数字信号处理-数学基础
来源哪都有,个人复习使用
一 积分
常用积分公式:

基本积分方法
凑微分法(也称第一换元法):

换元:
分部积分:

卷积

这里有动图解释:
https://mathworld.wolfram.com/Convolution.html
欧拉公式
e i x = cos x + i sin x {\displaystyle e^{ix}=\cos x+i\sin x} eix=cosx+isinx
因此可以推导出:
sin x = e i x − e − i x 2 i {\displaystyle \sin x={\frac {e^{ix}-e^{-ix}}{2i}}} sinx=2ieix−e−ix
及
cos x = e i x + e − i x 2 {\displaystyle \cos x={\frac {e^{ix}+e^{-ix}}{2}}} cosx=2eix+e−ix
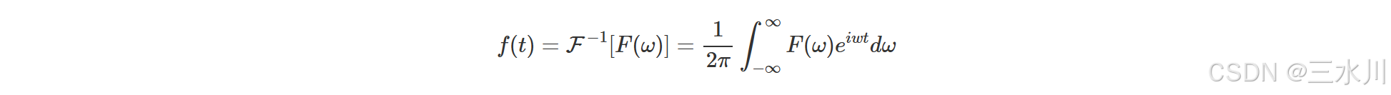
傅里叶变换
来自:https://www.cnblogs.com/TaigaCon/p/5152084.html
和
https://cloud.tencent.com/developer/article/2066940

一维变换:
F f ( s ) = ∫ − ∞ ∞ e − 2 π i s t f ( t ) d t \displaystyle{ \mathcal{F}f(s) = \int_{-\infty}^{\infty}e^{-2\pi ist}f(t)dt } Ff(s)=∫−∞∞e−2πistf(t)dt
二维傅里叶变换里面,变量 s , t s,t s,t都变成了如下二维变量
空间变量(spatial variable)
x ‾ = ( x 1 , x 2 ) \underline{x} = (x_1,x_2) x=(x1,x2)
频率变量
ξ ‾ = ( ξ 1 , ξ 2 ) \underline{\xi} = (\xi_1,\xi_2) ξ=(ξ1,ξ2)
逆变换

离散情况
DFT:

IDFT:

N称为DFT变换区间长度
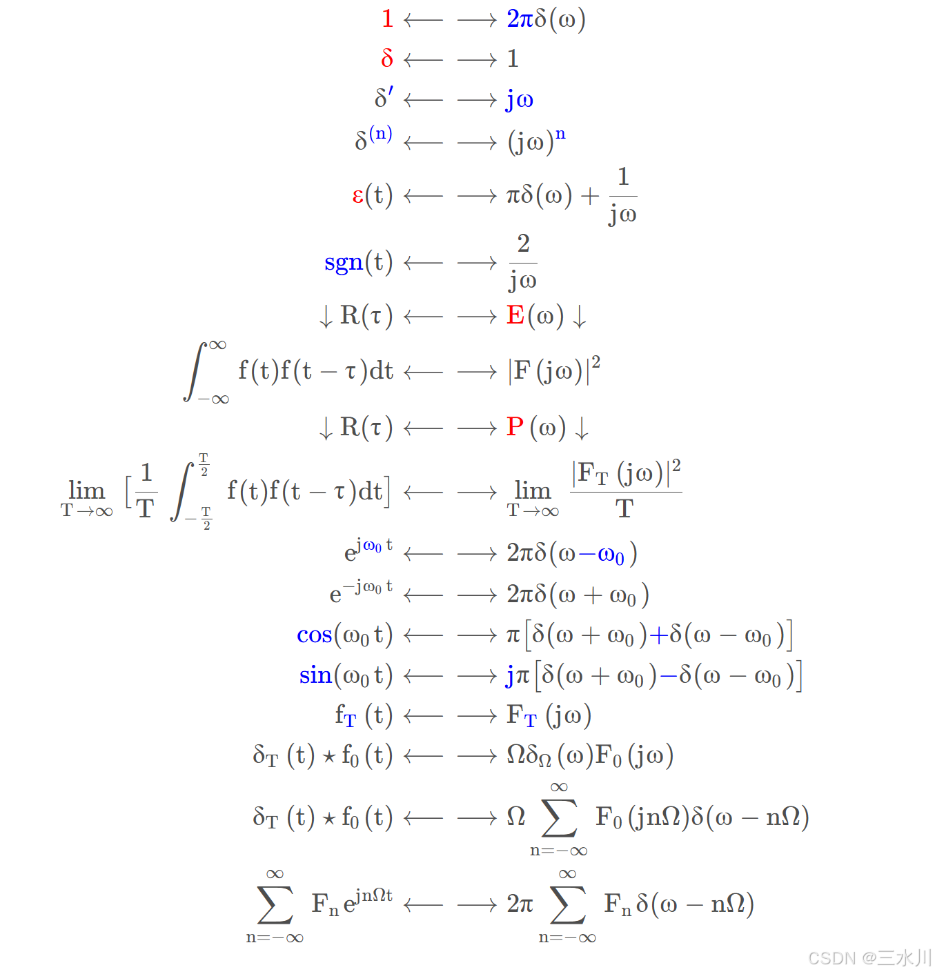
常用变换
来自:https://blog.csdn.net/Varalpha/article/details/104964650


常用z变换
性质

常用z变换

系统稳定性:
𝐻(𝑧)判断系统的稳定性2种方法:
- 𝐻(𝑧)的收敛域包含单位圆则系统稳定
- 因果系统的极点全在单位圆内则该系统稳定
参考:https://www.lamda.nju.edu.cn/wangw/dsp2022/slides/10.pdf
相关文章:
数字信号处理-数学基础
来源哪都有,个人复习使用 一 积分 常用积分公式: 基本积分方法 凑微分法(也称第一换元法): 换元: 分部积分: 卷积 这里有动图解释: https://mathworld.wolfram.com/Convolution.html 欧拉公式 e i x…...
【Exp】# Microsoft Visual C++ Redistributable 各版本下载地址
Microsoft官方页面 https://support.microsoft.com/en-us/help/2977003/the-latest-supported-visual-c-downloads Redistributable 2019 X86: https://aka.ms/vs/16/release/VC_redist.x86.exe X64: https://aka.ms/vs/16/release/VC_redist.x64.exe Redistributable 201…...
Hive 分桶表的创建与填充操作详解
Hive 分桶表的创建与填充操作详解 在 Hive 数据处理中,分桶表是一个极具实用价值的功能,它相较于非分桶表能够实现更高效的采样,并且后续还可能支持诸如 Map 端连接等节省时间的操作。不过,值得注意的是,在向表写入数…...
[小白系列]Ubuntu安装教程-安装prometheus和Grafana
Docker安装prometheus 拉取镜像 docker pull prom/prometheus 配置文件prometheus.yml 在/data/prometheus/建立prometheus.yml配置文件。(/data/prometheus/可根据自己需要调整) global:scrape_interval: 15s # By default, scrape targets ev…...
Flask使用长连接
Flask使用flask_socketio实现websocket Python中的单例模式 在HTTP通信中,连接复用(Connection Reuse)是一个重要的概念,它允许客户端和服务器在同一个TCP连接上发送和接收多个HTTP请求/响应,而不是为每个新的请求/响…...
数据分析思维案例:游戏评分低,怎么办?
【面试题】 某款手游在应用市场评分相比同类型游戏处于劣势。 请分析可能的原因并给出相关建议。 【分析思路】 一、明确问题 1. 明确业务指标 定义:应用市场评分一般指某一应用在某个应用市场上线以来的总体平均评分。 除“总体平均评分”以外,部分应用…...
【学习总结|DAY012】Javabean书写练习
一、主要代码 public class Phone {public Phone() {}public Phone(String brand, int price, String color) {this.brand brand;this.price price;this.color color;}String brand;int price;String color;public String getBrand() {return brand;}public void setBrand(…...
Mac环境下brew安装LNMP
安装不同版本PHP 在Mac环境下同时运行多个版本的PHP,同Linux环境一样,都是将后台运行的php-fpm设置为不同的端口号,下面将已php7.2 和 php7.4为例 添加 tap 目的:homebrew仅保留最近的php版本,可能没有你需要的版本…...
openEuler 知:安装系统
文章目录 前言图形化安装文本方式安装 前言 本文只介绍安装过程中需要特别注意的地方,常规的内容需要参考其它文档。 图形化安装 自定义分区: 说明:anaconda 默认分区,在 OSNAME.conf 中进行了配置,openEuler 默认根…...
Zephyr 入门-设备树与设备驱动模型
学习链接:https://www.bilibili.com/video/BV1L94y1F7qS/?spm_id_from333.337.search-card.all.click&vd_source031c58084cf824f3b16987292f60ed3c 讲解清晰,逻辑清楚。 1. 设备树概述(语法,如何配置硬件,c代码如…...
点云标注软件SUSTechPOINTS的安装和使用,自测win10和ubuntu20.04下都可以用
点云标注软件SUSTechPOINTS的安装和使用 github项目源码:https://github.com/naurril/SUSTechPOINTS gitee源码以及使用教程:https://gitee.com/cuge1995/SUSTechPOINTS 首先拉取源码 git clone https://github.com/naurril/SUSTechPOINTS最好是在cond…...
etcd资源超额
集群内apiserver一直重启,重启kubelet服务后查看日志发现一下报错: Error from server: etcdserver: mvcc: database space exceeded 报错原因: etcd服务未设置自动压缩参数(auto-compact) etcd 默认不会自动 compa…...
AndroidStudio-常见界面控件
一、Button package com.example.review01import androidx.appcompat.app.AppCompatActivity import android.os.Bundle import android.widget.Button import android.widget.TextViewclass Review01Activity : AppCompatActivity() {override fun onCreate(savedInstanceStat…...
网络协议(TCP/IP模型)
目录 网络初识 网络协议 协议分层 协议拆分 分层 协议分层的优势 1.封装效果 2.解耦合 TCP/IP五层模型 协议之间配合工作(详解) 网络初识 网络核心概念: 局域网:若干电脑连接在一起,通过路由器进行组网。 …...
python 清华pip镜像源报HTTP error 403
报错信息 ERROR: HTTP error 403 while getting https://mirrors.tuna.tsinghua.edu.cn/pypi/web/packages/52/79/a64937a2185b91a96cc5406e3ea58120980c725543d047e112fb3084a972/fake_useragent-2.0.0-py3-none-any.whl (from https://mirrors.tuna.tsinghua.edu.cn/pypi/we…...
swift 屏幕录制
步骤 1:导入 ReplayKit import ReplayKit步骤 2:开始录屏 let screenRecorder RPScreenRecorder.shared() // 麦克风或系统音频 screenRecorder.isMicrophoneEnabled truefunc startRecording() {guard screenRecorder.isAvailable else {print(&quo…...
通过精密时间协议(PTP)对计算机网络中的多个设备进行时间同步
PTP 模块 - 使用教程 目录 PTP 模块 - 使用教程简介第 1 步:为主时钟创建一个 PTP 时钟实例第 2 步:添加 PTP 端口第 3 步:查询 PTP 时钟或 PTP 端口的状态第 4 步:清除 FAULTY 状态第 5 步:为 PTP 事件安装处理程序第…...
Docker 安装系列
Centos8 安装Docker Docker安装mysql8.0 Docker安装稳定版本nginx-1.26.2 Docker 安装最新版本 Jenkins Docker Redis Docker 安装 eclipse-mosquitto Docker mongo:5.0 Docker 安装 Redis的完全体版本RedisMod docker pull elasticsearch:8.0.0 docker 安装nacos v2.…...
使用springboot-3.4.1搭建一个netty服务并且WebSocket消息通知(适用于设备直连操作,以及回复操作)
引入最新版本 <!--websocket--> <dependency><groupId>org.springframework.boot</groupId><artifactId>spring-boot-starter-websocket</artifactId> </dependency>启动类加入 //netty 协议服务端口启动 NettyTcpHandler.start()…...
4. 设计模式分类
4.1 创建型模式 这类模式提供创建对象的机制,能够提升已有代码的灵活性和可复用性。 序 号 类 型 业务场景 实现要点 1 工 厂 方 法 多种类型商品不同接口,统一发奖服 务搭建场景 定义一个创建对象的接口,让其子类自 己决定实例化哪一个工厂类,工厂模式 使其创建过程延迟…...
JienDa聊PHP:ThinkPHP 8.0 企业级API开发与性能调优实战
1. ThinkPHP 8.0企业级API开发基础 ThinkPHP 8.0作为现代化PHP框架的代表,在企业级API开发领域展现出强大的优势。我最近刚用TP8完成了一个日活50万的电商平台API重构,实测下来性能提升非常明显。相比传统开发方式,TP8的API开发流程更加规范…...
番茄小说离线阅读解决方案:打造你的个人数字图书馆
番茄小说离线阅读解决方案:打造你的个人数字图书馆 【免费下载链接】fanqienovel-downloader 下载番茄小说 项目地址: https://gitcode.com/gh_mirrors/fa/fanqienovel-downloader 在数字阅读时代,你是否曾遇到过这样的困扰:网络信号不…...
ollama部署本地大模型|embeddinggemma-300m嵌入质量评估方法论
ollama部署本地大模型|embeddinggemma-300m嵌入质量评估方法论 1. 引言:为什么需要本地嵌入模型? 想象一下,你正在开发一个智能搜索系统,需要快速理解用户查询的语义含义,并在海量文档中找到最相关的内容…...
医疗AI智能体:从数据到关怀人文设计:告别冰冷精准,构建有温度的诊疗交互.131
一、智能体的人文设计医疗AI智能体以大模型为核心,串联医学知识图谱、实体识别模块、风险评估模块、话术生成模块、伦理审核模块五大核心组件,最终实现精准医学判断 人性化交互的双重目标。而在医疗场景中,用户的核心需求从来不是单纯的数据…...
Java开发必看:解决国密SM2算法报错‘Unknown named curve‘的完整指南(附Bouncy Castle配置)
Java开发实战:国密SM2算法Unknown named curve报错深度解析与Bouncy Castle最佳配置指南 金融级Java应用开发中,国密算法SM2的集成就像在钢筋森林里铺设光纤——看似简单却暗藏技术陷阱。当控制台突然抛出Unknown named curve: 1.2.156.10197.1.301这个看…...
避坑指南:新到手的NUC 13装Ubuntu,WiFi驱动对了但图标不显示?可能是AX211网卡在Linux下的‘通病’
NUC 13安装Ubuntu后WiFi图标消失的深度排查与解决方案 刚拿到手的Intel NUC 13装上Ubuntu系统,WiFi驱动看似正常却不见图标?这可能是AX211网卡在Linux下的"通病"。作为一名长期与硬件兼容性问题打交道的技术顾问,我遇到过太多类似…...
如何通过Nucleus Co-Op实现创新无缝的本地多人游戏体验
如何通过Nucleus Co-Op实现创新无缝的本地多人游戏体验 【免费下载链接】nucleuscoop Starts multiple instances of a game for split-screen multiplayer gaming! 项目地址: https://gitcode.com/gh_mirrors/nu/nucleuscoop 你是否曾经希望在同一台电脑上与朋友共同体…...
如何在ComfyUI中智能合成视频序列:VHS_VideoCombine节点的专业应用方案
如何在ComfyUI中智能合成视频序列:VHS_VideoCombine节点的专业应用方案 【免费下载链接】ComfyUI-VideoHelperSuite Nodes related to video workflows 项目地址: https://gitcode.com/gh_mirrors/co/ComfyUI-VideoHelperSuite 面对AI生成的大量图像序列&…...
低成本GPU算力优化:cv_unet_image-colorization显存占用实测与调优
低成本GPU算力优化:cv_unet_image-colorization显存占用实测与调优 1. 项目背景与价值 在数字影像修复领域,AI图像上色技术正成为越来越受欢迎的工具。基于UNet架构的cv_unet_image-colorization模型,通过深度学习算法能够智能识别黑白图像…...
基于 LlamaFactory 与 LoRA 微调开源大模型:构建高效文本分类系统的实践指南
1. 为什么选择LlamaFactoryLoRA做文本分类? 最近在做一个政务工单分类项目时,我发现传统BERT模型遇到三个头疼问题:标注成本高(需要上万条数据)、领域迁移难(换个场景就失效)、小样本表现差&…...
