, annot=True, cmap='coolwarm', vmin=-1, vmax=1)
plt.title('Correlation Heatmap of Continuous Features')
plt.show()

import pandas as pd
import matplotlib.pyplot as plt# 定义要绘制的特征
features = ['Annual Income', 'Years in current job', 'Tax Liens', 'Number of Open Accounts']
# 随便选的4个特征,不要在意对不对# 设置图片清晰度
plt.rcParams['figure.dpi'] = 300# 创建一个包含 2 行 2 列的子图布局
fig, axes = plt.subplots(2, 2, figsize=(12, 8))# 手动指定特征索引进行绘图,仔细观察下这个坐标
i = 0
feature = features[i]
axes[0, 0].boxplot(data[feature].dropna())
axes[0, 0].set_title(f'Boxplot of {feature}')
axes[0, 0].set_ylabel(feature)i = 1
feature = features[i]
axes[0, 1].boxplot(data[feature].dropna())
axes[0, 1].set_title(f'Boxplot of {feature}')
axes[0, 1].set_ylabel(feature)i = 2
feature = features[i]
axes[1, 0].boxplot(data[feature].dropna())
axes[1, 0].set_title(f'Boxplot of {feature}')
axes[1, 0].set_ylabel(feature)i = 3
feature = features[i]
axes[1, 1].boxplot(data[feature].dropna())
axes[1, 1].set_title(f'Boxplot of {feature}')
axes[1, 1].set_ylabel(feature)# 调整子图之间的间距
plt.tight_layout()# 显示图形
plt.show()

# 定义要绘制的特征
features = ['Annual Income', 'Years in current job', 'Tax Liens', 'Number of Open Accounts']# 设置图片清晰度
plt.rcParams['figure.dpi'] = 300# 创建一个包含 2 行 2 列的子图布局,其中
fig, axes = plt.subplots(2, 2, figsize=(12, 8))#返回一个Figure对象和Axes对象
# 这里的axes是一个二维数组,包含2行2列的子图
# 这里的fig是一个Figure对象,表示整个图形窗口
# 你可以把fig想象成一个画布,axes就是在这个画布上画的图形# 遍历特征并绘制箱线图
for i, feature in enumerate(features):row = i // 2col = i % 2axes[row, col].boxplot(data[feature].dropna())axes[row, col].set_title(f'Boxplot of {feature}')axes[row, col].set_ylabel(feature)# 调整子图之间的间距
plt.tight_layout()# 显示图形
plt.show()
# 定义要绘制的特征
features = ['Annual Income', 'Years in current job', 'Tax Liens', 'Number of Open Accounts']# 设置图片清晰度
plt.rcParams['figure.dpi'] = 300# 创建一个包含 2 行 2 列的子图布局,其中
fig, axes = plt.subplots(2, 2, figsize=(12, 8))#返回一个Figure对象和Axes对象
# 这里的axes是一个二维数组,包含2行2列的子图
# 这里的fig是一个Figure对象,表示整个图形窗口
# 你可以把fig想象成一个画布,axes就是在这个画布上画的图形# 遍历特征并绘制箱线图
for i, feature in enumerate(features):row = i // 2col = i % 2axes[row, col].boxplot(data[feature].dropna())axes[row, col].set_title(f'Boxplot of {feature}')axes[row, col].set_ylabel(feature)# 调整子图之间的间距
plt.tight_layout()# 显示图形
plt.show()

相关文章:
DAY9 热力图和箱线图的绘制
浙大疏锦行 学会了绘制两个图: 热力图:表示每个特征之间的影响,颜色越深数值越大表示这两个特征的关系越紧密 箱线图:表示每个特征的数据分布情况 箱体(Box): 箱体的上下边界分别表示第一四分位…...
如何查看 GitLab 内置的 PostgreSQL 版本?
GitLab 依赖 PostgreSQL,PostgreSQL 的升级会随着 GitLab 的版本升级而进行,本文分享查看 GitLab 内置 PostgreSQL 版本的方法。 GitLab 版本和 PostgreSQL 版本需要一一对应,默认情况下使用 Omnibus 方式安装的 GitLab 实例会自动升级 Postg…...
VR 技术与病毒分离鉴定:一场奇妙的邂逅
过去,病毒分离鉴定主要依靠传统实验技术,虽为病毒学发展奠定基础,但在现代病毒研究中有诸多局限。 沉浸式操作,告别风险担忧 VR 技术给病毒分离鉴定带来的最大变革是大幅提升实验安全性。借助 VR 设备,实验者身处高…...
解释一下NGINX的反向代理和正向代理的区别?
大家好,我是锋哥。今天分享关于【解释一下NGINX的反向代理和正向代理的区别?】面试题。希望对大家有帮助; 解释一下NGINX的反向代理和正向代理的区别? NGINX的反向代理和正向代理的区别主要体现在它们的功能和使用场景上。下面我会详细解释它们的定义…...
数学笔记一:标量、向量和矩阵基本概念辨析
一、标量 标量(Scalar) 是一种仅用数值大小(即 “量值”)就能完全描述的物理量或数学对象,它不具有方向属性。 例如在实数领域的正数、负数。 在物理学领域的多少斤、多少公斤、水温多少度、气温多少度都是标量。 …...
vue3获取两个日期之间的所有时间
1.获取两个日期之间所有年月日 如图所示: 代码如下: <template><div class"datePicker"><el-date-pickerv-model"value1"type"daterange"range-separator"至"start-placeholder"开始时间…...
Python 实现简易版的文件管理(结合网络编程)
目录 一、Python 代码实现1. 服务器端2. 客户端 二、结果展示1. 查看当前路径下的内容 ls2. 切换当前路径 cd3. 查看当前路径 pwd4. 显示根目录下的树状结构 tree5. 在当前路径下创建目录 mkdir6. 删除当前路径下的文件或目录 rm7. 复制文件 mv8. 移动文件 cp9. 用户从当前路径…...
元组可以比较大小吗?一次返回多个值?编程语言的元组?声明变量一定需要指定类型吗?
目录 元组可以比较大小吗? 一次返回多个值? 编程语言的元组 支持元组的语言 元组的基本特性 元组的初始化和使用 声明变量一定需要指定类型吗? var类型 元组可以比较大小吗? 不同编程语言对元组的定位稍有差异,是否可以比较大小随语言而定。 Swift支持…...
PXC集群
PXC集群 一、环境介绍二、PXC安装1、关闭默认mysql模块2、安装yum源3、准备pxc安装环境4、安装pxc5、启动mysql,并更改root密码 三、搭建PXC集群1、编辑/etc/my.cnf 配置文件(1)pxc1节点配置文件(2)pxc2节点配置文件&a…...
线程安全问题的成因
前言 大家晚上好呀~~ 今天学习了线程不安全问题的成因。线程安全问题是十分重要的知识点,我想把我所学的与大家分享一波,希望可以帮助到有需要的人,同时加深自己对于线程安全问题的理解。 分析过程如下 结语 今天心情还不错~ 要坚持持续…...
零基础远程连接课题组Linux服务器,安装anaconda,配置python环境(换源),在服务器上运行python代码【3/3 适合小白,步骤详细!!!】
远程连接服务器 请查阅之前的博客——零基础远程连接课题组Linux服务器,安装anaconda,配置python环境(换源),在服务器上运行python代码【1/3 适合小白,步骤详细!!!】&am…...
字节跳动BAGEL-7B-MoT模型开源:多模态AI技术的新范式与行业涟漪
在人工智能领域,技术开源与商业化落地的平衡始终是核心议题。2025年5月26日,字节跳动发布开源多模态AI模型BAGEL-7B-MoT,凭借其混合架构设计与跨模态处理能力,在图像生成、视觉理解等任务中展现出与GPT-4o等闭源模型抗衡的实力。这…...
Ubuntu静态IP配置信息查看命令
Ubuntu静态IP配置信息查看命令 1. 查看当前IP地址信息 (Address & Netmask) 方法1: 使用ip命令 (推荐) ip addr show # 或简写 ip a方法2: 使用ifconfig命令 ifconfig # 查看特定网卡 ifconfig eth0方法3: 只查看IP地址 hostname -I2. 查看网关信息 (Gateway) 查看默…...
unity实现wasd键控制汽车漫游
1.给汽车模型添加Box Collider和Rigidbody 2.创建脚本CarController并加载到汽车模型上 using UnityEngine; using UnityEngine.UI;public class CarController : MonoBehaviour...
Python优雅执行SSH命令:10种方法+虚拟环境深度实践
引言:为什么选择Python操作SSH? SSH作为网络安全的基石,广泛应用于远程管理、文件传输和自动化任务。Python凭借其丰富的生态(如paramiko、fabric)和简洁语法,成为编写SSH脚本的首选语言。本文将系统梳理通…...
Linux TCP与Socket与IO多路复用(Epoll)
目录 一、背景 二、交互流程 2.1 数据流动 2.2 对象之间的关系 三、TCP 3.1 为什么需要三次握手 3.2 三次握手流程 3.3 三次握手后的产物 3.4 TCB 四、Socket 4.1 Java Socket和C Socket 4.2 Socket的本质 4.3 Socket和TCB的关系 4.4 通过文件描述符调用Socket的…...
LINUX安装运行jeelowcode后端项目(命令行)
环境准备 运行环境:JDK1.8开发工具: Idea、Maven默认已启动中间件:(推荐使用宝塔)Mysql8.0、Redis、Minio第一步:下载JeelowCode项目并导入IDEA中 第二步:导入数据库文件到mysql中,…...
嵌入式高级工程师面试全解:从 malloc 到 kernel panic 的系统知识梳理
在嵌入式和操作系统方向的技术面试中,常常会涉及一系列关于内存管理、虚拟化、系统权限、调试工具、外设通信等方面的问题。本文将基于一次真实的高级嵌入式工程师岗位面试问题,整理并详解所有相关技术点,作为一份结构清晰、知识全面的学习资…...
机器学习第二十七讲:Kaggle → 参加机器学习界的奥林匹克
机器学习第二十七讲:Kaggle → 参加机器学习界的奥林匹克 资料取自《零基础学机器学习》。 查看总目录:学习大纲 关于DeepSeek本地部署指南可以看下我之前写的文章:DeepSeek R1本地与线上满血版部署:超详细手把手指南 Kaggle详解…...
C++(初阶)(二十)——封装实现set和map
二十,封装实现set和map 二十,封装实现set和map1,参数类型2,比较方式3,迭代器3.1,普通迭代器3.2,const迭代器3.3,set_map的迭代器实现 4,插入和查找5,特别的&a…...
【MySQL】06.内置函数
1. 聚合函数 -- 统计表中的人数 -- 使用 * 做统计,不受 NULL 影响 mysql> select count(*) 人数 from exam_result; -------- | 人数 | -------- | 5 | -------- 1 row in set (0.01 sec)-- 使用表达式做统计 mysql> select count(name) 人数 from ex…...
企业微信内部网页开发流程笔记
背景 基于ai实现企微侧边栏和工作台快速问答小助,需要h5开发,因为流程不清楚摸索半天,所以记录一下 一、网页授权登录 1. 配置步骤 1.1 设置可信域名 登录企业微信管理后台 进入"应用管理" > 选择开发的具体应用 > “网…...
智慧在线判题OJ系统项目总体,包含功能开发思路,内部中间件,已经部分知识点
目录 回顾一下xml文件怎么写 哪个地方使用了哪个技术 MyBatis-Plus-oj的表结构设计, 管理员登录功能 Swagger Apifox编辑 BCrypt 日志框架引入(slf4jlogback) nacos Swagger无法被所有微服务获取到修改的原因 身份认证三种方式: JWT(Json Web Json,一…...
【MySQL】2-MySQL索引P2-执行计划
欢迎来到啾啾的博客🐱。 记录学习点滴。分享工作思考和实用技巧,偶尔也分享一些杂谈💬。 有很多很多不足的地方,欢迎评论交流,感谢您的阅读和评论😄。 目录 EXPLAINexplain output 执行计划输出解释重点typ…...
云电脑显卡性能终极对决:ToDesk云电脑/顺网云/海马云,谁才是4K游戏之王?
一、引言 1.1 云电脑的算力革命 云电脑与传统PC的算力供给差异 传统PC的算力构建依赖用户一次性配置本地硬件,特别是CPU与显卡(GPU)。而在高性能计算和游戏图形渲染等任务中,GPU的能力往往成为决定体验上限的核心因素。随着游戏分…...
11 接口自动化-框架封装之统一请求封装和接口关联封装
文章目录 一、框架封装1、统一请求封装和路径处理2、接口关联封装 二、简单封装代码实现config.yml - 放入一些配置数据yaml_util.py - 处理 yaml 数据requests_util.py - 将请求封装在同一个方法中test_tag.py - 测试用例执行conftest.py - 会话之前清除数据 一、框架封装 1、…...
influxdb时序数据库
以下概念及操作均来自influxdb2 官方文档 InfluxDB2 is the platform purpose-built to collect, store, process and visualize time series data. Time series data is a sequence of data points indexed in time order. Data points typically consist of successive meas…...
OpenCV CUDA模块图像处理------颜色空间处理之用于执行伽马校正(Gamma Correction)函数gammaCorrection()
操作系统:ubuntu22.04 OpenCV版本:OpenCV4.9 IDE:Visual Studio Code 编程语言:C11 算法描述 cv::cuda::gammaCorrection 是 OpenCV 的 CUDA 模块中用于执行伽马校正(Gamma Correction)的一个函数。伽马校正通常用于…...
机器学习10-随机森林
随机森林学习笔记 一、随机森林简介 随机森林(Random Forest)是一种集成学习算法,基于决策树构建模型。它通过组合多个决策树的结果来提高模型的准确性和稳定性。随机森林的核心思想是利用“集成”的方式,将多个弱学习器组合成一…...
商品条形码查询接口如何用C#进行调用?
一、什么是商品条码查询接口? 1974年6月26日,美国俄亥俄州的一家超市首次使用商品条码完成结算,标志着商品条码正式进入商业应用领域。这项技术通过自动识别和数据采集,极大提升了零售行业的作业效率,减少了人工录入错…...
