蓝桥杯刷题冲刺 | 倒计时25天
作者:指针不指南吗
专栏:蓝桥杯倒计时冲刺🐾马上就要蓝桥杯了,最后的这几天尤为重要,不可懈怠哦🐾
文章目录
- 1.完全二叉树
1.完全二叉树
-
题目
链接: 完全二叉树的权值 - 蓝桥云课 (lanqiao.cn)
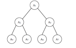
给定一棵包含 N 个节点的完全二叉树,树上每个节点都有一个权值,按从 上到下、从左到右的顺序依次是 A1,A2,⋅⋅⋅A N,如下图所示:

现在小明要把相同深度的节点的权值加在一起,他想知道哪个深度的节点 权值之和最大?如果有多个深度的权值和同为最大,请你输出其中最小的深度。
注:根的深度是 1。
输入描述
第一行包含一个整数 N*(1≤N≤105)。
第二行包含 N 个整数A1,A2,⋅⋅⋅A**N*(−10510^5105 ≤A i≤10510^5105 )。
输出描述
输出一个整数代表答案。
输入
7 1 6 5 4 3 2 1输出
2 -
题解
#include<bits/stdc++.h> using namespace std;const int N=1e5+10; int a[N]; //数组的大小 开的大一点 int main() {int n;scanf("%d",&n);for(int i=1;i<=n;i++)scanf("%d",&a[i]);int depth=0;long long sum=-1e18; //让 sum 尽可能的小,因为输入的数中含有负数 //我们可以举几个例子,推出规律 //每一层的一个数编号为 2^(i-1) ,每一层的的个数为 2^(depth-1) for(int i=1,d=1;i<=n;i*=2,d++) // i 表示,每一层的第一个编号{ long long s=0; //每一层的 权值 for(int j=i;j<i+(1<<d-1)&&j<=n;j++) //j 表示每一层的编号,保证 j 不越每一层的界和整个节点个数的界 s+=a[j];if(sum<s) //比较每一层 权值 {sum=s;depth=d; } } cout<<depth;return 0; } -
反思
读题,理解他深层次的要求,明确要求什么
属于一个规律题,编号可以 推出来
逻辑一定要 正确,思路清晰一点,数据范围的处理

相关文章:
蓝桥杯刷题冲刺 | 倒计时25天
作者:指针不指南吗 专栏:蓝桥杯倒计时冲刺 🐾马上就要蓝桥杯了,最后的这几天尤为重要,不可懈怠哦🐾 文章目录1.完全二叉树1.完全二叉树 题目 链接: 完全二叉树的权值 - 蓝桥云课 (lanqiao.cn) 给…...
c语言—动态内存管理
一.为什么存在动态内存开辟开辟空间的特点:空间开辟大小是固定的数组在申明时,必须指定数组长度,她所需要的内存在编译时分配但是对于空间的需求,不仅仅是上述的情况。有时候我们需要的空间大小在程序运行的时候才能知道ÿ…...
请说明Ajax、Fetch、Axios三者的区别
相同点: 1、三者都用于网络请求,但是不同维度 2、 Ajax(Asynchronous Javascript and XML),一种技术的统称,并不是实际的API 3、Fetch是一个具体的API,浏览器里面直接有一个API就叫Fetch 4、 Axios是一个第三方库&…...
阿里p8测试总监,让我们用这份《测试用例规范》,再也没加班过
经常看到无论是刚入职场的新人,还是工作了一段时间的老人,都会对编写测试用例感到困扰?例如: 固然,编写一份好的测试用例需要:充分的需求分析能力 理论及经验加持,作为测试职场摸爬打滚的老人&…...
【Unity】数据持久化路径Application.persistentDataPath
今天突然想到这个路径Application.persistentDataPath,热更的重要路径,该文件夹可读可写,在移动端唯一一个可读写操作的文件夹。移动端可以将本地的资源(资源MD5值配置表)等一些文件放到StreamingAssets文件夹下&#…...
华为OD机试 - 插队(Java JS Python)
题目描述 某银行将客户分为了若干个优先级, 1 级最高, 5 级最低,当你需要在银行办理业务时,优先级高的人随时可以插队到优先级低的人的前面。 现在给出一个人员到来和银行办理业务的时间序列,请你在每次银行办理业务时输出客户的编号。 如果同时有多位优先级相同且最高…...
MongoDB数据库从入门到精通系列之八:调整oplog大小
MongoDB数据库从入门到精通系列之八:调整oplog大小 一、oplog的概念二、oplog大小三、调整oplog大小详细步骤一、oplog的概念 操作日志oplog包含了主节点执行的每一次写操作。oplog是存在于主节点local数据库中的一个固定集合。从节点通过查询此集合以获取需要复制的操作。每个…...
PCL 间接平差法拟合二维直线
目录 一、算法原理二、代码实现三、结果展示四、相关链接一、算法原理 通过传统最小二乘法对点云数据进行二维直线拟合时,可将误差只归因于一个方向上,本文假设误差只存在于 y y y轴方向上,设点云拟合的二维直线方程为: y =...
进程调度的基本过程
这里写目录标题什么是进程进程管理结构体或类的主要属性pid内存指针文件描述符表辅助进程调度的属性并发并行并发什么是进程 进程是操作系统对一个正在运行的程序的一种抽象,也就是说,一个运行起来的程序就是一个进程。 进程又是操作系统进行资源分配的…...
python自动化办公(二)
上接python自动化办公(一) 文章目录文件和目录操作使用shutil库文件查找globfnmatchhashlib文件和目录操作 使用shutil库 shutil库也是Python标准库,它可以处理文件、文件夹、压缩包,能实现文件复制、移动、压缩、解压缩等功能。…...
Qt Quick - GridLayout 网格布局
GridLayout 理论总结一、概述二、依赖属性三、例子1. 不含跨行的2. 带跨行列的3. 从右到左一、概述 GridLayout 是最常用的布局器,也叫网格布局器,如果网格布局被调整大小,布局中的所有 Item 将被重新排列。它类似于基于widget的QGridLayout…...
安卓手机也可以使用新必应NewBing
没有魔法安卓手机也可以使用新必应NewBing 目前知道的是安卓手机 安卓手机先安装一个猴狐浏览器 打开手机自带浏览器,搜索关键词:猴狐浏览器,找到官网 也可以直接复制这个网址 狐猴浏览器 lemurbrowser CoolAPK 我的手机是荣耀安卓手机…...
支付系统设计:消息重试组件封装
文章目录前言一、重试场景分析一、如何实现重试1. 扫表2. 基于中间件自身特性3. 基于框架4. 根据公司业务特性自己实现的重试二、重试组件封装1. 需求分析2. 模块设计2.1 持久化模块1. 表定义2. 持久化接口定义3. 持久化配置类2.2 重试模块1.启动2.重试3. 业务端使用1. 引入依赖…...
Visual Studio 2022 c#中很实用的VS默认快捷键和原生功能
常常使用VS感觉还是有必要掌握其默认的快捷键,我这个人比较懒,不喜欢动不动就去设置快捷键,系统有就用,记住了就可以到处用,问题是像我们这种有很多个工作场所的人不可能每台电脑都去配置一下快键键。实际上我使用3dma…...
Python的30个编程技巧
1. 原地交换两个数字 Python 提供了一个直观的在一行代码中赋值与交换(变量值)的方法,请参见下面的示例: x,y 10,20 print(x,y) x,y y,x print(x,y) #1 (10, 20) #2 (20, 10) 赋值的右侧形成了一个新的元组,左侧立即解…...
MySQL:JDBC
什么是JDBC? JDBC( Java DataBase Connectivity ) 称为 Java数据库连接 ,它是一种用于数据库访问的应用程序 API ,由一组用Java语言编写的类和接口组成,有了JDBC就可以 用统一的语法对多种关系数据库进行访问,而不用担…...
C++【list容器模拟实现函数解析】
list容器&&模拟实现函数解析 文章目录list容器&&模拟实现函数解析一、list容器使用介绍二、list容器模拟实现及函数解析2.1 list结构体创建2.2 迭代器封装2.21 构造函数:2.22 前置和后置及- -2.23 解引用2.24 判断相等2.25 箭头重载2.26 第二个和第…...
(Java)试题 算法提高 约数个数
一、题目 (1)资源限制 内存限制:512.0MB C/C时间限制:1.0s Java时间限制:3.0s Python时间限制:5.0s (2)输入 输入一个正整数N (3)输出 N有几个约数 &a…...
魔法反射--java反射初入门(基础篇)
👳我亲爱的各位大佬们好😘😘😘 ♨️本篇文章记录的为 java反射初入门 相关内容,适合在学Java的小白,帮助新手快速上手,也适合复习中,面试中的大佬🙉🙉🙉。 ♨️如果文章有…...
概率统计_协方差的传播 Covariance Propagation
1. 方差的传播 误差的传播是指分析在形如的关系中,参量误差(x)对变量误差(y)的影响有多大。误差的传播与函数的微分紧密相关,本质是在利用当Δ x 不大时,。 方差计算公式: X为变量,为总体均值,N为总体例数。求变量X与均值的差的平方再求平均值,即得到方差。方差…...
RT-Thread实战:小熊派上BH1750光照数据采集与MQTT上云完整流程(附源码)
小熊派BH1750光照监测系统开发全指南:从传感器到云端的数据链路构建 在物联网技术快速渗透各行各业的今天,环境监测设备的智能化改造已成为工业自动化、智慧农业和智能家居等领域的基础需求。本文将手把手带您完成一个典型的环境光照监测节点开发全流程…...
智慧工厂与养殖场的一体化光伏监控系统方案
某企业从事乳制品的生产、销售等全流程业务,新增一套分布式光伏发电系统以平衡能耗支出,主要覆盖乳制品生产加工厂、奶牛养殖场及生态观光牧场等场景,实现“自给自足、余电上网”等综合能源目标。现需要对光伏电站进行联网集中监控࿰…...
CANN/GE动态输入算子样例
样例使用指导 【免费下载链接】ge GE(Graph Engine)是面向昇腾的图编译器和执行器,提供了计算图优化、多流并行、内存复用和模型下沉等技术手段,加速模型执行效率,减少模型内存占用。 GE 提供对 PyTorch、TensorFlow 前…...
CherryPy与数据库集成:SQLAlchemy和ORM模式详解
CherryPy与数据库集成:SQLAlchemy和ORM模式详解 【免费下载链接】cherrypy CherryPy is a pythonic, object-oriented HTTP framework. https://cherrypy.dev 项目地址: https://gitcode.com/gh_mirrors/ch/cherrypy CherryPy是一个Python风格的面向对象HTTP…...
5分钟掌握ViGEmBus:Windows游戏控制器模拟终极指南
5分钟掌握ViGEmBus:Windows游戏控制器模拟终极指南 【免费下载链接】ViGEmBus Windows kernel-mode driver emulating well-known USB game controllers. 项目地址: https://gitcode.com/gh_mirrors/vi/ViGEmBus ViGEmBus是一款强大的Windows内核级驱动程序&…...
ClawX:桌面化AI Agent编排平台,降低OpenClaw使用门槛
1. 项目概述:ClawX,为OpenClaw AI Agent打造的桌面门户如果你和我一样,对AI Agent(智能体)的潜力感到兴奋,但又对在终端里敲命令、编辑YAML配置文件、管理进程这些繁琐操作感到头疼,那么ClawX的…...
Windows Defender 彻底移除工具:专业级系统安全组件管理解决方案
Windows Defender 彻底移除工具:专业级系统安全组件管理解决方案 【免费下载链接】windows-defender-remover A tool which is uses to remove Windows Defender in Windows 8.x, Windows 10 (every version) and Windows 11. 项目地址: https://gitcode.com/gh_m…...
41.ShadCN 是什么?它如何和 Tailwind CSS 集成,从而更容易构建可访问且可自定义的 React 组件?
shadcn/ui 不是传统意义上“装一个 npm 包就能用的组件库”。它更像一个组件代码生成/分发方案:你通过 shadcn CLI 把组件的 TypeScript 源码直接拷贝进你的项目目录,组件样式用 Tailwind CSS 写好,组件交互与无障碍能力通常基于 Radix UI pr…...
全球供应链重塑下的半导体与PC板行业:工程师的挑战与韧性构建
1. 从“分裂的联盟”到工程师的十字路口 最近翻看行业旧闻,读到一篇2019年EE Times上Rick Merritt的评论文章,标题叫“State of the Disunion”。文章本身探讨的是当时科技行业在政治与全球化张力下的处境,但最让我印象深刻的,是评…...
Wanwu框架:中文AI应用开发从入门到实践
1. 项目概述:一个面向中文场景的AI应用开发框架 最近在折腾AI应用开发的朋友,可能都绕不开一个痛点:如何快速、低成本地构建一个能理解中文、处理中文任务,并且部署起来不麻烦的智能应用?无论是想做个智能客服…...
