离散时间信号的产生
文章目录
- 前言
- 1.单位冲激序列函数
- 1.2 函数:
- 1.3 实现代码:
- 1.3 调用方式
- 1.4 调用结果
- 2.单位阶跃序列函数
- 2.1 函数
- 2.2实现代码
- 2.3调用方式
- 2.4调用结果
- 3.矩形序列
- 3.1函数
- 3.2 实现代码
- 3.3调用方式
- 3.4 调用结果
- 4.实指数序列
- 4.1函数
- 4.2实现代码
- 4.3调用方式
- 4.4调用结果
- 5.正弦型序列
- 5.1函数
- 5.2实现代码
- 5.3调用方式
- 5.4调用结果
- 6.复指数序列
- 6.1函数
- 6.2实现代码
- 6.3调用方式
- 6.4调用结果
- 备注
- 7.序列的简单运算
- 7.1序列相加
- 7.1.1 代码实现
- 7.1.2 调用测试
- 7.1.3 调用结果
- 7.2序列相乘
- 7.2.1 代码实现
- 7.2.2 调用测试
- 7.2.3 调用结果
- 7.3序列移位
- 7.3.1 代码实现
- 7.3.2 调用测试
- 7.3.3 调用结果
- 7.4 序列翻褶
- 7.4.1 代码实现
- 7.4.2 调用测试
- 7.4.3 调用结果
- 结语
前言
本篇博客介绍了基于matlab的数字信号处理中的常见离散时间信号,以及常见的序列运算,并通过编写代码实现相关运算。
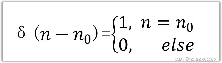
1.单位冲激序列函数
1.2 函数:

1.3 实现代码:
function [x,n] = impseq(n0,n1,n2)% Generates x(n) = delta(n-n0); n1 <= n,n0 <= n2% ----------------------------------------------% [x,n] = impseq(n0,n1,n2)%if ((n0 < n1) || (n0 > n2) || (n1 > n2))error('arguments must satisfy n1 <= n0 <= n2')endn = n1:n2;%x = [zeros(1,(n0-n1)), 1, zeros(1,(n2-n0))];x = (n-n0) == 0;
1.3 调用方式
[x,n]=impseq(1,-2,5);
% n=[-2,-1,0,1,2,3,4,5]
% x= 1x8 logical
stem(n,x,"filled")
1.4 调用结果

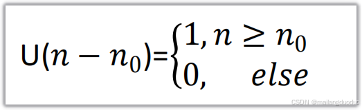
2.单位阶跃序列函数
2.1 函数

2.2实现代码
function [x,n] = stepseq(n0,n1,n2)% Generates x(n) = u(n-n0); n1 <= n,n0 <= n2% ------------------------------------------% [x,n] = stepseq(n0,n1,n2)%if ((n0 < n1) || (n0 > n2) || (n1 > n2))error('arguments must satisfy n1 <= n0 <= n2')endn = n1:n2;%x = [zeros(1,(n0-n1)), ones(1,(n2-n0+1))];x = (n-n0) >= 0;
2.3调用方式
[x,n]=stepseq(2,-2,7);
% n=[-2,-1,0,1,2,3,4,5,6,7]
% x=1x10 logical
stem(n,x,"filled","r")
2.4调用结果

3.矩形序列
3.1函数

3.2 实现代码
function [x,n]=rectseq(n1,n2,N)
% 个人编写可能有误if n1>=0||n2<n1||n2<N||N<=0error("输入的格式错误");endn=n1:n2;% x=[zeros(1,0-n1),ones(1,N),zeros(1,n2-N+1)];x=bitand(n>=0,n<N);
end
3.3调用方式
[x,n]=rectseq(-2,5,4);
% n=[-2,-1,0,1,2,3,4,5]
% x=1x8 logical
stem(n,x,"filled")
3.4 调用结果

4.实指数序列
4.1函数

4.2实现代码
function [x,n]=realexpseq(n1,n2,a)
% 个人编写
if n1>n2error("n1应该小于n2");
endn=n1:n2;an=a.^n;x=an.*stepseq(0,n1,n2);
end
4.3调用方式
[x,n]=realexpseq(-4,5,2);
% n=[-4,-3,-2,-1,0,1,2,3,4,5]
% x=[0,0,0,0,1,2,4,8,16,32]
stem(n,x,"r")
4.4调用结果

5.正弦型序列
5.1函数

5.2实现代码
function [x,n]=sinseq(n1,n2,w,w0)
%该函数表示sin(w*n+w0)
if n1>n2error("n1应该小于n2");
end
n=n1:n2;
x=sin(w*n+w0);
end
5.3调用方式
[x,n]=sinseq(-pi*2,2*pi,1,0);
% n=1x13 double
% x=1x13 double
stem(n,x,'filled')
5.4调用结果

6.复指数序列
6.1函数

6.2实现代码
function [x,n]=comexpseq(n1,n2,a,w0)
n=n1:n2;
x=exp((a+1i*w0).*n);
end
6.3调用方式
[x,n]=comexpseq(-2,5,2,1);
subplot(2,1,1);
stem(n,real(x),"filled")
xlabel("n");
ylabel("实部")
subplot(2,1,2);
stem(n,imag(x),"filled")
xlabel("n")
ylabel("虚部")
6.4调用结果

备注
以上函数部分是自己写的,部分是以封装好的,可能有些的不足的地方,欢迎批评指正
7.序列的简单运算
7.1序列相加
将两个序列对应位置直接相加即可
7.1.1 代码实现
function [y,n]=seqadd(x1,x2,n1,n2)n=min([n1,n2]):max([n1,n2]);% 将相加的序列扩展至相同长度y1=zeros(1,length(n));y2=y1;y1((n>=min(n1))&(n<=max(n1))==1)=x1;y2((n>=min(n2))&(n<=max(n2))==1)=x2;y=y1+y2;
end
7.1.2 调用测试
x1=[2 3 1 4];
n1=-1:2;
x2=[1 2 4];
n2=1:3;
subplot(3,1,1);
stem(n1,x1,"filled",'b')
xlim([min([n1,n2]) max([n1,n2])])
subplot(3,1,2)
stem(n2,x2,'filled',"g");
xlim([min([n1,n2]) max([n1,n2])])
[y,n]=seqadd(x1,x2,n1,n2);
subplot(3,1,3)
stem(n,y,"filled","r");
xlim([min([n1,n2]) max([n1,n2])])
7.1.3 调用结果

7.2序列相乘
将两个序列对应位置直接相乘即可
7.2.1 代码实现
function [y,n]=seqmul(x1,x2,n1,n2)
n=min([n1,n2]):max([n1,n2]);
y1=zeros(1,length(n));
y2=y1;
y1((n>=min(n1)&n<=max(n1))==1)=x1;
y2((n>=min(n2)&n<=max(n2))==1)=x2;
y=y1.*y2;
end
7.2.2 调用测试
x1=[2 3 1 4];
n1=-1:2;
x2=[1 2 4];
n2=1:3;
subplot(3,1,1);
stem(n1,x1,"filled",'b')
xlim([min([n1,n2]) max([n1,n2])])
subplot(3,1,2)
stem(n2,x2,'filled',"g");
xlim([min([n1,n2]) max([n1,n2])])
[y,n]=seqmul(x1,x2,n1,n2);
subplot(3,1,3)
stem(n,y,"filled","r");
xlim([min([n1,n2]) max([n1,n2])])
7.2.3 调用结果

7.3序列移位
将序列左移或者右移
7.3.1 代码实现
function [y,n]=seqshift(x,n,m)
% 将序列向左移m位
% y=x(n-m)
n=n-m;
y=x;
end
7.3.2 调用测试
x=[2 4 3 5];
n=1:4;
subplot(2,1,1)
stem(n,x,'filled','g')
xlim([-5,5])
[y,n]=seqshift(x,n,3);
subplot(2,1,2);
stem(n,y,"filled",'r');
xlim([-5,5])
7.3.3 调用结果

7.4 序列翻褶
将序列沿着原点翻褶
7.4.1 代码实现
function [y,n]=seqfold(x,n)
n=-max(n):-min(n);
y=zeros(1,length(x));
for i=1:length(x)y(length(n)-i+1)=x(i);
end
7.4.2 调用测试
x=[4 2 5 3];
n=-1:2;
subplot(2,1,1);
stem(n,x,"filled",'g');
xlim([-4 4])
[y,n]=seqfold(x,n);
subplot(2,1,2);
stem(n,y,'filled','r');
xlim([-4 4])
7.4.3 调用结果

结语
上述函数虽然在Signal Processing Toolbox中都有提供,后续只要会使用即可,本篇博客为了帮助初学者更好的理解各种序列和运算实现的底层过程,为后续学习基于matlab仿真的数字信号处理打下良好的基础。上述代码可能有部分编写不足之处,欢迎批评指出!
相关文章:
离散时间信号的产生
文章目录 前言1.单位冲激序列函数1.2 函数:1.3 实现代码:1.3 调用方式1.4 调用结果 2.单位阶跃序列函数2.1 函数2.2实现代码2.3调用方式2.4调用结果 3.矩形序列3.1函数3.2 实现代码3.3调用方式3.4 调用结果 4.实指数序列4.1函数4.2实现代码4.3调用方式4.…...
物联优化汽车齿轮锻造
在汽车齿轮的锻造工艺中,锻造温度、锻造压力与行程、锻造速度与锤击方式以及热处理工艺等核心参数扮演着举足轻重的角色。这些参数的精准控制与实时监测,对于提升生产效率、确保产品质量、削减生产成本以及推动生产智能化转型具有不可估量的价值。明达技…...
CocosCreator 构建透明背景应用(最新版!!!)
文章目录 透明原理补充设置截图以及代码step1: electron-js mian.jsstep2:ENABLE_TRANSPARENT_CANVASstep3:SOLID_COLOR Transparentstep:4 Build Web phonestep5:package electron-js & change body background-color 效果图补充 透明原理 使用Cocos creator 做桌面应用开…...
使用CentOS宝塔面板docker搭建EasyTier内网穿透服务
0. 前言 EasyTier是一个简单、安全、去中心化的内网穿透 VPN 组网方案,部署方便,支持 MacOS/Linux/Windows/FreeBSD/Android平台,而且作者搭建了一个公共服务器,不想折腾自建服务,可以使用默认的公共服务器地址 tcp:/…...
HTMLCSS: 实现可爱的冰墩墩
效果演示 HTML <div class"wrap"><div class"body"></div><div class"ear"></div><div class"ear rightEar"></div><div class"leftHand"></div><div class"…...
天地图入门|标注|移动飞行|缩放,商用地图替换
“天地图”是国家测绘地理信息局建设的地理信息综合服务网站。集成了来自国家、省、市(县)各级测绘地理信息部门,以及相关政府部门、企事业单位 、社会团体、公众的地理信息公共服务资源,如果做的项目是政府部门、企事业单位尽量选…...
Flutter PC端UI组件库
一、参考Element-ui的设计和交互,构建基于dart的Flutter UI组件库 https://javonhuang.github.io/sky-ui-page/index.html...
NVR小程序接入平台/设备EasyNVR多品牌NVR管理工具/设备汇聚公共资源场景方案全析
随着信息技术的飞速发展,视频监控已经成为现代社会安全管理和业务运营不可或缺的一部分。特别是在公共资源管理方面,视频监控的应用日益广泛,涵盖了智慧城市、智能交通、大型企业以及校园安防等多个领域。NVR小程序接入平台EasyNVR作为一款功…...
干部谈话考察系统:革新传统,精准高效
在干部选拔任用和考核评价的过程中,谈话考察一直是关键环节之一。然而,传统的谈话考察方式却面临着诸多痛点,严重影响了干部考察工作的质量和效率。干部谈话考察系统的出现,为解决这些问题提供了有力的武器。 一、传统谈话考察的…...
反转链表(Leetcode)
反转链表 Leetcode题目链接 题意:翻转一个单链表 🌰: 输入: 1->2->3->4->5->NULL 输出: 5->4->3->2->1->NULL 在链表本身进行反转即可,不用重新定义链表,这同时浪费时间和空间。 需要采用哑…...
制作游戏外挂的技术栈有哪些
制作游戏外挂是一项涉及多方面技术的复杂任务。这项技术通常被用于在游戏中获得不公平的优势,因此也遭到了大量的讨论与争议。制作外挂需要深厚的编程基础、对系统底层的深入理解以及对具体游戏架构的详细研究。以下是一篇全面的分析文章,旨在揭示制作游…...
python下载pdf
要下载 PDF 文件并将其保存到本地文件夹中,你可以使用 Python 的 requests 库来发送 HTTP 请求,并使用 os 和 io 库来处理文件操作。以下是一个示例代码,展示了如何从给定的 URL 下载 PDF 文件并将其保存到本地 data 文件夹中: i…...
我们来学mysql -- 同时使用 AND 和 OR 查询错误(填坑篇)
AND 和 OR 一同使用问题 现象分析处理扩展 现象 业务上在“锁定”当前零件所在出口国的所有零件时,出现其他国家零件 问题定位 分析 or 切断了操作符之间的连续性,从union角度分析 where k1 Td621 and k1 Vda96 or k3 P00009等同 select * fr…...
关于Websocket
Websocket的基本概念 Websocket是一个“应用层协议”,和HTTP地位是对等的。都是基于传输层的TCP实现的一个广泛被使用的应用层协议。这个协议可以实现服务器主动给客户端推送数据这样的功能。 websocket报文格式 简单了解一下Websocket的报文格式: FIN表…...
vue2 pdf 链接地址打开
vue2 pdf 链接地址打开 1、先下载依赖 “vue-pdf”: “^4.3.0”, “pdfh5”: “^1.4.0”, “pdfjs-dist”: “2.5.207”, 3、打开pdf <template><div id"app"><div id"demo"></div></div> </template> <script&g…...
c# 动态lambda实现二级过滤(多种参数类型)
效果 调用方法 实体类(可以根据需求更换) public class ToolStr50 {public bool isSelected { get; set; }public string toolStr1 { get; set; }public string toolStr2 { get; set; }public string toolStr3 { get; set; }public string toolStr4 { …...
34.Redis事务
1.事务Redis介绍 事务表示一组动作,要么全部执行,要么全部不执行。 例如微博粉丝关注用户,博主粉丝列表增加了用户,粉丝关注列表增加了博主; Redis 提供了简单的事务功能,将一组需要一起执行的命令放到mult…...
认识类和对象
认识类 类是用来对一个实体 ( 对象 ) 来进行描述的,主要描述该实体(对象)具有哪些属性(外观尺寸等),哪些功能(用来干啥) 类中包含的内容称为 类的成员。属性主要是用来描述类的,称之为 类的成员属性或者 类成员变量。方法主要说明类具有哪些功…...
解决echarts桑基图为0时tooltip不显示的问题
关键代码 formatter: function (params) {console.log("params",params)if (params.value 0) {// 如果值为0,返回空字符串,不显示任何内容return params.name : params.value;// return ;} else {// 否则返回标准的格式化信息return par…...
vue3 基础笔记
基础模板语法 //1. 普通文本插值: <p>{{ rawHtml }}</p>//2. v-html 指令:插入 HTML 内容,并希望 Vue 将其视为 HTML 而不是纯文本 <p v-html"rawHtml"></p> let rawHtml <span>这是一个 <b>HTML</…...
如何彻底解决macOS多设备滚动冲突:Scroll Reverser完全指南
如何彻底解决macOS多设备滚动冲突:Scroll Reverser完全指南 【免费下载链接】Scroll-Reverser Per-device scrolling prefs on macOS. 项目地址: https://gitcode.com/gh_mirrors/sc/Scroll-Reverser 你是不是经常在MacBook触控板和鼠标之间切换时࿰…...
告别卡顿!用NoMachine在Win10上丝滑远程Ubuntu Gnome桌面的保姆级教程
告别卡顿!用NoMachine在Win10上丝滑远程Ubuntu Gnome桌面的保姆级教程 远程办公和跨平台协作已成为现代开发者的日常刚需。当你在咖啡馆用Windows笔记本调试云端Ubuntu服务器上的图形界面应用时,是否经历过VNC的模糊卡顿或RDP的兼容性问题?本…...
从零构建AI智能体:核心架构、ReAct模式与实战指南
1. 项目概述:从零构建AI智能体的核心价值最近在GitHub上看到一个挺有意思的项目,叫pguso/ai-agents-from-scratch。光看名字,很多朋友可能就心动了——“从零开始构建AI智能体”,听起来就像是把那些神秘的大模型应用开发黑盒给彻底…...
终极英雄联盟工具箱:如何用League Akari提升你的游戏效率与段位
终极英雄联盟工具箱:如何用League Akari提升你的游戏效率与段位 【免费下载链接】League-Toolkit An all-in-one toolkit for LeagueClient. Gathering power 🚀. 项目地址: https://gitcode.com/gh_mirrors/le/League-Toolkit League Akari是一款…...
告别原生标题栏!用Qt 6.x打造一个可拖拽、可美化的自定义标题栏(附完整源码)
Qt 6.x自定义标题栏实战:从零构建高颜值可拖拽界面组件 当你在开发一款专业级桌面应用时,系统默认的标题栏往往会成为整体UI设计的短板。不同操作系统下的标题栏风格各异,无法与应用主体保持视觉统一,更难以实现个性化的交互效果。…...
大语言模型驱动SVG代码生成:原理、实践与应用前景
1. 项目概述:当大语言模型遇上SVG图形生成最近在开源社区里,一个名为“ximinng/LLM4SVG”的项目引起了我的注意。这个项目名字直译过来就是“用于SVG的大语言模型”,它瞄准了一个非常具体且有趣的交叉领域:利用大语言模型来生成或…...
小学期学习报告-1
通过B站视频学习之后,我掌握冰设计出了555方波发生电路和低通滤波器,通过示波器可以看到,已经除了稳定的方波和正弦波 在这个过程中,根据公式T0.7*( R12R2)*C1,多次调整并得出稳定波形ÿ…...
Web架构师工具箱:从工程化实践到现代化Web开发全流程
1. 项目概述:一个Web架构师的工具箱最近在GitHub上看到一个挺有意思的项目,叫choppawave-beep/web-architect。光看这个名字,你可能会有点摸不着头脑,choppawave-beep像是个用户名,而web-architect则直白地指向“Web架…...
ThinkPad风扇控制终极指南:TPFanCtrl2让你的笔记本既静音又凉爽
ThinkPad风扇控制终极指南:TPFanCtrl2让你的笔记本既静音又凉爽 【免费下载链接】TPFanCtrl2 ThinkPad Fan Control 2 (Dual Fan) for Windows 10 and 11 项目地址: https://gitcode.com/gh_mirrors/tp/TPFanCtrl2 你是否曾因ThinkPad风扇的突然轰鸣而分心&a…...
Linux只读挂载保护排查方法
Linux只读挂载保护排查方法本文面向具备一定 Linux 基础的技术人员,围绕只读挂载保护展开,重点讨论写入隔离、配置保护和异常诊断。在中级运维和系统管理工作中,这类主题常常与配置变更、资源状态、权限边界、自动化任务和业务影响交织在一起…...
